Comenzamos el análisis de los modelos de regresión con el Modelo de Regresión Lineal Simple (RLS), que podemos catalogar como el modelo lineal más sencillo, a través del cual pretendemos explicar (predecir) una variable respuesta continua \(Y\) a partir de una variable predictora también continua \(X\). Tal modelo vendrá justificado por unos buenos resultados previos en el análisis de correlación (lineal) entre las dos variables en cuestión.
En el experimento o estudio del que obtenemos los datos, los valores de \(Y\) se han observado y los de \(X\), bien se han observado, bien se han prefijado por parte del investigador. En cualquier caso, asumimos que la aleatoriedad (incertidumbre) está contenida sólo en la variable \(Y\), mientras que la \(X\) carece de aleatoriedad y simplemente informa de lo que ocurre en los valores observados. La variable explicativa puede ser, tanto una causa de la respuesta, como un mero testigo que informa sobre cómo varía la respuesta.
De ahora en adelante denotamos por \((x_1, x_2,...,x_n)\) e \((y_1, y_2,...,y_n)\) a los valores observados de las variables \(X\) e \(Y\) en un experimento dado.
Presentamos a continuación los bancos de datos con los que trabajamos a lo largo de esta unidad.
Datos de Corrosión. Treinta aleaciones del tipo 90/10 Cu-Ni, cada una con un contenido específico de hierro son estudiadas bajo un proceso de corrosión. Tras un período de 60 días se obtiene la pérdida de peso (en miligramos al cuadrado por decímetro y día) de cada una de las aleaciones debido al proceso de corrosión. El objetivo es estudiar el nivel de corrosión en función del contenido de hierro. A continuación se presenta el banco de datos y se realiza la primera inspección gráfica.
hierro <- c(0.01, 0.48, 0.71, 0.95, 1.19, 0.01, 0.48, 1.44, 0.71,
1.96, 0.01, 1.44, 1.96)
peso <- c(127.6, 124, 110.8, 103.9, 101.5, 130.1, 122, 92.3, 113.1,
83.7, 128, 91.4, 86.2)
corrosion <- data.frame(hierro,peso)
ggplot(corrosion, aes(x = hierro, y = peso)) +
geom_point() +
labs(x = "Contenido en hierro", y = "Pérdida de peso")
Gráfico de dispersión de pérdida de peso vs contenido en hierro.
En la figura anterior se observa cómo al ir aumentando el contenido en hierro de la aleación disminuye linealmente la pérdida de peso. El modelo estadístico que propongamos deberá ser capaz de explicar dicho comportamiento.
Datos de Papel Queremos estudiar la relación existente entre la concentración de madera contenida en la pulpa a partir de la que se elabora papel (madera), y la resistencia (tension, en términos de tensión que soporta) del papel resultante. El objetivo del análisis es describir la tendencia observada. A continuación se presenta el banco de datos y se realiza la primera inspección gráfica.
madera <- c(1,1.5,2,3,4,4.5,5,5.5,6,6.5,7,8,9,10,11,12,13,14,15)
tension <- c(6.3,11.1,20.0,24,26.1,30,33.8,34,38.1,39.9,42,46.1,
53.1,52,52.5,48,42.8,27.8,21.9)
papel <- data.frame(madera,tension)
ggplot(papel, aes(x = madera, y = tension)) +
geom_point() +
labs(x = "Concentración de madera", y = "Resistencia del papel")
Gráfico de dispersión de resistencia del papel vs concentración de madera.
En la figura anterior podemos ver cómo la resistencia del papel crece al aumentar la concentración de madera hasta llegar a valores de 9 y disminuye a partir de ese valor. En este caso la relación apreciada es de tipo parabólico (descrita por una parábola). Este hecho se debe tener en cuenta en la propuesta de un modelo preliminar.
Datos de Viscosidad. Se ha realizado un experimento para tratar de conocer la viscosidad de cierto compuesto en función de la cantidad de un tipo der aceite que se usa en su fabricación. Se asume una relación de tipo lineal entre la viscosidad y la cantidad de aceite utilizada.
aceite <- c(0,12,24,36,48,60,0,12,24,36,48,60,0,12,24,
36,48,60,12,24,36,48,60)
viscosidad <- c(26,38,50,76,108,157,17,26,37,53,83,124,
13,20,27,37,57,87,15,22,27,41,63)
aceites<-data.frame(aceite,viscosidad)
ggplot(aceites, aes(x = aceite, y = viscosidad)) +
geom_point() +
labs(x = "Cantidad de aceite", y = "Viscosidad")
Gráfico de dispersión de viscosidad vs cantidad de aceite.
El modelo de Regresión lineal Simple (RLS) de la variable respuesta (\(Y\)) sobre la variable predictora (\(X\)) se formula prediciendo la respuesta media para un valor observado de \(X = x\), con una recta de regresión:
\[\begin{equation} E(y\mid x=x) = \beta_{0} + \beta_{1}x. \end{equation}\]
Es de esperar cierta desviación ‘aleatoria’ entre la respuesta observada y la respuesta media. Dicha desviación es denominada error aleatorio y denotada habitualmente por \(\epsilon\). Así, el modelo completo de regresión simple se formula según:
\[\begin{equation} Y = \beta_{0} + \beta_{1}X + \epsilon. \end{equation}\]
Los coeficientes de la regresión, esto es, los parámetros que hemos de estimar para ajustar el modelo RLS son:
\(\beta_{0}\).- la interceptación de la recta, esto es, la altura de la recta cuando \(x = 0\).
\(\beta_{1}\).- la pendiente de la recta, que refleja cuánto varía la respuesta media \(E\)(y) cuando pasamos de observar x = \(x\) a x = \(x\) + 1.
Dada una muestra de valores observados \(\{{(x_{i},y_{i})}_{i=1}^{n}\}\), el modelo propuesto implica que todas las observaciones responden a la ecuación del modelo RLS enunciado, de forma que:
\[\begin{equation} y_{i} = \beta_{0} + \beta_{1}x_{i}+\epsilon_{i}, \ \ \ \ i=1,\ldots,n, \end{equation}\]
donde \(\epsilon_{i}\) son errores aleatorios, que además se consideran incorrelados, con media cero y varianza constante \(\sigma^{2}\). Estas características constituyen las hipótesis básicas del modelo RLS, que formulamos con más detalle a continuación sobre los errores aleatorios \(\epsilon_{i}\):
Estimar la recta de regresión consiste en estimar los coeficientes de la regresión \(\beta_{0}\) y \(\beta_{1}\) para obtener la recta:
\[\begin{equation} \hat{Y} = \hat{\beta_{0}} + \hat{\beta_{1}}X, \end{equation}\]
donde \(\hat{Y}\) denota el valor de Y predicho por la recta para el valor observado de \(X = x\).
Disponemos de dos criterios básicos de estimación, que proporcionan la misma solución. Utilizar uno u otro depende de nuestros intereses estadísticos. Si tan sólo queremos determinar la recta, basta con considerar el criterio de Mínimos Cuadrados. Si además pretendemos utilizarla con fines inferenciales o predictivos, hablaremos de que nuestra solución es la máximo-verosímil, pero a su vez habremos de ser más exigentes con las hipótesis del modelo, como veremos a continuación.
El criterio de mínimos cuadrados o minimización del error cuadrático medio, consiste en minimizar las distancias entre los puntos observados y los predichos por la recta de ajuste. El error cuadrático medio de la recta se define como:
\[\begin{equation} S(\beta) = \sum_{i=1}^{n} (y_{i}-\hat{y_{i}}(\beta))^2 = \sum_{i=1}^{n} [y_{i}-(\beta_{0}+\beta_{1}x_{i})]^2 \end{equation}\]
La solución de mínimos cuadrados \(\hat{\beta} = (\hat{\beta_{0}},\hat{\beta_{1}})\) se obtiene minimizando \(S(\beta)\). El mínimo se consigue derivando \(S(\beta)\) respecto de \(\beta_{0}\) y \(\beta_{1}\) e igualando a cero:
\[ \frac{\partial S(\beta)}{\partial \beta_{0}} \mid_{\hat{\beta_{0}},\hat{\beta_{1}}} = -2 \sum_{i=1}^{n} (y_{i} - \hat{\beta_{0}}-\hat{\beta_{1}}x_{i}) = 0 \]
\[ \frac{\partial S(\beta)}{\partial \beta_{1}} \mid_{\hat{\beta_{0}},\hat{\beta_{1}}} = -2 \sum_{i=1}^{n} (y_{i} - \hat{\beta_{0}}-\hat{\beta_{1}}x_{i})x_{i} = 0. \]
De ahí se obtienen las ecuaciones normales:
\[ n\hat{\beta_{0}}+\hat{\beta_{1}}\sum_{i=1}^{n} x_{i}= \sum_{i=1}^{n} y_{i} \]
\[ \hat{\beta_{0}}\sum_{i=1}^{n} x_{i} + \hat{\beta_{1}} \sum_{i=1}^{n} x_{i}^{2} = \sum_{i=1}^{n} y_{i}x_{i} \]
de donde las estimaciones para \(\beta_{0}\) y \(\beta_{1}\) resultan:
\[ \hat{\beta_{0}}=\bar{y}-\hat{\beta_{1}}\bar{x} \]
\[ \hat{\beta_{1}}=\frac{S_{xy}}{S_{xx}}, \]
con:
\[ \bar{y} = \frac{\sum_{i=1}^{n} y_{i}}{n} \]
\[ \bar{x} = \frac{\sum_{i=1}^{n} x_{i}}{n} \]
\[ S_{xx} = \sum_{i=1}^{n} (x_{i}-\bar{x})^2 \]
\[ S_{xy} = \sum_{i=1}^{n} (x_{i}-\bar{x})(y_{i}-\bar{y}). \]
Para los datos de Corrosión se propone un modelo de regresión lineal simple para estudiar la relación entre la pérdida de peso debida a la corrosión y el contenido de hierro de la forma siguiente:
\[ \text{peso} = \beta_{0} + \beta_{1}*\text{hierro} + \epsilon \]
de forma que el modelo estimado a partir del criterio de mínimos cuadrados viene dado por: \[ \widehat{\text{peso}} = 129.79 - 24.02*\text{hierro} \]
esto es, un aumento de una unidad del contenido de hierro reporta una pérdida de peso de 24.02 unidades. Podemos representar la recta estimada haciendo uso de la función stat_smooth() dentro del comando ggplot(). El código se muestra a continuación:
ggplot(corrosion, aes(x = hierro, y = peso)) +
geom_point() +
stat_smooth(method = "lm", se = FALSE) +
labs(x = "Contenido en hierro", y = "Pérdidad de peso") +
theme_bw()
Ajuste de mínimos cuadrados para los datos de corrosión.
Habitualmente el objetivo de un análisis de regresión no consiste únicamente en estimar la recta, sino en inferir con ella, esto es, asociar un error a las estimaciones obtenidas, contrastar un determinado valor de los parámetros, y/o incluso predecir la respuesta, junto con una banda de confianza, para un \(X = x\) dado. En ese caso, precisamos de distribuciones de probabilidad para controlar la incertidumbre y el error. Añadimos pues, una hipótesis más sobre la distribución de la variable respuesta, o lo que es lo mismo, sobre el error aleatorio \(\epsilon\). Dicha hipótesis es la de normalidad de los errores.
Así, el total de hipótesis básicas del modelo de regresión con fines inferenciales, viene resumido en la siguiente expresión:
\[\begin{equation} \epsilon_{i} \overset{iid}{\sim} N(0,\sigma^{2}), \qquad i=1,\ldots,n. \end{equation}\]
esto es, hablamos de errores aleatorios independientes e idénticamente distribuidos (iid) según una distribución Normal con media cero y varianza \(\sigma^{2}\), lo que implica directamente que la distribución para la variable respuesta será:
\[\begin{equation} y_{i} \overset{iid}{\sim} N(\beta_{0} + \beta_{1}x_{i}, \sigma^{2}), \qquad i=1,\ldots,n. \end{equation}\]
Desde este momento, los datos proporcionan información sobre los parámetros del modelo, \(\beta = (\beta_{0},\beta_{1})\), a través de la verosimilitud conjunta:
\[\begin{equation} L(\beta;y)=exp\left\{-\frac{\sum_{i=1}^n (y_i-\beta_0-\beta_1 x_i)^2}{2 \sigma^2}\right\}. \end{equation}\]
Por tanto, obtener la solución más factible a la vista de los datos observados \(\{(x_i,y_i), i=1,\ldots, n\}\) equivale a obtener la solución máximo-verosímil, esto es, la que maximiza la verosimilitud. Maximizar la verosimilitud es equivalente a maximizar la log-verosimilitud \(l(\beta,y)\), que tiene una expresión más sencilla sin exponenciales. La solución máximo-verosímil se obtiene derivando e igualando a cero \(l(\beta,y)\), lo que da lugar, de nuevo, a las ecuaciones normales. Así pues, la solución máximo-verosímil coincide con la de mínimos cuadrados.
