Chapter 4 Mediation Analysis

4.1 Data

rm(list = ls())
library(tidyverse)
library(kableExtra)
library(jtools)
library(sf)
library(broom)
library(pubh)
library(huxtable)
library(janitor)
source("./causinf_fun.R")

#OPTIONS
options('huxtable.knit_print_df_theme' = theme_article)
options('huxtable.autoformat_number_format' = list(numeric = "%5.2f"))

load("./_data/rscd_jr.RData")

dat <- d2 %>%
  dplyr::select(id_house, comm, id_study:viaje_ult_mes,SEROPOSITIVE, main_act_ec:fumigacion, area) %>%
  st_set_geometry(NULL) %>%
  mutate(viaje_ult_mes = ifelse(viaje_ult_mes=="9999", NA, viaje_ult_mes),
         viaje_ult_mes = factor(ifelse(viaje_ult_mes=="2", "1_yes", "0_no")),
         SEROPOSITIVE = ifelse(SEROPOSITIVE=="Positive",1,0),
         sex_male = as.numeric(nm_sex)-1,
         work_out1 = factor(ifelse(as.numeric(main_act_ec)>0 & as.numeric(main_act_ec)<6, "outside", "inside"))) #%>% filter(complete.cases(.))

dat_gf_1 <- dat %>%
  #dplyr::select(viaje_ult_mes, work_out, edad, SEROPOSITIVE, nm_sex, comm, area) %>%
  mutate(id = seq(1:n()),
         time = 0,
         viaje_ult_mes = as.integer(as.numeric(viaje_ult_mes)-1),
         work_out = as.numeric(work_out1)-1, 
         SEROPOSITIVE = as.integer(SEROPOSITIVE),
         edad = as.numeric(edad)#,
         #edad = edad*edad
         ) %>%
  #filter(complete.cases(.)) %>%
  as.data.frame()

4.2 Weights

#C = edad
#X = sex_male
#M = work_out
#L = viaje_ult_mes
#Y = SEROPOSITIVE

#p1 <- glm(sex_male ~ ... , data = dat_gf, family = "binomial")
dat_gf_2 <- dat_gf_1 %>%
  mutate(wx = 1,
         tipo_casa = factor(tipo_casa)) #%>%
  # mutate(ps1 = predict(p1, type = "response"),
  #        wx = ifelse(sex_male==1, 1/ps1, 1/(1-ps1)))
p <- glm(work_out ~ 1, data = dat_gf_2, family = "binomial")

p2 <- glm(work_out ~ (sex_male + edad + fumigacion + animales_casa + tipo_casa)^2,
          data = dat_gf_2, family = "binomial")

dat_gf <- dat_gf_2 %>%
  mutate(p = predict(p, type="response"),
         ps2 = predict(p2, type = "response"),
         wm = ifelse(work_out==1, p/ps2, p/(1-ps2)),
         wp = wm*wx)

dat_gf %>%
  ggplot(aes(x=ps2, fill= factor(work_out))) +
  geom_density(alpha=.5) + 
  #scale_x_continuous(trans = "log10") +
  theme_nice() +
  theme(legend.position = "top")

dat_gf %>% estat(~ ps2|work_out1)
Table 4.1:
work_out1NMin.Max.MeanMedianSDCV
ps2inside1309.00 0.01 0.98 0.19 0.12 0.19 1.04
outside481.00 0.04 0.97 0.50 0.49 0.25 0.50
# LOVE PLOT
library(cobalt)
library(WeightIt)

w.out1 <- weightit(work_out ~ (sex_male + edad + fumigacion + animales_casa + tipo_casa)^2,
                   data = dat_gf_2, estimand = "ATE", method = "ps")

love.plot(w.out1)

