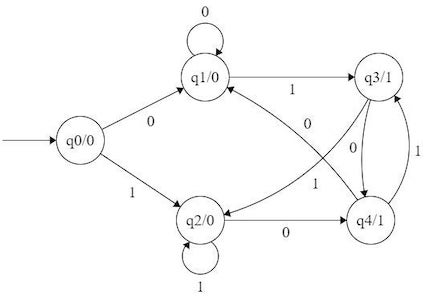
La siguiente máquina de estados es de MOORE
Verdadero
Falso, es de Mealy
Falso, no es correcta
¿Cuál es la ecuación de la salida (S)?
S = q3 · q4
S = q3 + q4
S = NOT(q3·q4)
S = NOT(q3+q4)
¿La siguiente tabla de transición de estados es simplificable?
NO
Sí, Qn y Q101
Sí, Qn y Q1
Sí, Qn, Q1 y Q10
¿Qué tipo de máquina se considera la mejor solución para Control Secuencial?
Moore
Mealy
Ninguna de las dos
Es indiferente
Ver Resultados