Para obtener el ajuste máximo verosímil utilizaremos la función lm() que permite el ajuste de cualquier modelo lineal. Su expresión más básica viene dada por:
\[lm(y \sim x, data = ´´data´´)\]
Para obtener las estimaciones del modelo podemos hacer uso de las funciones:
tidy(model) de la librería tidymodels que nos proporciona el modelo estimado, los errores en la estimación y la soluciones del contraste sobre cada parámetro del modelo que veremos en el apartado de inferencia sobre los coeficientes del modelo.glm_coef(model) de la librería pubh que nos proporciona las estimaciones del modelo, los intervalos de confianza al 95% de cada parámetro, y el p-valor asociado a los contrastes sobre cada uno de los parámetros del modelo.summary(model) que proporciona un resumen completo del modelo (inferencia sobre los parámetros del modelo y bondad de ajuste).Por el momento utilizamos las dos primeras para mostrar los resultados del ajuste. Además utilizaremos la función plot_model para representar gráficamente el modelo obtenido como alternativa a la función ggplot() que hemos utilizado anteriormente.
A continuación analizamos los ejemplos.
Para los datos de corrosión vamos a obtener la solución máximo verosímil:
## # A tibble: 2 x 5
## term estimate std.error statistic p.value
## <chr> <dbl> <dbl> <dbl> <dbl>
## 1 (Intercept) 130. 1.40 92.5 2.93e-17
## 2 hierro -24.0 1.28 -18.8 1.06e- 9
## Coefficient Pr(>|t|)
## (Intercept) 129.79 (127.47, 132.11) < 0.001
## hierro -24.02 (-26.03, -22.01) < 0.001
# Gráfico del ajuste
plot_model(fit,"pred", terms = "hierro",
ci.lvl = NA,
show.data = TRUE,
axis.title = c("Contenido en hierro","Peso"),
title = " ")
Ajuste máximo verosímil para los datos de corrosión.
Las propiedades más relevantes y básicas del ajuste de la recta de regresión son las siguientes:
\[ \hat{y}=\hat{\beta_0}+\hat{\beta_1} x. \]
\[ e_i=y_i-\hat{y} \rightsquigarrow \sum_i e_i=0. \]
\[ \frac{1}{n}\,\sum_i y_i=\frac{1}{n} \,\sum_i \hat{y}_i. \]
La recta de regresión pasa por el centroide de medias \((\bar{x},\bar{y})\).
La suma de los residuos ponderados por el valor correspondiente de la variable predictora \(x\) es cero,
\[ \sum_i x_i e_i=0. \]
\[ \sum_i \hat{y}_i e_i=0. \]
La varianza \(\sigma^2\) de los errores es una medida de la variabilidad (heterogeneidad) entre los individuos respecto a la media cuando el modelo RLS describe adecuadamente la tendencia entre las variables \(y\) y \(x\), o lo que es lo mismo, de la dispersión de las observaciones respecto de la recta de regresión. Así pues, da una medida de bondad de ajuste del modelo de regresión a los datos observados. Cuando el modelo de regresión ajustado es bueno para nuestros datos, es posible conseguir una estimación de la varianza \(\sigma^2\) a partir de la suma de cuadrados residual \(SSE\), también llamada suma de cuadrados debida al error:
\[ SSE=\sum_i (y_i-\hat{y}_i)^2=S_{yy}-\hat{\beta}_1 S_{xy}. \]
\(SSE\) da una medida de la desviación entre las observaciones \(y_i\) y las estimaciones que proporciona la recta de regresión, \(\hat{y}_i\). Puesto que en el modelo de regresión lineal simple se estiman \(2\) parámetros, los grados de libertad asociados a \(SSE\) son \(n-2\). Se define pues el cuadrado medio residual, \(MSE\), como un estimador de \(\sigma^2\), que además resulta ser insesgado (esto es, su valor esperado es \(\sigma^2\)):
\[ s^2=MSE=\frac{SSE}{n-2}. \]
El error estándar residual viene dado por \(s=\sqrt{MSE}\).
Los estimadores de mínimos cuadrados \(\hat{\beta}_0\) y \(\hat{\beta}_1\) son insesgados y de mínima varianza de entre todos los estimadores insesgados. El hecho de especificar una distribución normal sobre los errores para la estimación máximo-verosímil, permite derivar de forma directa la distribución de dichos estimadores, que resulta también normal:
\[ \hat{\beta}_0 \sim N\left( \beta_0, \frac{\sum_{i=1}^n x_{i}^2}{nS_{xx}} \sigma^2 \right) \]
\[ \hat{\beta}_1 \sim N\left( \beta_1, \frac{\sigma^2}{S_{xx}}\right), \]
Cuando el modelo de regresión es adecuado, podemos estimar las varianzas de dichas distribuciones sustituyendo \(\sigma^2\) por \(s^2\) . De ahí podemos construir los estadísticos \(t\) para inferir sobre los parámetros:
\[ t_0 = \frac{\hat{\beta}_0-\beta_0}{s \ \sqrt{\sum_i x_i^2/n S_{xx}}} \]
\[ t_1 = \frac{\hat{\beta}_1-\beta_1}{s/\sqrt{S_{xx}}} \]
Ambos estadísticos se distribuyen según una distribución \(t\)-Student con \(n-2\) grados de libertad, que nos permite inferir (estimar y resolver contrastes de hipótesis) sobre los coeficientes del modelo, y en particular contestar a preguntas sobre la relación entre las variables respuesta y explicativa.
Las estimaciones puntuales de \(\beta_0\) y \(\beta_1\) las obtenemos directamente de las ecuaciones normales.
Los intervalos de confianza al nivel de confianza \((1-\alpha)100\%\) para \(\beta_0\) y \(\beta_1\) se construyen a partir de los estadísticos \(t\) y resultan:
\[ IC( \beta_0;1-\alpha) = \hat{\beta}_0 \pm t_{\left(n-2,1-\frac{\alpha}{2}\right)} \sqrt{\frac{\sum_{i=1}^n x_i^2}{n S_{xx}} \ s^2} \]
\[ IC(\beta_1;1-\alpha) = \hat{\beta}_1 \pm t_{\left(n-2,1-\frac{\alpha}{2}\right)} \ \sqrt{\frac{s^2}{S_{xx}}}, \]
donde \(t_{\left(n-2,1-\frac{\alpha}{2}\right)}\) es el cuantil \(1-\alpha/2\) de una distribución \(t\)-Student con \(n-2\) grados de libertad (los correspondientes a \(s^2\)).
Si queremos contrastar Hipótesis sobre los coeficientes de la regresión: \[\left\{\begin{array}{ll} H_{0}:& \beta_{i} = \beta^{*} \\ H_{1}:& \beta_{i} \neq \beta^{*}, i=0,1\\ \end{array} \right.\]
basta con considerar los estadísticos \(t\) anteriores, y sustituir el valor \(\beta_i\) por el que se pretende contrastar, \(\beta^*\). Estos estadísticos, bajo \(H_0\), tienen una distribución \(t\)-Student con \(n-2\) grados de libertad. La resolución del contraste consiste en calcular el p-valor asociado al valor absoluto de la estimación, \(|t_0|\) o \(|t_1|\), según el caso, esto es, \(p-valor=Pr[t_{n-2}>|t_i|]\), donde \(t_{n-2}\) representa una variable t-Student con \(n-2\) grados de libertad, y \(t_i\) es el valor observado para el estadístico correspondiente. Dicho contraste se resuelve de la forma habitual:
Cuando el contraste propuesto sobre \(\beta_0\) o \(\beta_1\) tiene \(\beta^*=0\), en realidad se está contrastando, respectivamente, si la recta de regresión tiene interceptación o pendiente nula. Contrastar \(\beta_1=0\) es equivalente a contrastar correlación nula entre las variables \(X\) e \(Y\), esto es, ausencia de relación lineal. Si conseguimos rechazar esta hipótesis con significatividad, concluiremos que la variable \(X\) está relacionada linealmente con \(Y\) y por lo tanto se puede utilizar para predecir \(Y\) a través de la recta de regresión ajustada.
Analizamos el proceso de inferencia para el modelo para los datos de corrosión. Concretamente se pide:
Recapturamos el resumen del modelo obtenido con la función glm_coef()-
## Coefficient Pr(>|t|)
## (Intercept) 129.79 (127.47, 132.11) < 0.001
## hierro -24.02 (-26.03, -22.01) < 0.001
Como se puede observar en los resultados ninguno de los intervalos de confianza incluye al cero, lo que habla positivamente de su significatividad estadística, esto es, tenemos evidencias para predecir la pérdida de peso con el contenido de hierro inicial a través de una recta con interceptación y pendientes (significativamente) distintas de cero. De esta forma podemos ver que el efecto asociado con un incremento en una unidad de hierro produce una pérdida de peso de entre 22.01 y 26.03 unidades.
Puestos a resolver el contraste \(H_0^i:\beta_i=0\), para \(i=0,1\), observamos los p-valores obtenidos en el proceso de estimación que resultan ambos significativos (<0.001 para \(\beta_0\) y <0.001 para \(\beta_1\)), lo que concluye contundentemente sobre la significatividad de ambos a favor de que son distintos de cero (se rechazan \(H_0^0\) y \(H_0^1\)), como ya habíamos comentado a partir de los intervalos de confianza. En particular, el contenido en hierro explica significativamente la pérdida de peso a través del modelo lineal ajustado.
Cuando hemos realizado el ajuste de un modelo de regresión lineal, hemos de verificar que efectivamente dicho modelo proporciona un buen ajuste a la hora de explicar (predecir) la variable respuesta. Básicamente la bondad del ajuste la cuantificamos con el tanto por ciento de variabilidad de la respuesta, que consigue ser explicada por el modelo ajustado. Para ello contamos con varios tipos de medidas que cuantifican esta variabilidad de diversos modos. Como medidas fundamentales de bondad de ajuste contamos con:
Todas estas medidas las desglosamos a continuación. Para obtenerlas con R utilizaremos las funciones glance(), anova() y summary().
Es una medida de bondad del ajuste relativa a la escala de medida utilizada. En general, se prefieren modelos con menor error residual estimado \(s\), donde \(s^2\) denota la estimación de la varianza \(\sigma^2\) del modelo.
Una medida de lo bueno que resulta un modelo para ajustar unos datos pasa por cuantificar cuánta de la variabilidad contenida en éstos ha conseguido ser explicada por dicho modelo. Un modelo es bueno si la variabilidad explicada es mucha, o lo que es lo mismo, si las diferencias entre los datos y las predicciones según el modelo son pequeñas.
Construir la tabla de ANOVA o Análisis de la Varianza consiste en:
Si partimos de la identidad:
\[\begin{equation} y_i - \bar{y} = (y_i - \hat{y}_i) + (\hat{y}_i - \bar{y}) \end{equation}\]
y el hecho de que \(\sum_{i} (y_i - \hat{y}_i)(\hat{y}_i - \bar{y}) = 0\), podemos escribir:
\[\begin{equation} \underbrace{\sum_{i=1}^n (y_i-\bar{y})^2}_{SST} = \underbrace{\sum_{i=1}^n (y_i-\hat{y}_i)^2}_{SSE} + \underbrace{\sum_{i=1}^n(\hat{y}_i-\bar{y})^2}_{SSR} (\#eq:descompvar) \end{equation}\]
Las abreviaturas \(SST\), \(SSE\) y \(SSR\) provienen del inglés para suma de cuadrados (Sum of Squares): Total, debida al Error (o residual) y debida a la Regresión, respectivamente. A partir de ellas es posible calcular la variabilidad total, la variabilidad explicada por el modelo obtenido, y la variabilidad que queda por explicar o variabilidad residual, sin más que dividir las sumas de cuadrados por sus respectivos grados de libertad. Obtenemos así los cuadrados medios asociados, \(MST=SST/(n-1)\), \(MSE=SSE/(n-2)\) y \(MSR=SSR/1\).
Contrastar la bondad del ajuste de la recta de regresión significa resolver el contraste:
\[\begin{array}{cc} H_0:& \mbox{ el modelo lineal NO explica bien la respuesta} \\ H_1:& \mbox{ el modelo lineal explica bien la respuesta}, (\#eq:contrastemodel) \end{array}\]
que, en el modelo RLS, resulta equivalente a contrastar \(H_0:\beta_1=0, \ vs. \ H_1:\beta_1 \neq 0\), esto es, si la variable predictora \(X\) explica suficientemente bien la variable respuesta \(Y\) a través del modelo lineal propuesto. El estadístico de bondad de ajuste de la regresión está basado en comparar la variabilidad explicada por el modelo con la que queda sin explicar, esto es, en el cociente de las sumas de cuadrados medias \(MSR\) y \(MSE\), que resulta tener una distribución \(F\) con \(1\) y \(n-2\) grados de libertad cuando el modelo es correcto:
\[\begin{equation} F=\frac{SSR/\sigma^2}{\frac{SSE/\sigma^2}{n-2}}=\frac{MSR}{MSE} \sim F_{1,n-2}. \end{equation}\]
En el modelo RLS, el estadístico \(F\) es igual al estadístico \(t\) asociado a \(\beta_1\), elevado al cuadrado. Ya hemos dicho antes que el contraste de bondad de ajuste es equivalente al de \(\beta_1=0\).