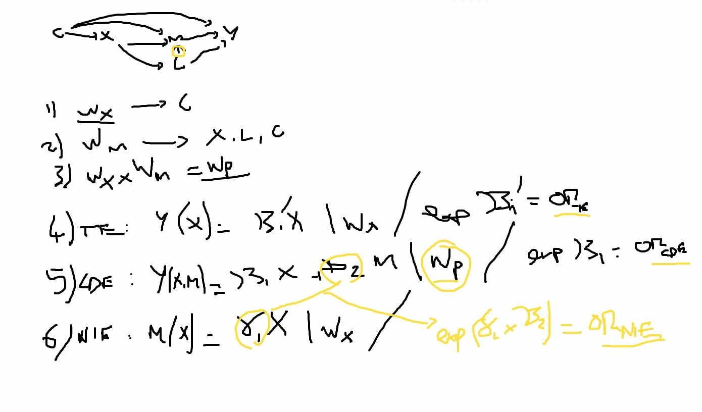
4.3 The product method

References:

4.3.1 Overall

# Total Effect
te <- glm(SEROPOSITIVE ~ sex_male + comm, data = dat_gf, weights = wp, family = "poisson")
(te.t <- summ(te, confint = T, model.fit = F, model.info = F, robust = "HC1"))
Est. 2.5% 97.5% z val. p
(Intercept) -1.02 -1.31 -0.73 -6.84 0.00
sex_male 0.13 0.04 0.23 2.75 0.01
comm502 0.58 0.28 0.87 3.82 0.00
comm503 -0.22 -0.62 0.17 -1.12 0.26
comm901 0.90 0.61 1.18 6.13 0.00
comm902 0.81 0.52 1.09 5.54 0.00
comm903 0.61 0.27 0.96 3.48 0.00
comm904 0.37 0.06 0.69 2.36 0.02
comm905 -0.23 -0.70 0.24 -0.95 0.34
comm906 0.43 0.10 0.75 2.56 0.01
comm907 0.65 0.35 0.95 4.29 0.00
Standard errors: Robust, type = HC1
(te.e <- te.t$coeftable[2,1])
## [1] 0.1323782
# Controlled Direct Effect
cde <- glm(SEROPOSITIVE ~ sex_male + work_out + comm, data = dat_gf, weights = wp, family = "poisson")
(cde.t <- summ(cde, confint = T, model.fit = F, model.info = F, robust = "HC1"))
Est. 2.5% 97.5% z val. p
(Intercept) -1.15 -1.43 -0.88 -8.21 0.00
sex_male 0.13 0.04 0.23 2.73 0.01
work_out 0.41 0.30 0.52 7.35 0.00
comm502 0.64 0.34 0.93 4.24 0.00
comm503 -0.12 -0.50 0.27 -0.59 0.55
comm901 0.75 0.45 1.06 4.83 0.00
comm902 0.66 0.36 0.96 4.30 0.00
comm903 0.51 0.15 0.88 2.75 0.01
comm904 0.26 -0.07 0.58 1.56 0.12
comm905 -0.32 -0.77 0.13 -1.40 0.16
comm906 0.26 -0.08 0.59 1.49 0.14
comm907 0.57 0.26 0.88 3.59 0.00
Standard errors: Robust, type = HC1
cde.e <- cde.t$coeftable[2,1]
b2 <- cde.t$coeftable[3,1]

# Natual Indirect Effect
nie <- glm(work_out ~ sex_male + comm, data = dat_gf, weights = wp, family = "poisson")
(nie.t <- summ(nie, confint = T, model.fit = F, model.info = F, robust = "HC1"))
Est. 2.5% 97.5% z val. p
(Intercept) -1.26 -1.78 -0.74 -4.78 0.00
sex_male -0.02 -0.16 0.13 -0.21 0.83
comm502 -0.63 -1.24 -0.01 -2.00 0.05
comm503 -1.65 -2.62 -0.69 -3.37 0.00
comm901 0.80 0.23 1.37 2.75 0.01
comm902 0.82 0.30 1.34 3.07 0.00
comm903 0.62 0.04 1.21 2.10 0.04
comm904 0.70 0.18 1.22 2.66 0.01
comm905 0.60 0.03 1.16 2.07 0.04
comm906 0.91 0.40 1.43 3.51 0.00
comm907 0.54 -0.01 1.10 1.91 0.06
Standard errors: Robust, type = HC1
a1 <- nie.t$coeftable[2,1]
nie.e <- a1*b2