Concluiremos que la recta de regresión es significativa para predecir la respuesta \(Y\) al nivel de confianza \((1-\alpha)100\%\), cuando el valor que obtenemos para el estadístico \(F\) supera el valor crítico que se corresponde con el cuantil \(1-\alpha\) de una distribución \(F\) con \(1\) y \(n-2\) grados de libertad. Esto es equivalente a que el p-valor asociado al contraste resulte inferior a \(\alpha\). En otro caso, diremos que no hemos obtenido evidencias suficientes para rechazar que el modelo lineal no es útil para predecir la variable \(Y\) a través de \(X\).
Todas estas sumas de cuadrados y estadísticos se suelen presentar en una tabla de análisis de la variabilidad o tabla ANOVA, cuya apariencia es:
| Fuente | gl | SS | MS | estadístico \(F\) | p-valor |
|---|---|---|---|---|---|
| Regresión | 1 | \(SSR\) | \(MSR=\frac{SSR}{1}\) | \(F=\frac{MSR}{MSE}\) | \(Pr(F_{1,n-2}>F)\) |
| Error | \(n-2\) | \(SSE\) | \(MSE=\frac{SSE}{n-2}\) | ||
| Total | \(n-2\) | \(S_{yy}\) |
En R la \(SSR\) se descompone a su vez para cada uno de los efectos o variables predictoras en el modelo.
Otro estadístico útil para chequear la bondad del ajuste de la recta de regresión es el coeficiente de determinación \(R^2\). Éste se define como la proporción de la varianza que es explicada por la recta de regresión y se obtiene a partir de la descomposición de la varianza como:
\[\begin{equation} R^2=\frac{SSR}{SST}. \end{equation}\]
De hecho, en el modelo RLS, \(R^2\) es el cuadrado del coeficiente de regresión lineal entre la respuesta \(Y\) y el predictor \(X\).
Puesto que \(0\leq R^2 \leq 1\) (al tratarse del coeficiente de correlación al cuadrado), un valor cercano a \(1\) (entre 0.6 y 1) implicará que buena parte de la varianza es explicada por la recta de regresión, y \(R^2\approx 0\) significará que prácticamente toda la variabilidad de los datos queda sin explicar por la recta. Sin embargo, \(R^2\) no sirve para medir la idoneidad del modelo de regresión para describir los datos. De hecho, \(R^2\) puede resultar grande a pesar de que la relación entre \(X\) e \(Y\) no sea lineal (de hecho tiene la misma interpretación que un coeficiente de correlación, válido para cuantificar la relación lineal sólo cuando ésta existe). Siempre ha de ser utilizado con cautela. Así por ejemplo, la magnitud de \(R^2\) depende del rango de variabilidad de la variable explicativa. Cuando el modelo de regresión es adecuado, la magnitud de \(R^2\) aumenta (o disminuye) cuando lo hace la dispersión de \(X\). Por otro lado, podemos obtener un valor muy pequeño de \(R^2\) debido a que el rango de variación de \(X\) es demasiado pequeño, y entonces impedirá que se detecte su relación con \(Y\).
Analizamos la bondad del ajuste obtenido para los datos de corrosión.
## # A tibble: 1 x 11
## r.squared adj.r.squared sigma statistic p.value df logLik AIC BIC
## <dbl> <dbl> <dbl> <dbl> <dbl> <int> <dbl> <dbl> <dbl>
## 1 0.970 0.967 3.06 352. 1.06e-9 2 -31.9 69.8 71.5
## # … with 2 more variables: deviance <dbl>, df.residual <int>
Esta función proporciona diferentes medidas de bondad de ajuste, algunas de ellas las utilizaremos en las unidades siguientes, pero en este caso nos centramos en las que hace referencia al modelo de RLS:
r.squared: \(R^2\) del modelo ajustado,sigma: error residual,statistic: valor del estadístico de contraste (test \(F\)) asociado a la tabla ANOVA,p.value: p-valor del contraste (test \(F\)),df: grados de libertad asociados con \(MSR\),df.residual: grados de libertad asociados con \(MSE\).Para este modelo el error residual tiene una magnitud de 3.05778, pero dado que no podemos comparar con otro modelo resulta difícil interpretar este valor como una medida de bondad de ajuste al no tener una escala de medida que nos indique si este valor es lo suficientemente pequeño.
El valor del estadístico F (352.27) y su p-valor (1.055e-09) nos permiten concluir que podemos rechazar la hipótesis \(H_0:\beta_1=0\), o lo que es lo mismo, \(H_0\): el modelo no explica los datos, a favor de que el contenido en hierro resulta útil para predecir el la pérdida de peso debido a la corrosión a través de un modelo de regresión lineal. Veamos la descomposición de la tabla ANOVA.
## Analysis of Variance Table
##
## Response: peso
## Df Sum Sq Mean Sq F value Pr(>F)
## hierro 1 3293.8 3293.8 352.27 1.055e-09 ***
## Residuals 11 102.9 9.4
## ---
## Signif. codes: 0 '***' 0.001 '**' 0.01 '*' 0.05 '.' 0.1 ' ' 1
Simplemente observando la Tabla de Anova, vemos que la variabilidad explicada por la recta (en términos de sumas de cuadrados), \(SSR = 3293.8\), es superior a la que queda por explicar, \(SSE = 102.9\) (casi tres veces superior). En este caso, al tener una única variable en el modelo la \(SSR\) coincide con la correspondiente a la variable hierro tal y como aparece en la tabla anterior.
A la vista de estos resultados podemos concluir que efectivamente el modelo obtenido resulta útil para explicar la mayor parte de la variabilidad existente en la respuesta a partir de la variabilidad explicada por dicho modelo.
Por último, el valor del coeficiente de determinación es \(R^2= 0.9697198\), lo que implica que alrededor del \(97\%\) de la variabilidad de la pérdida de peso es explicada por la recta ajustada. Es un valor especialmente alto que refleja el gran poder predictivo del contenido de hierro para tratar de conocer la pérdida de peso final del compuesto.
Una versión resumida de las características del modelo ajustado se puede obtener con la función summary(). Con ella podemos obtener la ecuación del modelo, contrastes individuales sobre cada coeficiente, la varianza residual y el test F asociado.
Los criterios utilizados nos permiten concluir que el modelo obtenido es adecuado desde el punto de vista de su capacidad explicativa, es decir, a la hora de medir la asociación entre la respuesta y la predictora. Sin embargo, es importante tener presente los pasos que hemos de dar a la hora de aceptar finalmente un modelo como bueno. No sólo es preciso superar la bondad del ajuste. Una vez superada esta prueba, hay que llevar a cabo el diagnóstico y validación del modelo, o verificación de las hipótesis del modelo RLS y de la capacidad predictiva del mismo. De entre todos los modelos propuestos para predecir una respuesta \(Y\) que hayan superado la bondad del ajuste, el diagnóstico y la validación, podremos optar por el mejor según algún criterio preferido de comparación y selección de modelos. En los modelos de RLS esta tarea es sencilla ya que el modelo ajustado es único, pero se complicará cuando se añadan más variables predictoras como veremos en las unidades siguientes.
Una vez ajustado un modelo y habiendo superado las pruebas de bondad de ajuste pertinentes (fundamentalmente el test \(F\) de Anova), hemos de proceder con el diagnóstico del modelo, que consiste en verificar si éste satisface las hipótesis básicas del modelo de regresión, que son:
\[\begin{array}{ll} H_{0}: & Linealidad\\ H_{1}: & No\ linealidad \end{array}\]
para los errores del modelo, \(\epsilon_{i}\):
media cero
varianza constante u homocedasticidad
\[\begin{array}{ll} H_{0}: & Varianza\ constante\\ H_{1}: & Varianza\ no\ constante \end{array}\]
Si rechazamos la hipótesis nula estaremos concluyendo que nuestro modelo incumple la hipótesis de varianza constante.
\[\begin{array}{ll} H_{0}: & Residuos\ no\ correlados \\ H_{1}: & Residuos\ correlados \end{array}\]
\[\begin{array}{ll} H_{0}: & Residuos\ normales\\ H_{1}: & Residuos\ no\ normales \end{array}\]
El análisis de los residuos del modelo nos permitirá detectar deficiencias en la verificación de estas hipótesis, así como descubrir observaciones anómalas o especialmente influyentes en el ajuste. Una vez encontradas las deficiencias, si existen, cabrá considerar el replanteamiento del modelo, bien empleando transformaciones de las variables, bien proponiendo modelos alternativos al de RLS, que trataremos con detalle en las unidades siguientes.
El diagnóstico del modelo se lleva a cabo fundamentalmente a partir de la inspección de los residuos del modelo. Éstos sólo son buenos estimadores de los errores cuando el modelo ajustado es bueno. Aun así, es lo más aproximado con lo que contamos para indagar qué ocurre con los errores y si éstos satisfacen las hipótesis del modelo. El análisis de los residuos habitual es básicamente gráfico, si bien existen varios tests estadísticos útiles para detectar inadecuaciones del modelo, que presentaremos brevemente.
Definimos los residuos de un modelo lineal como las desviaciones entre las observaciones y los valores ajustados:
\[ r_i = y_i - \hat{y}_i, \qquad i=1,\ldots,n. \]
En ocasiones, es preferible trabajar con los residuos estandarizados, que tienen media cero y varianza aproximadamente unidad, y facilitan la visualización de las hipótesis:
\[ d_i = \frac{r_i}{\sqrt{MSE}}, \qquad i=1,\ldots,n. \]
Los residuos asociados a un modelo ajustado se pueden obtener con la función fortify(). Esta función proporciona además las medidas de influencia para detectar observaciones anómalas, es decir, observaciones con residuos excesivamente grandes.
Los gráficos de residuos estandarizados frente a valores ajustados nos permiten detectar varios tipos de deficiencias del modelo ajustado. Si los residuos están distribuidos alrededor del cero y el gráfico no presenta ninguna tendencia entonces el modelo se considera adecuado. Cuando aparece alguna tendencia como una forma de embudo o un abombamiento, etc., podemos tener algún problema con la hipótesis de varianza constante para los errores (heterocedasticidad). Cuando se aprecia alguna tendencia hablamos de violación de la hipótesis de linealidad: el modelo lineal ha sido incapaz de capturar una tendencia no lineal apreciada en los residuos, posiblemente debido a que existen otras variables explicativas adicionales no consideradas en el modelo, o a que la variable predictora explica la respuesta de un modo más complejo (quizás polinómico, etc.) al considerado en el modelo lineal.
Para verificar la hipótesis de homocedasticidad podemos usar el test de Breusch-Pagan para variables predictoras de tipo numérico, y el de Bartlett para variables predictoras de tipo categórico (ver unidades siguientes). Para realizar el test de Breusch-Pagan utilizamos la función bptest() de la librería lmtest, mientras que para realizar el test de Bartlett utilizamos la función bartlett.test().
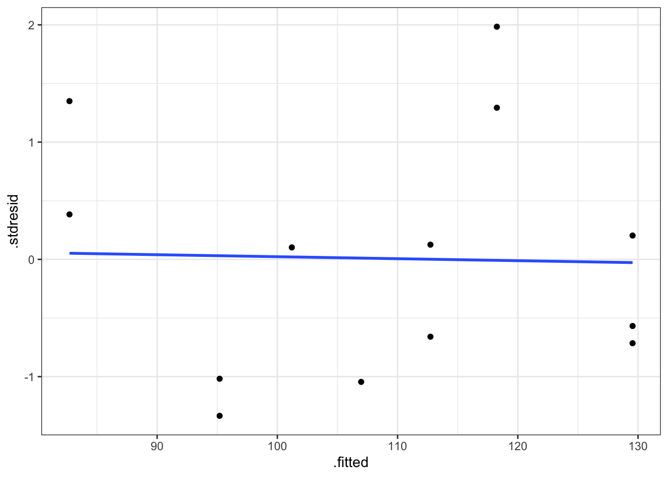
Analizamos la hipótesis de homocedasticidad para el modelo obtenido para los datos de corrosión. En primer lugar obtenemos los residuos del modelo.
# Residuos y medidas de diagnóstico
diagnostico <- fortify(fit)
# Gráfico de residuos estandarizados vs ajustados
ggplot(diagnostico, aes(x = .fitted, y = .stdresid)) +
geom_point() +
stat_smooth(method = "lm", se = FALSE) +
theme_bw()
Gráfico de residuos estandarizados vs valores ajustados.
Se puede concluir que se verifica la hipótesis de linealidad (recta horizontal), ya que no existen tendencias en los residuos. Además con los residuos se comportan de forma aleatoria sin agrupaciones ni tendencias podemos concluir que se cumple la hipótesis de homogeneidad de varianzas. Hay que tener mucho cuidad con la interpretación de estos gráficos, ya que cuando el tamaño de muestra es pequeño, resulta difícil apreciar tenencias o agrupaciones en los residuos. Por este motivo realizamos el test de diagnóstico.
##
## studentized Breusch-Pagan test
##
## data: fit
## BP = 0.024539, df = 1, p-value = 0.8755
Dado que el p-valor del contraste es superior a 0.05 no podemos rechazar la hipótesis nula dada en test de homocedasticidad, y por tanto podemos concluir que se verifica la hipótesis de homogeneidad o varianza constante.
Para verificar la normalidad de los errores, disponemos de gráficos qq-plot de normalidad, en los que se representan los residuos ordenados \(r_{[i]}\) (cuantiles empíricos) versus los cuantiles correspondientes a una normal estándar, \(\Phi^{-1}[(i-1)/n]\). Si es cierta la normalidad de los residuos, los puntos han de estar alineados con la diagonal. Desviaciones de la diagonal más o menos severas en las colas, e incluso en el centro de la distribución, dan indicios de desviaciones de normalidad. La hipótesis de normalidad se puede chequear también con histogramas de los residuos cuando el tamaño muestral es grande.
Los residuos estandarizados también son útiles para detectar desviaciones de la normalidad. Si los errores se distribuyen según una normal, entonces aproximadamente el \(68\%\) de los residuos estandarizados quedarán entre \(-1\) y \(+1\), y el \(95\%\) entre \(-2\) y \(+2\).
Para diagnosticar la hipótesis de normalidad se utiliza el test de Shapiro-Wilks, donde rechazar la hipótesis nula implica el rechazo de la hipótesis de normalidad. Para realizar dicho contraste utilizamos la función shapiro.test().
Gráfico de normalidad de los residuos estandarizados.
El gráfico de normalidad muestra un comportamiento correcto ya que los punto se distribuyen a lo largo de la recta de normalidad. No se realiza el histograma ya que el tamaño muestral es demasiado pequeño. Pasamos al test de diagnóstico.
##
## Shapiro-Wilk normality test
##
## data: diagnostico$.stdresid
## W = 0.92905, p-value = 0.3312
Dado que el p-valor del contraste es superior a 0.05 no podemos rechazar la hipótesis nula dada en el contraste de hipótesis sobre normalidad, y por tanto podemos considerar que los residuos se distribuyen normalmente.
La correlación entre los datos es un proceso intrínseco al muestreo; saber cómo se ha llevado a cabo éste da información, generalmente suficiente, para poder hablar de correlación o incorrelación. En todo caso, los gráficos secuenciales de residuos sirven para detectar problemas de correlación de éstos (autocorrelación), o de inestabilidad de la varianza a lo largo del tiempo. También son útiles para esto los gráficos en que se representa un residuo versus el anterior en la secuencia en que han sido observados; si hay correlación se apreciará tendencia. Detectar autocorrelación llevará a considerar otro tipo de modelos distintos (autocorrelados: modelos de series temporales).
Aparte de los métodos gráficos, para resolver dicho contraste se utiliza el test de Durbin-Watson, cuya función es dwtest(). Rechazar la hipótesis nula implica el rechazo de la hipótesis de incorrelación.
Gráfico de autocorrelación de los residuos estandarizados.
El gráfico de la función de autocorrelación muestra la independencia de las observaciones. Todos los lags quedan dentro del rango de independencia.
##
## Durbin-Watson test
##
## data: fit
## DW = 2.5348, p-value = 0.2952
## alternative hypothesis: true autocorrelation is not 0
Dado que el p-valor del contraste es superior a 0.05 no podemos rechazar la hipótesis nula dada en en contraste de hipótesis sobre incorrelación, y por tanto podemos considerar que los residuos se distribuyen de froma independiente.
Los gráficos de residuos versus valores de la variable predictora son útiles para apreciar tendencias en los residuos que han quedado sin explicar por el modelo ajustado. Básicamente se interpretan como los gráficos de residuos versus valores ajustados \(\hat{y}_i\). Es deseable que los residuos aparezcan representados en una banda horizontal sin tendencias alrededor del cero. Por ejemplo, si hay tendencias de tipo cuadrático, posiblemente hayamos de incorporar la variable \(x^2\) en el modelo, o bien abordar algún tipo de transformación que permita una relación de tipo lineal entre predictor y respuesta.
Una vez identificado el incumplimiento de alguna de las hipótesis del modelo, hay que tratar de identificar porque se produce dicho incumplimiento. Se estudia si el incumplimiento es debido a:
De la primera parte se encarga de analizarla los diagnósticos de influencia, mientras que en el segundo caso se trata principalmente de realizar transformaciones de las variables involucradas en el modelo.
El análisis de influencia pretende detectar aquellas observaciones cuya inclusión/exclusión en el ajuste altera sustancialmente los resultados. Es interesante siempre, localizar este tipo de datos, si existen, y evaluar su impacto en el modelo. Si estos datos influyentes son “malos” (provienen de errores en la medición, o de condiciones de experimentación diferentes, etc.) habrían de ser excluidos del ajuste; si son “buenos”, contendrán información sobre ciertas características relevantes a considerar en el ajuste.
A primera vista, observaciones que dan lugar a un residuo grande, pueden influir notablemente en el ajuste. Las denominaremos OBSERVACIONES ALEJADAS. Su existencia puede indicar también la inadecuación del modelo asumido a la realidad experimental. Si dicha observación tiene un residuo exageradamente grande la denominamos ANÓMALA (outlier en inglés). Por otra parte, observaciones que adoptan valores extremos de alguna o varias variables explicativas pueden tener más influencia que las usuales. Las denominaremos OBSERVACIONES ATÍPICAS.
Sin embargo, las dos características no siempre suponen que las observaciones que las manifiestan sean también influyentes. Generalmente se dice que una observación es alejada si el valor absoluto del residuo es mayor que 2. Se considera anómala si el valor absoluto del residuo es mayor que 3.
Un criterio para valora la influencia de una observación sobre los coeficientes del modelo es el cálculo de la distancia de CooK. Se consideran como observaciones influyentes todas aquellas cuyo valor de la distancia sea mayor que 1. Dicha distancia se obtiene directamente con la función fortify(modelo) en al columna denominada .cooksd. Existen otro tipo de medidas de influencia (se pueden obtener con la función influence.measures(ajuste)) pero las estudiaremos en las unidades siguientes.
Si el incumplimiento de las hipótesis no es debido a la presencia de observaciones influyentes, sino más bien a un comportamiento sistemático del modelo, los remedios para corregir estas deficiencias pasan principalmente por:
El tipo de transformaciones que podemos realizar se pueden dividir en tres apartados:
| Modelo Teórico | Transformación y modelo a plantear |
|---|---|
| \(Y = \beta_0 X^{\beta_1}\) | \(log(Y) \sim log(X)\) |
| \(Y = \beta_0 exp^{\beta_1 X}\) | \(log(Y) \sim X\) |
| \(Y = \beta_0 + \beta_1 log(X)\) | \(Y \sim log(X)\) |
| \(Y = \frac{X}{\beta_0 + \beta_1 X}\) | \(1/Y \sim 1/X\) |
| \(Y = \frac{1}{\beta_0 + \beta_1 X}\) | \(1/Y \sim X\) |
| \(Y = \beta_0 + \beta_1 \frac{1}{X}\) | \(Y \sim 1/X\) |
Transformaciones sobre la predictora. Se utilizan principalmente ante la falta de linealidad, y se basan principalmente en la construcción de modelos de predicción polinómicos. Estos modelos los estudiaremos con más detalle en la unidad siguiente.
Transformaciones sobre la respuesta. Esta suele ser la opción más habitual. Obtener una transformación adecuada de la respuesta sin alterar las variables predictoras. Se suelen utilizar ante el incumplimiento de las hipótesis de normalidad o varianza constante. Como buscar una transformación adecuada es un tema que puede resulta costoso, se utilizar un procedimiento automático que nos da una transformación rápida. Dicho procedimiento se conoce con el nombre de transformaciones de Box-Cox, y sde puede obtener en R con la función boxcox(). Dicho procedimiento consiste en obtener un intervalo de confianza para un parámetro (\(\lambda\)) que refleja la transformación de la respuesta a utilizar. Las transformaciones más habituales son:
| \(\lambda\) | Transformación |
|---|---|
| -2 | \(1/Y^2\) |
| -1 | \(1/Y\) |
| -1/2 | \(1/\sqrt{Y}\) |
| 0 | \(log(Y)\) |
| 1/2 | \(\sqrt{Y}\) |
| 1 | \(Y\) |
| 2 | \(Y^2\) |
Una vez realizado el estudio de influencia la forma de proceder consiste en eliminar las observaciones influyentes y obtener un nuevo modelo sin ellas, o bien realizar alguna de las transformaciones planteadas y ajustar el nuevo modelo. Una vez construido deberemos ajustar el nuevo modelo y realizar un nuevo diagnóstico para verificar que se cumple las hipótesis. Se trata pues de un proceso circular donde a cada modificación debemos obtener un nuevo modelo y analizarlo completamente hasta llegar a un modelo que cumpla con todas las especificaciones. Sin embargo, en ocasiones puede ocurrir que no seamos capaces de encontrar un modelo que cumpla las hipótesis y deberemos buscar entre modelos más complejos de los planteados aquí.
Procedemos con el análisis de los bancos de datos de Papel y Viscosidad presentados al inicio de esta unidad para estudiar los posibles problemas de diagnóstico que hemos venido trabajando.
Planteamos y ajustamos el modelo correspondiente a los datos de Papel.
# Ajuste del modelo
fit.papel <- lm(tension ~ madera, data = papel)
# Solución con glm_coef
glm_coef(fit.papel)## Coefficient Pr(>|t|)
## (Intercept) 21.32 (3.15, 39.49) 0.024
## madera 1.77 (-0.41, 3.95) 0.105
# Gráfico del ajuste
plot_model(fit.papel,"pred", terms = "madera",
ci.lvl = NA,
show.data = TRUE,
axis.title = c("Concentración de madera","Tensión del papel"),
title = " ")
Ajuste para los datos de resitencia del papel
Parece obvio que el modelo planteado no es adecuado, ya que no captura de forma adecuada la tendencia de los datos observados. De hecho, el coeficiente asociado con madera resulta no significativo, lo que daría a entender que la concentración de madera no es relevante para explicar la tensión del papel. Esta afirmación es claramente falsa ya que se aprecia claramente una tendencia de tipo cuadrático. Realizamos los gráficos de diagnóstico para corroborar este hecho.
# Obtenemos los residuos del modelo
diganostico.papel <- fortify(fit.papel)
# Gráfico de residuos vs ajustados
ggplot(diganostico.papel, aes(x = .fitted, y = .stdresid)) +
geom_point() +
theme_bw()
Gráfico de residuos vs ajustados para el modelo de papel
Se observa claramente una tendencia de tipo cuadrática en los residuos lo que indica que un modelo más adecuado para estos datos sería: \[tension \sim madera + madera^2\] Realizamos el análisis de influencia para completar el diagnóstico, a pesar de que la introducción de la nueva pedictora proporcionará un modelo más adecuado.
## [1] FALSE FALSE FALSE FALSE FALSE FALSE FALSE FALSE FALSE FALSE FALSE FALSE
## [13] FALSE FALSE FALSE FALSE FALSE FALSE FALSE
No se observa ninguna observación influyente por lo que el problema de ajuste se debe a la falta de tendencia del modelo propuesto.
Planteamos y ajustamos el modelo correspondiente a los datos de Viscosidad.
# Ajuste del modelo
fit.aceite <- lm(viscosidad ~ aceite, data = aceites)
# Solución con glm_coef
glm_coef(fit.aceite)## Coefficient Pr(>|t|)
## (Intercept) 6.32 (-6.1, 18.73) 0.302
## aceite 1.47 (0.86, 2.08) < 0.001
# Gráfico del ajuste
plot_model(fit.aceite,"pred", terms = "aceite",
ci.lvl = NA,
show.data = TRUE,
axis.title = c("Cantidad de aceite","Viscosidad"),
title = " ")
Ajuste para los datos de viscosidad
El modelo ajustado indica que la cantidad de aceite puede explicar la viscosidad final (p-valor significativo), de forma que por cada unidad que aumentamos la cantidad de aceite la viscosidad aumenta en 1.47 unidades. El modelo obtenido viene dado por: \[ \widehat{\text{viscosidad}} = 6.32 + 1.47*\text{aceite} \]
Estudiamos la capacidad explicativa del modelo:
## # A tibble: 1 x 11
## r.squared adj.r.squared sigma statistic p.value df logLik AIC BIC
## <dbl> <dbl> <dbl> <dbl> <dbl> <int> <dbl> <dbl> <dbl>
## 1 0.624 0.606 23.8 34.9 7.31e-6 2 -104. 215. 218.
## # … with 2 more variables: deviance <dbl>, df.residual <int>
El \(R^2\) nos indica que el 62.4% de la variabilidad viene explicada por el modelo. Además el p-valor asociado a la tabla ANOVA resulta significativo indicando que el modelo tiene capacidad explicativa, es decir, podemos utilizar la cantidad de aceite para conocer el grado de viscosidad. Pasamos al diagnóstico del modelo.
En este cao utilizamos los tests estadísticos en lugar de los gráficos para concluir sobre el diagnóstico:
##
## studentized Breusch-Pagan test
##
## data: fit.aceite
## BP = 6.0786, df = 1, p-value = 0.01368
##
## Shapiro-Wilk normality test
##
## data: diagnostico.aceite$.stdresid
## W = 0.95818, p-value = 0.4276
##
## Durbin-Watson test
##
## data: fit.aceite
## DW = 0.51202, p-value = 5.084e-06
## alternative hypothesis: true autocorrelation is greater than 0
Como se puede ver debemos rechazar las hipótesis de varianza constante y de independencia (p-valores inferiores a 0.05). Planteamos la familia de transformaciones de Box-Cox para tratar de corregir los problemas con las hipótesis del modelo:

El intervalo de confianza al 95% para \(\lambda\) incluye el valor de \(\lambda = 0\), de forma que podríamos utilizar la transformación logaritmo para tratar de corregir los defectos encontrados en el modelo propuesto inicialmente.