# Summary
data.frame(TE_orig = te.e,
           TE_comp = cde.e + nie.e,
           prop_med = (exp(cde.e)*(exp(nie.e)-1))/((exp(cde.e)*exp(nie.e))-1))
Table 4.2:
TE_origTE_compprop_med
0.13 0.13-0.06

4.3.2 Rural

dat_gf_rural <- dat_gf %>%
  filter(area == "1_rural")

# Total Effect
te_r <- glm(SEROPOSITIVE ~ sex_male + comm, data = dat_gf_rural, weights = wp, family = "poisson")
(te_r.t <- summ(te_r, confint = T, model.fit = F, model.info = F, robust = "HC1"))
Est. 2.5% 97.5% z val. p
(Intercept) -0.09 -0.17 -0.02 -2.47 0.01
sex_male 0.07 -0.03 0.17 1.30 0.19
comm902 -0.09 -0.17 -0.00 -1.99 0.05
comm903 -0.28 -0.50 -0.06 -2.51 0.01
comm904 -0.52 -0.67 -0.37 -6.83 0.00
comm905 -1.12 -1.50 -0.74 -5.74 0.00
comm906 -0.47 -0.65 -0.29 -5.14 0.00
comm907 -0.24 -0.36 -0.12 -3.91 0.00
Standard errors: Robust, type = HC1
te_r.e <- te_r.t$coeftable[2,1]

# Controlled Direct Effect
cde_r <- glm(SEROPOSITIVE ~ sex_male + work_out + comm, data = dat_gf_rural, weights = wp, family = "poisson")
(cde_r.t <- summ(cde_r, confint = T, model.fit = F, model.info = F, robust = "HC1"))
Est. 2.5% 97.5% z val. p
(Intercept) -0.47 -0.61 -0.33 -6.69 0.00
sex_male 0.10 -0.00 0.20 1.88 0.06
work_out 0.53 0.40 0.65 8.45 0.00
comm902 -0.09 -0.20 0.02 -1.62 0.10
comm903 -0.23 -0.48 0.03 -1.76 0.08
comm904 -0.49 -0.66 -0.33 -5.90 0.00
comm905 -1.06 -1.42 -0.70 -5.84 0.00
comm906 -0.50 -0.69 -0.32 -5.46 0.00
comm907 -0.17 -0.32 -0.02 -2.23 0.03
Standard errors: Robust, type = HC1
cde_r.e <- cde_r.t$coeftable[2,1]
b2_r <- cde_r.t$coeftable[3,1]

# Natual Indirect Effect
nie_r <- glm(work_out ~ sex_male + comm, data = dat_gf_rural, weights = wp, family = "poisson")
(nie_r.t <- summ(nie_r, confint = T, model.fit = F, model.info = F, robust = "HC1"))
Est. 2.5% 97.5% z val. p
(Intercept) -0.43 -0.71 -0.15 -2.99 0.00
sex_male -0.11 -0.25 0.03 -1.53 0.13
comm902 0.02 -0.29 0.33 0.15 0.88
comm903 -0.16 -0.57 0.24 -0.78 0.43
comm904 -0.10 -0.40 0.20 -0.63 0.53
comm905 -0.19 -0.57 0.19 -0.97 0.33
comm906 0.12 -0.18 0.41 0.79 0.43
comm907 -0.25 -0.61 0.11 -1.35 0.18
Standard errors: Robust, type = HC1
a1_r <- nie_r.t$coeftable[2,1]
nie_r.e <- a1_r*b2_r