# Calculamos la nueva variable
aceites <- aceites %>% mutate(lviscosidad = log(viscosidad))
# Ajuste el nuevo modelo
fit.aceite2 <- lm(lviscosidad ~ aceite, data = aceites)
# Solución con glm_coef
glm_coef(fit.aceite2)## Coefficient Pr(>|t|)
## (Intercept) 2.81 (2.45, 3.17) < 0.001
## aceite 0.03 (0.02, 0.03) < 0.001
# Gráfico del ajuste
plot_model(fit.aceite2,"pred", terms = "aceite",
ci.lvl = NA,
show.data = TRUE,
axis.title = c("Cantidad de aceite","log(Viscosidad)"),
title = " ")
El modelo resulta significativo con ecuación dada por: \[ \widehat{\text{lviscosidad}} = 2.81 + 0.03*\text{aceite} \]
La bondad del ajuste
## # A tibble: 1 x 11
## r.squared adj.r.squared sigma statistic p.value df logLik AIC BIC
## <dbl> <dbl> <dbl> <dbl> <dbl> <int> <dbl> <dbl> <dbl>
## 1 0.738 0.726 0.363 59.3 1.52e-7 2 -8.31 22.6 26.0
## # … with 2 more variables: deviance <dbl>, df.residual <int>
nos da una capacidad explicativa del 73.8%. Hemos mejorado nuestra capacidad explicativa al transformar la respuesta. Por último realizamos el diagnóstico del nuevo modelo:
##
## studentized Breusch-Pagan test
##
## data: fit.aceite2
## BP = 0.39756, df = 1, p-value = 0.5284
##
## Shapiro-Wilk normality test
##
## data: diagnostico.aceite2$.stdresid
## W = 0.92282, p-value = 0.07659
##
## Durbin-Watson test
##
## data: fit.aceite2
## DW = 0.24384, p-value = 6.044e-10
## alternative hypothesis: true autocorrelation is greater than 0
El modelo verifica las hipótesis de varianza constante y normalidad. la hipótesis de independencia resulta significativa debido a la propia estructura de los datos, y más concretamente de la variable predictora, ya que como se puede ver solo se dan ciertos valores específicos (como si se tratara de una variable categórica más que una numérica). Podemos verificar este hecho con el gráfico de autocorrelación:
Gráfico de autocorrelación de los residuos estandarizados.
En esta situación este incumplimiento no resulta concluyente y podemos utilizar el modelo construido para establecer una relación entre la cantidad de aceite y el logaritmo de la viscosidad.
Una vez obtenido un modelo definitivo, la última fase de la modelización consiste en la predicción de la respuesta a partir de un nuevo conjunto de valores de la predictora o predictoras. Básicamente se trata de utilizar valores dentro del rango de la variable predictora para conocer el valor de la respuesta sin necesidad de realizar el diseño experimental. Una vez ajustado el modelo si consideramos una observación \(X = x_0\) dentro del rango de valores de \(X\) la predicción de la respuesta se puede obtener a través del modelo ajustado mediante: \[y_0 = \widehat{\beta_0} + \widehat{\beta_1} x_0.\]
Esto nos proporciona una estimación puntual del valor predicho, pero sin embargo es necesario proporcionar un intervalo de confianza para dicho valor para tener en cuenta la variabilidad observada en el modelo propuesto. Existen dos posibilidades de predicción en este sentido:
Predicción del valor medio de la respuesta. Se trata de predecir el valor medio de la respuesta para un valor especifico de la variable predictora (\(X = x_0\)). Esta es la herramienta de predicción habitual ya que tiene una menor variabilidad. La idea es que para un mismo valor de \(X = x_0\) obtendremos diferentes valores predichos de la respuesta, y por tanto, más que interesarnos la predicción de la respuesta, nos centramos en predecir la media de todos esos posibles valores de la respuesta.
Predicción del valor de la respuesta. Se trata de predecir el valor de la respuesta para un valor especifico de la variable predictora (\(X = x_0\)). Dado que estamos intentando predecir un único valor y no la media de un conjunto de valores el intervalo de confianza de predicción es mayor que en el caso anterior. Tenemos más variabilidad cuando queremos predecir un valor que cuando queremos predecir la media de un conjunto de valores.
Utilizaremos la función predict() para construir la predicción para un modelo dado. Veremos su aplicación en los diferentes ejemplos.
Como ya hemos indicado resulta posible obtener una estimación puntual del valor de la respuesta media a través de: \[\begin{equation} \hat{y}_{x_0} = \hat{\beta}_0 + \hat{\beta}_1 x_0. \end{equation}\] para un \(X = x_0\) dado.
Un intervalo de confianza para la estimación del valor esperado de la respuesta para un \(X = x_0\) dado es:
\[\begin{equation} IC(E(\bar{y}_n \mid x_0);1-\alpha) = \hat{y}_{x_0} \pm t_{(n-2,1-\frac{\alpha}{2})} \ s \sqrt{\frac{1}{n} + \frac{(x_0 - \bar{x})^2}{S_{xx}}}. \end{equation}\]
Predeciremos una futura observación de la variable \(Y\) para cierto valor de \(X = x_0\), con
\[\begin{equation} \hat{y}_{x_0}=\hat{\beta}_0 + \hat{\beta}_1 x_0 = \bar{y} + \hat{\beta}_1 (x_0 - \bar{x}), \end{equation}\]
y el intervalo de confianza vendrá dado por:
\[\begin{equation} IC(y_{x_0};1-\alpha) = \hat{y}_{x_0} \pm t_{\left(n-2,1-\frac{\alpha}{2}\right)} \ s \ \sqrt{1+\frac{1}{n} + \frac{(x_0-\bar{x})^2}{S_{xx}}} \end{equation}\]
Notar que tanto la estimación de la respuesta media como la predicción coinciden, aunque difieren en cuanto al grado de incertidumbre de la misma. Como es de esperar, predecir un hecho puntual en el futuro conlleva más incertidumbre que estimar en términos medios qué va a a ocurrir. Por último, comentar que cuando hemos utilizado alguna transformación (monótona) sobre la respuesta y queremos recuperar la estimación o predicción de ésta en su escala original, basta con utilizar la transformación recíproca sobre el valor predicho para obtener la predicción en la escala original.
Dado que la estimación puntual de la predicción coincide con el modelo ajustado, ya hemos mostrado anteriormente como representar gráficamente la ecuación del modelo o predicción de la respuesta en diferentes ejemplos. En este punto nos limitamos a mostrar como obtener y representar los intervalos de confianza asociados, y como obtener la predicción para un conjunto determinado de valores de la variable predictora.
En primer lugar recuperamos los datos y modelo obtenido para los datos de corrosión.
Estamos interesados en conocer la pérdida de peso medio (estimación de la media) y la pérdida de peso específica (predicción de una futura observación) para una barra en particular cuando el contenido en hierro es de 0.5, 1, y 1.5.
# cargamos datos de predicción
newpred <- data.frame(hierro = c(0.5, 1, 0.5))
# Predicción para la media de la respuesta
# Opción interval = "confidence"
newdata <- data.frame(newpred, predict(fit, newpred, interval = "confidence"))
round(newdata,2)## hierro fit lwr upr
## 1 0.5 117.78 115.63 119.92
## 2 1.0 105.77 103.87 107.67
## 3 0.5 117.78 115.63 119.92
Hemos obtenido la estimación (fit) e intervalo de confianza ((lwr,upr)) al 95% de la predicción de la pérdida de peso medio para valores específicos de contenido de hierro.
# cargamos datos de predicción
newpred <- data.frame(hierro = c(0.5, 1, 0.5))
# Predicción de un único valor
# Opción interval = "prediction"
newdata <- data.frame(newpred, predict(fit, newpred, interval = "prediction"))
round(newdata,2)## hierro fit lwr upr
## 1 0.5 117.78 110.71 124.84
## 2 1.0 105.77 98.77 112.76
## 3 0.5 117.78 110.71 124.84
Como ya habíamos comentado la estimación que obtenemos es la misma pero los intervalos de confianza son más amplios.
A continuación se muestra como representar gráficamente la predicción de la respuesta media y los intervalos de predicción al 95% de confianza para todo el rango de valores de la predictora.
# Gráfico del ajuste
plot_model(fit,"pred", terms = "hierro",
ci.lvl = 0.95,
show.data = TRUE,
axis.title = c("Contenido en hierro","Peso"),
title = " ")
Predicción para los datos de corrosión (media e IC95%).
Vamos a realizar la predicción para el modelo ajustado a los datos de viscosidad. Recordemos que en este caso hemos transformado la respuesta con la función logaritmo para asegurar que se cumple las hipótesis del modelo, y por tanto nuestra predicción inicial es sobre dicha variable y no sobre la viscosidad. Resulta necesario deshacer la transformación logaritmo para poder obtener la predicción en la escala original de la viscosidad.
Estamos interesados en conocer la viscosidad media (estimación de la media) del producto final cuando el contenido de aceite es de 10, 20, 30, 40, y 50.
# cargamos datos de predicción
newpred <- data.frame(aceite = c(10,20,30,40,50))
# Predicción para la media de la respuesta
# Opción interval = "confidence"
newdata <- data.frame(newpred,
predict(fit.aceite2, newpred, interval = "confidence"))
round(newdata,2)## aceite fit lwr upr
## 1 10 3.10 2.87 3.33
## 2 20 3.40 3.21 3.58
## 3 30 3.69 3.53 3.85
## 4 40 3.98 3.81 4.15
## 5 50 4.27 4.06 4.49
# Deshacemos la transformación para volver a la escala de viscosidad
newdata[,2:4] <- exp(newdata[,2:4])
round(newdata,2)## aceite fit lwr upr
## 1 10 22.27 17.68 28.05
## 2 20 29.84 24.90 35.77
## 3 30 39.99 34.15 46.83
## 4 40 53.59 45.12 63.64
## 5 50 71.80 57.85 89.12
De esta forma obtenemos las predicciones en la escala original de la variable viscosidad. ¿Cómo interpretamos los valores de predicción obtenidos?
Realizamos ahora los gráficos de predicción para log(viscosidad) y viscosidad. Para este último introducimos el código necesario para deshacer la transformación.
# Gráfico del ajuste
plot_model(fit.aceite2,"pred", terms = "aceite",
ci.lvl = 0.95,
show.data = TRUE,
axis.title = c("Contenido de aceite","log(Viscosidad)"),
title = " ")
Predicción para los datos de log(viscosidad) (media e IC95%).
# Construímos una secuencia de predicción
newdata <- data.frame(aceite = seq(min(aceites$aceite),
max(aceites$aceite),
length = 50))
# Predicción para la media de la respuesta
newdata <- data.frame(newdata, predict(fit.aceite2,
newdata,
interval = "confidence"))
# Deshacemos la transformación para volver a la escala de viscosidad
newdata[,2:4] <- exp(newdata[,2:4])
# Gráfico del ajuste
ggplot(newdata, aes(x = aceite, y = fit)) +
geom_line() +
geom_ribbon(aes(ymax=upr, ymin=lwr), alpha=1/5) +
geom_point(data = aceites, aes(x = aceite, y = viscosidad)) +
labs(x = "Cantidad de aceite", y = "Viscosidad") +
theme_bw()
Predicción para los datos de viscosidad (media e IC95%).
En este segundo gráfico se puede ver el efecto de la transformación propuesta. De hecho, la predicción obtenida captura la tendencia observada en los datos originales.
Como extensión a los modelos de regresión lineal simple estudiamos los modelos de regresión lineal múltiple (RLM) y los modelos polinómicos (MP). La diferencia principal entre estos modelos y el de RLS es que estos involucran al menos dos variables predictoras de tipo numérico para tratar de explicar el comportamiento de la respuesta. Aunque la base de construcción del modelo es similar a lo tratado en la unidad anterior veremos y estudiaremos con detalle las particularidades de estos modelos. De hecho, veremos que todos los modelos se pueden expresar matemáticamente de una forma única lo que facilita su estudio, y nos permite considerar tanto modelos simples (con pocas predictoras) como los más complejos (con muchas predictoras).
Antes de pasar a la presentación de estos modelos vamos a ver los ejemplos que iremos trabajando a lo largo de esta unidad. Al igual que en el modelo RLS el primer paso es la representación de los datos recogidos y realizar un pequeño estudio descriptivo sobre la posible asociación entre la respuesta y cada una de las predictoras consideradas, dado que resulta imposible realizar gráficos multivariantes de la respuesta vs todas las predictoras.
Veamos los diferentes ejemplos con los que vamos a trabajar a lo largo de esta unidad.
Ejemplo 1. Datos de Bosque. Para estimar la producción en madera de un bosque se suele realizar un muestreo previo en el que se realizan una serie de medidas no destructivas. Disponemos de mediciones para 20 árboles, así como el volumen (VOL) de madera que producen una vez cortados. Las variables consideradas son: HT o altura en pies, DBH el diámetro del tronco a 4 píes de altura (en pulgadas), D16 el diámetro del tronco a 16 pies de altura (en pulgadas), y VOL el volumen de madera conseguida (en pies cúbicos). El objetivo del análisis es determinar cuál es la relación entre dichas medidas y el volumen de madera, con el fin de poder predecir este último en función de las primeras.
dbh <- c(10.2,13.72,15.43,14.37,15,15.02,15.12,15.24,15.24,15.28,
13.78,15.67,15.67,15.98,16.5,16.87,17.26,17.28,17.87,19.13)
d16 <- c(9.3,12.1,13.3,13.4,14.2,12.8,14,13.5,14,13.8,13.6,14,
13.7,13.9,14.9,14.9,14.3,14.3,16.9,17.3)
ht <- c(89,90.07,95.08,98.03,99,91.05,105.6,100.8,94,93.09,89,
102,99,89.02,95.09,95.02,91.02,98.06,96.01,101)
vol <- c(25.93,45.87,56.2,58.6,63.36,46.35,68.99,62.91,58.13,
59.79,56.2,66.16,62.18,57.01,65.62,65.03,66.74,73.38,82.87,95.71)
bosque <- data.frame(vol,dbh,d16,ht)
# Gráficos parciales
datacomp = melt(bosque, id.vars = 'vol')
ggplot(datacomp) +
geom_jitter(aes(value, vol, colour = variable)) +
facet_wrap(~variable, scales = "free_x") +
labs(x = "", y = "Volumen")
Gráfico de dispersión de Volumen respecto de cada predictora.
A simple vista todas las predictoras tienen un efecto positivo en el volumen de madera obtenido, lo cual es bastante obvio, ya que cuanto más grande sea el árbol se espera que su volumen sea más grande. Sin embargo, parece que el efecto de los diámetros es superior al de la altura del árbol (pendientes más pronunciadas) aunque resulta difícil distinguir que diámetro puede ser más relevante ya que ambos se comportan de forma similar. Podemos confirmar este hecho realizando un análisis de correlación para este banco de datos.
Ejemplo 2. Datos de Concentración. Se ha llevado a cabo un experimento para estudiar la concentración presente de un fármaco en el hígado después de sufrir un tratamiento. Se piensa que las variables que pueden influir en la concentración son el peso del cuerpo, el peso del hígado y la dosis de fármaco administrada.
p.cuerpo <- c(176,176,190,176,200,167,188,195,176,165,158,148,149,
163,170,186,146,181,149)
p.higado <- c(6.5,9.5,9.0,8.9,7.2,8.9,8.0,10.0,8.0,7.9,6.9,7.3,5.2,
8.4,7.2,6.8,7.3, 9.0,6.4)
dosis <- c(.88,.88, 1.0,.88,1.0,.83,.94,.98,.88,.84,.80,.74,.75,.81,
.85,.94,.73,.90,.75)
concen <- c(.42,.25,.56,.23,.23,.32,.37,.41,.33,.38,.27,.36,.21,.28,
.34,.28,.30,.37,.46)
concentracion <- data.frame(p.cuerpo,p.higado,dosis,concen)
# Gráficos parciales
datacomp = melt(concentracion, id.vars = 'concen')
ggplot(datacomp) +
geom_jitter(aes(value, concen, colour = variable)) +
facet_wrap(~variable, scales = "free_x") +
labs(x = "", y = "Concentración del fármaco")
Gráfico de dispersión de la concentración del fármaco respecto de cada predictora.
En este caso ninguno de los gráficos parciales muestra una gran asociación entre la concentración del fármaco y cada una de las predictoras. En todos ellos se aprecia una observación un poco más alejada del resto (concentración > 0.6) que podría ser influyente en la obtención del modelo correspondiente.
Ejemplo 3. Datos de Papel. Banco de datos de Papel de la unidad anterior, donde ya pudimos ver que la tendencia observada se comportaba más como una parábola (polinomio de grado 2) que como una recta.
madera <- c(1,1.5,2,3,4,4.5,5,5.5,6,6.5,7,8,9,10,11,12,13,14,15)
tension <- c(6.3,11.1,20.0,24,26.1,30,33.8,34,38.1,39.9,42,46.1,
53.1,52,52.5,48,42.8,27.8,21.9)
papel <- data.frame(madera,tension)
ggplot(papel, aes(x = madera, y = tension)) +
geom_point() +
labs(x = "Concentración de madera", y = "Resistencia del papel")
Gráfico de dispersión de resistencia del papel vs concentración de madera.
Vemos las diferencias de expresión de cada uno de los modelos que trabajaremos en esta unidad.
Los modelos de regresión lineal múltiple surgen cuando tratamos de explicar el comportamiento de una variable predictora de tipo continuo a través de un conjunto de variables predictoras de tipo continuo mediante una función lineal. De hecho, se trata de describir dicha relación a través de una superficie, lineal en las variables explicativas, lo más próxima posible a los valores observados de la respuesta. Si \(X_1, X_2,...,X_p\) son las variables predictoras el modelo viene dado por:
\[\begin{equation} Y = \beta_0 + \beta_1 X_1 + \beta_2 X_2 + ... + \beta_p X_p + \epsilon \end{equation}\]
Las hipótesis de este modelo es que los errores se distribuyen de forma independiente mediante una distribución Normal de media cero y varianza constante \(\sigma^2\).
Los parámetros desconocidos de este modelo son \((\beta_0, \beta_1,... ,\beta_p, \sigma^2)\) donde:
Dada un muestra de \(n\) sujetos de la variable respuesta \((y_1,...,y_n)\) y de las variables predictoras \((x_{11},...,x_{n1}), (x_{12},...,x_{n2}),...,(x_{1p},...,x_{np})\), el modelo de regresión lineal múltiple se puede escribir como:
\[Y = \left(\begin{array}{c} y_1 \\ y_2 \\ ...\\ y_n\\ \end{array} \right) = \left(\begin{array}{cccc} 1 & x_{11} & ... & x_{1p}\\ 1 & x_{21} & ...& x_{2p}\\ ...& ... & ...& ...\\ 1 & x_{n1}& ...& x_{np}\\ \end{array} \right) \left(\begin{array}{c} \beta_0 \\ \beta_1 \\ ....\\ \beta_p\\ \end{array} \right) + \left(\begin{array}{c} e_1 \\ e_2 \\ ...\\ e_n \end{array} \right) = X \beta + \epsilon\]
donde \(X\) se denomina matriz del diseño, representando el efecto común (columna de 1’s) y el efecto de las predictoras (cada columna con los valores de la variable), y los \(e_i\) representan los errores aleatorias para cada uno de los sujetos de la muestra.
Los bancos de datos de bosque y concentración quedarían englobados dentro de este conjunto de modelos con la siguiente propuesta:
\[ \text{vol} = \beta_{0} + \beta_{1}\text{dbh} + \beta_{2}\text{d16} + \beta_{3}\text{ht} + \epsilon \]
\[ \text{concen} = \beta_{0} + \beta_{1}\text{p.cuerpo} + \beta_{2}\text{p.higado} + \beta_{3}\text{dosis} + \epsilon \]
Los modelos de regresión lineal múltiple surgen cuando tratamos de explicar el comportamiento de una variable predictora de tipo continuo a través de una variable predictora de tipo continuo mediante una función polinómica lineal. En general, los modelos polinómicos son útiles cuando se aprecia una tendencia curvilínea entre los predictores y la respuesta. Asimismo, a veces constituyen una aproximación sencilla (por serie de Taylor) a modelos complejos e incluso no-lineales. Si \(X\) es la variable predictora y queremos un polinomio de grado \(k\) el modelo viene dado por:
\[\begin{equation} Y = \beta_0 + \beta_1 X + \beta_2 X^2 + ... + \beta_k X^k + \epsilon \end{equation}\]
Las hipótesis de este modelo es que los errores se distribuyen de forma independiente mediante una distribución Normal de media cero y varianza constante \(\sigma^2\).
Los parámetros desconocidos de este modelo son \((\beta_0, \beta_1,... ,\beta_k, \sigma^2)\) donde:
Dada un muestra de \(n\) sujetos de la variable respuesta \((y_1,...,y_n)\) y de la variable predictora \((x_{11},...,x_{n1})\), el modelo de regresión polinómico se puede escribir como:
\[Y = \left(\begin{array}{c} y_1 \\ y_2 \\ ...\\ y_n\\ \end{array} \right) = \left(\begin{array}{cccc} 1 & x_{11} & ... & x^k_{11}\\ 1 & x_{21} & ...& x^k_{21}\\ ...& ... & ...& ...\\ 1 & x_{n1}& ...& x^k_{n1}\\ \end{array} \right) \left(\begin{array}{c} \beta_0 \\ \beta_1 \\ ....\\ \beta_k\\ \end{array} \right) + \left(\begin{array}{c} e_1 \\ e_2 \\ ...\\ e_n \end{array} \right) = X \beta + \epsilon\]
donde \(X\) se denomina matriz del diseño, representando el efecto común (columna de 1’s) y el efecto del grado del polinomio (cada columna con los valores de la variable), y los \(e_i\) representan los errores aleatorias para cada uno de los sujetos de la muestra.
El banco de datos de papel quedaría englobado dentro de este conjunto de modelos con la siguiente propuesta:
\[ \text{tension} = \beta_{0} + \beta_{1}\text{madera} + \beta_{2}\text{madera}^2 + \epsilon \]
Ambos tipos de modelos se pueden describir mediante una única formulación: \[\begin{equation} Y = X \beta + \epsilon \end{equation}\]
Antes de ver como afecta a la estimación del modelo la presencia de más de una predictora o posible efecto sobre la respuesta, vamos a ver como podemos expresar los modelos RLM y MP en R.
El modelo RLM se expresa como: \[Y \sim X_1 + X_2 + ... + X_p\]
El modelo polinómico para una predictora \(X\) se expresa como: \[Y \sim X + I(X^2) + ... + I(X^k)\]
Estas expresiones son una generalización directa del modelo RLS presentado en la unidad anterior.
En modelos donde hay más de un efecto sobre la predictora, es decir, tenemos diferentes predictoras o un modelo polinómico, debemos introducir dos conceptos que resultan muy relevantes, y que utilizaremos de forma muy habitual en la selección del mejor modelo.
El modelo saturado es aquel que contiene todos los efectos asociados con las diferentes predictoras consideradas. Para los tres ejemplos considerados tendríamos:
\[\left\{ \begin{array}{lc} \text{Ejemplo 1} & vol \sim dbh + d16 + ht\\ \text{Ejemplo 2} & concen \sim p.cuerpo + p.higado + dosis\\ \text{Ejemplo 3} & resistencia \sim madera + madera^2\\ \end{array} \right. \]
Los modelos anidados son todos los modelos que podemos considerar y que no contienen todos los efectos asociados con las predictoras. Si tenemos un modelo con dos predictoras \(X_1\), y \(X_2\) lo modelos anidados del modelo saturado \[Y \sim X_1 +X_2\] son:
\[\left\{ \begin{array}{lc} \text{con } X_1 & Y \sim X_1\\ \text{con } X_2 & Y \sim X_2\\ \text{Sin ninguna} & Y \sim 1\\ \end{array} \right. \]
Todos ellos están “anidados” dentro del modelo saturado y reflejan diferente información. El primero refleja que la respuesta sólo está relacionada con \(X_1\), el segundo que la respuesta está relacionada con \(X_2\), y el último refleja que no hay ninguna predictora relacionada con la respuesta.
Debemos tener en cuenta que al incluir más de una predictora debemos decidir si todas ellas son relevantes para explicar el comportamiento de la respuesta, o bien si podemos prescindir de algunas de ellas.
La consideración de los diferentes modelos anidados varía en función del modelo con el que trabajemos. En el caso de los de RLM el orden de los modelos anidados no es relevante, pero sin embargo si lo es los modelos polinómicos. No tiene sentido considerar un modelo en el que sólo se incluya el efecto del polinomio de grado 2 pero que no se incluya el de grado 1. Por su propia construcción cuando consideramos un modelo polinómico de grado \(k\) se deben considerar obligatoriamente todos los grados desde \(1\) hasta \(k-1\). Si consideramos un modelo polinómico de grado 4, el orden de los modelos anidados viene dado por:
\[\left\{ \begin{array}{ll} \text{saturado } & Y \sim X + X^2 + X^3 + X^4\\ \text{grado 3 } & Y \sim X + X^2 + X^3 \\ \text{grado 2 } & Y \sim X + X^2 \\ \text{grado 1 } & Y \sim X \\ \text{sin efectos } & Y \sim 1 \\ \end{array} \right. \]
A la hora de ajustar un modelo polinómico, siempre serán preferibles modelos con órdenes pequeños antes que grandes (principio de parsimonia o simplicidad). Siempre trataremos de seleccionar le modelo con un orden más pequeño, es decir, con menos efectos pero con igual predictivo que el modelo saturado.