# Summary
data.frame(TE_orig = te_r.e,
           TE_comp = cde_r.e + nie_r.e,
           prop_med = (exp(cde_r.e)*(exp(nie_r.e)-1))/((exp(cde_r.e)*exp(nie_r.e))-1))
Table 4.3:
TE_origTE_compprop_med
0.07 0.04-1.48

4.3.3 Periurban

dat_gf_urban <- dat_gf %>%
  filter(area == "0_periurban")

# Total Effect
te_u <- glm(SEROPOSITIVE ~ sex_male + comm, data = dat_gf_urban, weights = wp, family = "poisson")
(te_u.t <- summ(te_u, confint = T, model.fit = F, model.info = F, robust = "HC1"))
Est. 2.5% 97.5% z val. p
(Intercept) -1.08 -1.42 -0.75 -6.41 0.00
sex_male 0.27 0.06 0.47 2.59 0.01
comm502 0.55 0.27 0.84 3.78 0.00
comm503 -0.24 -0.62 0.15 -1.18 0.24
Standard errors: Robust, type = HC1
te_u.e <- te_u.t$coeftable[2,1]

# Controlled Direct Effect
cde_u <- glm(SEROPOSITIVE ~ sex_male + work_out + comm, data = dat_gf_urban, weights = wp, family = "poisson")
(cde_u.t <- summ(cde_u, confint = T, model.fit = F, model.info = F, robust = "HC1"))
Est. 2.5% 97.5% z val. p
(Intercept) -1.10 -1.38 -0.83 -7.82 0.00
sex_male 0.26 0.04 0.48 2.31 0.02
work_out 0.08 -0.25 0.41 0.49 0.63
comm502 0.57 0.31 0.83 4.30 0.00
comm503 -0.21 -0.57 0.14 -1.19 0.24
Standard errors: Robust, type = HC1
cde_u.e <- cde_u.t$coeftable[2,1]
b2_u <- cde_u.t$coeftable[3,1]

# Natual Indirect Effect
nie_u <- glm(work_out ~ sex_male + comm, data = dat_gf_urban, weights = wp, family = "poisson")
(nie_u.t <- summ(nie_u, confint = T, model.fit = F, model.info = F, robust = "HC1"))
Est. 2.5% 97.5% z val. p
(Intercept) -1.53 -2.40 -0.67 -3.48 0.00
sex_male 0.51 -0.22 1.24 1.37 0.17
comm502 -0.71 -1.31 -0.11 -2.33 0.02
comm503 -1.70 -2.67 -0.72 -3.39 0.00
Standard errors: Robust, type = HC1
a1_u <- nie_u.t$coeftable[2,1]
nie_u.e <- a1_u*b2_u

# Sumary
data.frame(TE_orig = te_u.e,
           TE_comp = cde_u.e + nie_u.e,
           prop_med = (exp(cde_u.e)*(exp(nie_u.e)-1))/((exp(cde_u.e)*exp(nie_u.e))-1))
Table 4.4:
TE_origTE_compprop_med
0.27 0.30 0.16

4.4 Summary mediation

library(cowplot)

a <- plot_eff(te.t, te_r.t, te_u.t, coefs = c("sex_male"), legend.title = "Total Effect (sex_male)\n ", 
         model.names = c("Overall", "Rural", "Periurban"))

b <- plot_eff(cde.t, cde_r.t, cde_u.t, coefs = c("sex_male"), legend.title = "Controlled Direct Effect (sex_male)\n ", 
         model.names = c("Overall", "Rural", "Periurban"))

c <- plot_eff(cde.t, cde_r.t, cde_u.t, coefs = c("work_out"), legend.title = "Effect of Mediator (work_out) on Outcome\n ", 
         model.names = c("Overall", "Rural", "Periurban"))

d <- plot_eff(nie.t, nie_r.t, nie_u.t, coefs = c("sex_male"), legend.title = "Effect of Exposure (sex_male) on \nMediator (work_out)",
         model.names = c("Overall", "Rural", "Periurban"))
 
plot_grid(a,b,c,d, labels = c("A)", "B)", "C)", "D)", ncol = 2))