Los procesos de estimación e inferencia del RLM y MP se basan en los mismos principios que los del modelo RLS estudiados en la unidad anterior. De hecho, las hipótesis sobre los errores de incorrelación, varianza constante y media cero son suficientes para obtener el ajuste por mínimos cuadrados del modelo propuesto. La normalidad es necesaria para obtener las inferencias y concluir sobre su fiabilidad.
Sin embargo, este tipo de modelos de regresión que consideran más de una predictora adolecen de un problema que puede ser muy relevante en su análisis. Dado que todas las predictoras no vendrán medidas en la misma escala de medida, el modelo obtenido (más concretamente los coeficientes del modelo) exhibe una dependencia de dicha escala que puede provocar que una variable con una variabilidad pequeña aparezca con un coeficiente grande en el modelo estimado. Para evitar esa dependencia se suele trabajar con las variables estandarizadas, es decir, corregidas por su media y desviación típica para eliminar los efectos de escala. Aunque en el apartado teórico mostraremos la solución para las variables en escala original, en la parte práctica mostraremos los coeficientes para las variables estandarizadas y veremos los cambios entre ambos modelos. Para denotar las variables transformadas añadiremos el prefijo Z al nombre de la predictora a la hora de escribir los modelos obtenidos.
Para estimar \(\beta\) seguimos el criterio de minimizar la suma de cuadrados debida al error, esto es,
\[ min_{\beta} \quad \epsilon'\epsilon = min_{\beta} \quad (Y-X \beta)'(Y-X \beta) = min_{\beta} \quad Y'Y -2 \beta'X'Y + \beta'X'X\beta. \]
Tras derivar la expresión anterior respecto de \(\beta\) e igualarlo a cero, se obtiene el estimador de mínimos cuadrados de \(\beta\), \(\hat{\beta}\), resolviendo las \(p\) ecuaciones normales:
\[\begin{equation} X'X \beta=X'Y. \end{equation}\]
A la hora de resolver las ecauciones normales, se pueden presentar dos situaciones:
Cuando \((X'X)\) es singular, el estimador de \(\beta\) se obtiene a partir de una matriz inversa generalizada \(X'X\), \((X'X)^{-}\), como:
\[\begin{equation} \hat{\beta}=(X'X)^{-} X'Y. \end{equation}\]
Así, diferentes elecciones de la inversa generalizada \((X'X)^{-}\) producen diferentes estimaciones de \(\beta\). Sin embargo, el modelo ajustado es el mismo, esto es, \(\hat{y}=X \hat{\beta}\) es invariante a la inversa generalizada elegida.
\[\begin{equation} \hat{\beta}=(X'X)^{-1} (X'Y). \end{equation}\]
Cuando prescindimos de la hipótesis de normalidad de los errores, obtenemos la estimación por mínimos cuadrados, que tiene las siguientes propiedades:
El estimador de mínimos cuadrados \(\hat{\beta}\) minimiza \(\epsilon'\epsilon\), independientemente de la distribución de los errores. La hipótesis de normalidad se añade para justificar las inferencias basadas en estadísticos \(t\) o \(F\).
Los elementos de \(\hat{\beta}\) son funciones lineales de las observaciones \(y_1,\ldots,y_n\) y son estimadores insesgados de mínima varianza, sea cual sea la distribución de los errores. Así tenemos:
\[ E(\hat{\beta})=\beta \ \quad \mbox{ y }\ \quad Var(\hat{\beta})=\sigma^2 (X'X)^{-1} . \]
\[ \hat{y}=X\hat{\beta}. \]
Los residuos \(e=y-X\hat{\beta}\) verifican:
\(\sum_{i=1}^n e_i \hat{y}_i = 0 \ \Leftrightarrow \ e'\hat{y}=\hat{y}' e = 0\)
La ortogonalidad entre los vectores de estimaciones y de residuos, \(\hat{y}\) y \(e\) respectivamente, implica el teorema de Pitágoras:
\[ |y|^2=|\hat{y}|^2+|e|^2 \ \Leftrightarrow \ \sum_{i=1}^n y_i^2= \sum_{i=1}^n \hat{y}_i^2 + \sum_{i=1}^n e_i^2. \]
Como ocurría en el modelo RLS el estimador de mínimos cuadrados coincide con el máximo verosímil, ya que bajo la hipótesis de normalidad de los errores aleatorios, la verosimilitud conjunta tiene la forma:
\[ L(\beta;y) \propto f(y;\beta) \propto \left(\frac{1}{\sigma^2}\right)^{n/2} \quad exp\left\{-\frac{(y-X\beta)'(y-X\beta)}{2 \sigma^2}\right\}, \]
y maximizar la verosimilitud es equivalente a minimizar la log-verosimilitud cambiada de signo, que coincide con la suma de cuadrados del error para un valor fijo de \(\sigma^2\).
De nuevo utilizaremos la hipótesis de normalidad para proceder con el proceso de inferencia sobre el modelo lineal.
Para establecer los procedimientos de inferencia asociados con el modelo de regresión lineal múltiple es preciso incorporar la hipótesis de normalidad de los errores. A partir de ella podemos obtener la distribución de los estadísticos y estimadores involucrados en el proceso de inferencia con el modelo lineal ajustado.
Podemos obtener un estimador de \(\sigma^2\) basado en la variabilidad que ha quedado sin explicar por el modelo, cuantificada por lo que llamamos suma de cuadrados residual SSE:
\[ \begin{array}{ll} SSE=\sum_{i=1}^n (y_i-\hat{y}_i)^2 &= e'e \\ &= y'y - 2 \hat{\beta}' X'y + \hat{\beta}'X'X \hat{\beta} \\ &= y'y - \hat{\beta}' X'y. \end{array} \]
Puesto que en el modelo lineal propuesto se estiman \(p\) parámetros, la suma de cuadrados residual \(SSE\) tiene asociados \(n-p\) grados de libertad (el número de datos menos el de coeficientes del modelo). El cociente entre \(SSE\) y sus grados de libertad, \(n-p\), es el estimador de mínimos cuadrados de \(\sigma^2\), y es además, un estimador insesgado:
\[ \hat{\sigma}^2=s^2 = MSE=\frac{SSE}{n-p}. \]
Asumiendo que el modelo es cierto, la distribución de probabilidad de la varianza del modelo es proporcional a una \(\chi^2\) con \(n-p\) grados de libertad,
\[ \frac{(n-p)s^2}{\sigma^2} \sim \chi^2_{n-p}. \]
Bajo la hipótesis de normalidad de los errores, tenemos que el estimador máximo-verosímil \(\hat{\beta}\) tiene una distribución normal:
\[ \hat{\beta} \sim N(\beta,\sigma^2 (X'X)^{-1}). \]
Esto implica que la distribución marginal de cada uno de los coeficientes de la regresión, \(\hat{\beta}_i\), también es normal,
\[ \hat{\beta}_i \sim N(\beta_i,\sigma^2 C^{X}_{ii}), \ \ i=0,\ldots,p-1, \]
con \(C^{X}_{ii}\) el \(i\)-ésimo elemento de la diagonal de la matriz \((X'X)^{-1}\).
En consecuencia, para construir intervalos de confianza o resolver contrastes sobre cada uno de los coeficientes del modelo, individualmente, podemos utilizar estadísticos \(t\) que se distribuyen con una distribución t de Student con \(n-p\) grados de libertad:
\[ \frac{\hat{\beta}_i-\beta_i}{\sqrt{s^2 C^X_{ii}}} \ \sim \ t_{n-p}, \ \ i=1,\ldots,n, \]
construidos a partir del estimador de \(\sigma^2\), \(s^2\).
Así, un intervalo de confianza para un coeficiente de interés \(\beta_i\) al nivel \((1-\alpha)100\%\) viene dado por:
\[ \hat{\beta}_i \pm t_{(n-p,1-\alpha/2)} \ \sqrt{s^2 \ C^X_{ii}}, \]
donde \(t_{(n-p,1-\alpha/2)}\) es el cuantil \(1-\alpha/2\) de una distribución \(t\) con \(n-p\) grados de libertad.
El contraste \(H_0:\beta_i=0\) se resolverá con el rechazo de \(H_0\) a nivel \(1-\alpha\) si
\[ |\hat{\beta}_i| > t_{(n-p,1-\alpha/2)} \ \sqrt{s^2 \ C^X_{ii}}. \]
Cuando se pretende obtener intervalos de confianza para varios coeficientes del modelo a la vez, es recomendable ser más conservador. Hay diversas soluciones propuestas para realizar “comparaciones múltiples”, esto es, testar todos los coeficientes a la vez, y obtener regiones de confianza conjuntas. Quizá el más conocido es el ajuste de Bonferroni, basado en sustituir el cuantil \(t_{(n-p,1-\alpha/2)}\) en la expresión anterior, por \(t_{(n-p,1-\alpha/2q)}\), si \(q\) es el número de coeficientes para los que se desea una estimación en intervalo. Se obtendrán entonces unos intervalos de confianza ‘ensanchados’ respecto a los intervalos de confianza individuales. Si no tenemos ninguna prioridad particular sobre determinados coeficientes, lo lógico será obtener conjuntamente los intervalos de confianza para todos los coeficientes del modelo, esto es, \(q=p\).
Otra opción para la estimación en intervalo es construir una región de confianza conjunta para todos los parámetros \(\beta\) del modelo, determinando los puntos \(\beta\) de la elipse definida por:
\[ (\beta-\hat{\beta})'X'X (\beta-\hat{\beta})= (p+1) \ s^2 \ F_{(p,n-p,1-\alpha)}, \]
donde \(F_{(p,n-p,1-\alpha)}\) es el cuantil \(1-\alpha\) de una distribución \(F\) con \(p\) y \(n-p\) grados de libertad.
Es posible construir regiones de confianza conjuntas de este tipo para cualquier subconjunto de coeficientes del modelo. Bastará variar adecuadamente los grados de libertad \(p\) y \(n-p\). Estas regiones acaban siendo complicadas de interpretar, especialmente cuando la dimensión de \(\beta\) es grande. Sin embargo, en la práctica no se suele hacer cuando el número de predictoras es elevado.
Realizamos el proceso de estimación e inferencia para los modelos saturados correspondientes a los ejemplos presentados al inicio de esta unidad. Obtendremos el modelo para las predictoras en escala original y estandarizadas, representaremos los intervalos de confianza de los coeficientes del modelo, y obtendremos el ajuste final del modelo. Utilizaremos la función tab_model de la libreria sjplot para el análisis de los coeficientes del modelo, ya que nos proporciona más información que la función glm_coef.
Ajustamos un modelo RLM para el conjunto de datos bosque.
# Ajuste del modelo
fit.bosque <- lm(vol ~ dbh + d16 + ht, data = bosque)
# Inferencia sobre los parámetros del modelo
glm_coef(fit.bosque)## Coefficient Pr(>|t|)
## (Intercept) -108.58 (-138.53, -78.62) < 0.001
## dbh 1.63 (-1.29, 4.54) 0.254
## d16 5.67 (2.47, 8.87) 0.002
## ht 0.69 (0.45, 0.94) < 0.001
de forma que el ajuste obtenido viene dado por: \[ \widehat{\text{vol}} = -108.58 + 1.63*\text{dbh} + 5.67*\text{d16} + 0.69*\text{ht} \] La interpretación de los coeficientes nos indica que el valor predicho de volumen aumenta en 1.63 unidades por el aumenta de una unidad de DBH, en 5.67 unidades por cada unidad de D16, y 0.69 unidades por cada unidad de HT. A la vista de los contrastes individuales (p-valores) podemos concluir que los coeficientes asociados con D16 y HT son significativos, es decir, sus coeficientes si sólo esa variable estuviera presente en el modelo serían distintos de cero. Esta información se ve reforzada por los intervalos de confianza individuales, que además muestran que dichos coeficientes son positivos indicando que el VOL aumenta directamente al aumentar los valores de D16 y HT. Por tanto, el modelo anidado dado por: \[vol \sim d16 + ht\] podría ser igualmente válido que el que contiene todas las predictoras. A continuación, se presenta el ajuste obtenido para cada variable de forma marginal.
Representamos gráficamente la estimación e intervalo de confianza de los coeficientes del modelo para apreciar los efectos descritos:

Comparamos los resultados con los del modelo estandarizado. La tabla proporciona las estimaciones e intervalo de confianza al 95% de los parámetros en la escala original (Estimates y CI), las estimaciones y CI de los coeficientes del modelo estandarizado (std.Beta y standarized CI), y el p-valor asociado a cada coeficiente
# Inferencia sobre los parámetros del modelo
tab_model(fit.bosque,
show.std = TRUE,
show.r2 = FALSE)| vol | |||||
|---|---|---|---|---|---|
| Predictors | Estimates | std. Beta | CI | standardized CI | p |
| (Intercept) | -108.58 | 0.00 | -138.56 – -78.60 | -0.10 – 0.10 | <0.001 |
| dbh | 1.63 | 0.21 | -0.55 – 3.80 | -0.07 – 0.50 | 0.133 |
| d16 | 5.67 | 0.65 | 3.12 – 8.22 | 0.36 – 0.95 | <0.001 |
| ht | 0.69 | 0.24 | 0.35 – 1.04 | 0.12 – 0.36 | 0.001 |
| Observations | 20 | ||||
Se aprecia como la variable más relevante para explicar el comportamiento del volumen de madera es el diámetro del tronco a 16 pies de altura con un coeficiente estandarizado de 0.65, que es tres veces superior a los coeficientes de las otras predictoras. Podemos ver el gráfico de las estimaciones para el modelo estandarizado:
# Gráfico del ajuste
plot_model(fit.bosque,
show.values = TRUE,
vline.color = "yellow",
type = "std")
Por último, obtenemos los gráficos del modelo ajustado. Para obtener estos gráficos se asume como valor para la predictoras que no están en el gráfico igual a su media muestral Por ejemplo, para el gráfico de vol con respecto dbh utilizamos el modelo: \[
\widehat{\text{vol}} = -108.58 + 1.63*\text{dbh} + 5.67*\overline{\text{d16}} + 0.69*\overline{\text{ht}}
\] donde \(\overline{\text{d16}}\) y \(\overline{\text{ht}}\) son respectivamente las medias muestrales de d16 y ht. Los gráficos para cada predictora son:
# Gráfico del ajuste
plot_model(fit.bosque,"pred",
ci.lvl = NA,
show.data = TRUE,
title = "Modelo ajustado")## $dbh

##
## $d16

##
## $ht

Ajustamos un modelo RLM para el conjunto de datos de concentración.
# Ajuste del modelo
fit.concen <- lm(concen ~ p.cuerpo + p.higado + dosis, data = concentracion)
# Inferencia
tab_model(fit.concen,
show.std = TRUE,
show.r2 = FALSE)| concen | |||||
|---|---|---|---|---|---|
| Predictors | Estimates | std. Beta | CI | standardized CI | p |
| (Intercept) | 0.27 | 0.00 | -0.15 – 0.68 | -0.43 – 0.43 | 0.192 |
| p.cuerpo | -0.02 | -3.96 | -0.04 – -0.00 | -7.13 – -0.79 | 0.018 |
| p.higado | 0.01 | 0.20 | -0.02 – 0.05 | -0.31 – 0.70 | 0.419 |
| dosis | 4.18 | 4.05 | 0.93 – 7.42 | 0.90 – 7.20 | 0.015 |
| Observations | 19 | ||||
de forma que el ajuste obtenido viene dado por:
\[ \widehat{\text{concen}} = 0.27 - 0.02*\text{p.cuerpo} + 0.01*\text{p.higado} + 4.18*\text{dosis} \]
La interpretación de los coeficientes nos indica que el valor predicho de la concentración aumenta con el peso del hígado y dosis suministrada, pero disminuye con el peso del cuerpo. Los valores tan pequeños de los coeficientes asociados a los pesos podrían indicar que dichas variables no tienen gran capacidad predictiva, pero hay que tener en cuenta que dichas variables están medidas en un escala distinta de la dosis, y que por tanto la estimación de los coeficientes se ve influenciada por dicha escala. Si nos fijamos en los coeficientes estandarizados apreciamos la misma tendencia en todas la preditoras (signo del coeficiente) pero vemos como tanto el p.cuerpo como la dosis tienen un peso similar para explicar el comportamiento de la concentración.
Del análisis de los contrastes individuales podríamos descartar la variable peso del hígado (p-valor >0.05) para explicar el comportamiento de la concentración del compuesto (algo que deberemos comprobar posteriomente), y considerar el resto de predictoras en el modelo anidado: \[concen \sim p.cuerpo + dosis\] Los gráficos de los coeficientes del modelo (no estandarizados y estandarizados) nos permite ver gráficamente estas conclusiones:
# Gráfico del ajuste sin estandarizar
plot_model(fit.concen,
show.values = TRUE,
vline.color = "yellow")
# Gráfico del ajuste estandarizados
plot_model(fit.concen,
show.values = TRUE,
vline.color = "yellow",
type = "std")
En el gráfico de coeficientes sin estandarizar se aprecia el efecto de trabajar en la escala original, dado que el intervalo de confianza del peso del cuerpo es inapreciable y puede llegar a parecer que no tiene efecto sobre la concentración, lo que si queda más claro en el gráfico de los coeficientes estandarizados.
¿qué ocurre cuando realizamos el gráfico del ajuste para este conjunto de datos?
Ajustamos un modelo MP de grado 2 para el conjunto de datos de papel presentados en la unidad anterior.
# Ajuste del modelo
fit.papel <- lm(tension ~ madera + I(madera^2), data = papel)
# Inferencia
tab_model(fit.papel,
show.std = TRUE,
show.r2 = FALSE)| tension | |||||
|---|---|---|---|---|---|
| Predictors | Estimates | std. Beta | CI | standardized CI | p |
| (Intercept) | -6.67 | 0.81 | -13.88 – 0.53 | 0.58 – 1.03 | 0.067 |
| madera | 11.76 | 0.79 | 9.64 – 13.89 | 0.63 – 0.96 | <0.001 |
| madera^2 | -0.63 | -0.85 | -0.77 – -0.50 | -1.03 – -0.68 | <0.001 |
| Observations | 19 | ||||
de forma que el ajuste obtenido viene dado por:
\[ \widehat{\text{tension}} = -6.67 + 11.76*\text{madera} - 0.63*\text{madera}^2 \]
El ajuste obtenido es una parábola invertida (coeficiente negativo en la potencia 2) tal y como se observaba en el gráfico de los datos cuando presentamos el ejemplo. En este tipo de modelos el análisis inferencial se debe centrar en el estudio del orden más alto, para determinar si es adecuado o si podríamos construir un modelo de un orden más simple. La significatividad del coeficiente (p-valor < 0.05) indica que dicho grado es necesario en el modelo. De hecho, los coeficientes estandarizados muestran un efecto similar tanto en el grado 1 como en grado 2. Lo vemos gráficamente:
# Gráfico del ajuste sin estandarizar
plot_model(fit.papel,
show.values = TRUE,
vline.color = "yellow")
# Gráfico del ajuste estandarizados
plot_model(fit.papel,
show.values = TRUE,
vline.color = "yellow",
type = "std")
Vemos el gráfico del ajuste obtenido:
# Gráfico del ajuste
plot_model(fit.papel,"pred",
ci.lvl = NA,
show.data = TRUE,
title = "Modelo ajustado")## $madera

La tendencia ajustada se corresponde con la observada en los datos del experimento.
En este punto presentamos los procedimientos de bondad de ajuste habituales en los modelos de regresión: Análisis de la tabla Anova, el coeficiente de determinación, y el coeficiente de determinación ajustado. Por el momento nos centraremos en el estudio de bondad de ajuste del modelo saturado. En las secciones siguientes veremos como determinar el conjunto de predictoras más relevantes para explicar el comportamiento de la respuesta, y utilizaremos de nuevo estos criterios para valorar el ajuste obtenido.
Habitualmente, la primera forma de juzgar la calidad del ajuste obtenido consiste en valorar la variabilidad de la respuesta que se ha podido explicar con el modelo propuesto. En lo que sigue, asumiremos que el modelo ajustado es \(\hat{y}=X\hat{\beta}\), donde la matriz de diseño \(X\) tiene por columnas todas las variables explicativas consideradas, sean continuas o dummies definidas para representar algún factor. En todo caso, suponemos que hemos estimado \(p\) coeficientes, esto es, \(\hat{\beta} \in \mathbb{R}^p\).
Descomponemos pues la variabilidad de las observaciones \(y\), en la parte explicada por el modelo ajustado y corregida por la media de los datos (suma de cuadrados de la regresión), \(SSR\), y la parte residual (suma de cuadrados debida al error) que ha quedado sin explicar, \(SSE\):
\[ \underbrace{(y-\bar{y}1)'(y-\bar{y}1)}_{S_{yy}}= \underbrace{(\hat{y}-\bar{y}1)'(\hat{y}-\bar{y}1)}_{SSR} +\underbrace{e'e}_{SSE}, \]
donde \(\bar{y}=\sum_i y_i/n\).
Los grados de libertad asociados a \(SSR\) son \(p-1\), pues se pierde un parámetro al corregir la estimación \(\hat{y}\) (obtenida a partir de \(p\) parámetros) por la media \(\bar{y}\). La suma de cuadrados del error \(SSE\) tiene asociados \(n-p\) grados de libertad, esto es, el número de datos menos el número de parámetros estimados en el modelo. Al dividir las sumas de cuadrados por sus grados de libertad respectivos, obtenemos los cuadrados medios correspondientes, \(MSR=SSR/(p-1)\) y \(MSE=SSE/(n-p)\), que nos resultan útiles para valorar la bondad del ajuste. El test de bondad de ajuste propone el contraste:
\[\begin{equation} H_0: \beta_1=\beta_2=\ldots=\beta_{p-1}=0, \qquad H_1: \mbox{ algún } \beta_i \neq 0. \end{equation}\]
Cuando el modelo es bueno, \(MSR\) y \(MSE\) siguen sendas distribuciones proporcionales a chi-cuadrados independientes (con la misma constante de proporcionalidad \(\sigma^2\)), con \(p-1\) y \(n-p\) grados de libertad respectivamente; de ahí que su cociente (libre ya de la constante desconocida \(\sigma^2\)) resulta tener una distribución \(F\) con \(p-1\) y \(n-p\) grados de libertad:
\[\begin{equation} F=\frac{SSR/(p-1)}{SSE/(n-p)}=\frac{MSR}{MSE} \ \sim \ F_{(p-1,n-p)}. \end{equation}\]
Así, con dicho estadístico \(F\) contrastamos si la variabilidad explicada por el modelo ajustado es suficientemente grande comparada con la que queda sin explicar (la de los residuos); en otras palabras, si el modelo ajustado es significativo para explicar la variabilidad de los datos. Si el p-valor asociado al estadístico F es inferior a la significatividad considerada (generalmente 0.05), rechazamos que el modelo propuesto no explique conjuntamente la respuesta, y concluimos a favor de que algunas de las covariables contienen información significativa para predecir la respuesta, esto es, a favor de la bondad del ajuste. En otro caso, no podemos garantizar significativamente la bondad del modelo propuesto.
La Tabla de Anova es la forma habitual de presentar toda la información de las sumas, medias de cuadrados, estadísticos \(F\) y p-valores asociados al contraste de bondad de ajuste del modelo. La salida de la Tabla Anova que proporciona R no es exactamente la habitual presentada en todos los libros. En dicha tabla, en lugar de contrastar globalmente el ajuste a través de la suma de cuadrados asociada a la regresión, se contrasta secuencialmente la significatividad de cada una de las covariables a la hora de explicar la variable respuesta en presencia de las variables que ya han sido incorporadas al modelo (las que quedan por encima en la salida). Sin embargo, con dicha salida es posible calcular el test F de bondad de ajuste.
Utilizaremos diferentes funciones para obtener el estadístico F y el p-valor asociado, y las funciones anova() para obtener la descomposición de la tabla ANOVA.
El coeficiente de determinación, \(R^2\), se define como la parte proporcional de la variabilidad de los datos que es explicada por el modelo ajustado:
\[\begin{equation} R^2 = \frac{SSR}{S_{yy}} = 1 - \frac{SSE}{S_{yy}} \end{equation}\]
Por definición tenemos que \(0 \leq R^2 \leq 1\). Un ajuste perfecto de los datos produciría \(R^2=1\). Si ninguna de las variables predictoras \(X_1,\ldots,X_{p-1}\) es útil para explicar la respuesta \(Y\), entonces \(R^2=0\).
Siempre es posible conseguir \(R^2\) suficientemente grande, simplemente añadiendo más términos en el modelo. Por ejemplo, si hay más de un valor de \(y\) para un mismo \(x\) observado, un polinomio de grado \(n-1\) proporcionará un ajuste “perfecto” (\(R^2=1\)) para \(n\) datos. Cuando esto no ocurre y hay únicamente un valor de \(y\) por cada \(x\), \(R^2\) nunca puede ser igual a 1 porque el modelo no puede explicar la variabilidad debida al error puro.
Aunque \(R^2\) siempre aumenta cuando añadimos una variable explicativa al modelo, esto no significa necesariamente que el nuevo modelo sea superior al antiguo, es decir, que dicha variable sea útil para explicar mejor los datos. A pesar de que la suma de cuadrados residual \(SSE\) del nuevo modelo se reduce por una cantidad igual al anterior \(MSE\), el nuevo modelo tendrá un \(MSE\) mayor debido a que pierde un grado de libertad. Por lo tanto, el nuevo modelo será de hecho, peor que el antiguo.
En consecuencia, algunos analistas prefieren utilizar una versión ajustada del estadístico \(R^2\). El \(R^2\) ajustado penaliza los modelos que incorporan variables innecesarias dividiendo las sumas de cuadrados por sus grados de libertad, esto es,
\[\begin{equation} R^2_a=1-\frac{SSE/(n-p)}{S_{yy}/(n-1)}=1-(1-R^2)\left(\frac{n-1}{n-p}\right). (\#eq:RLMR2a) \end{equation}\]
\(R^2_a\) es preferible a \(R^2\) cuando sus valores difieren mucho. Su interpretación tiene algún problema debido a que puede tomar valores negativos; esto ocurre cuando el estadístico \(F\) toma valores inferiores a 1 (o produce p-valores mayores que 0.05).
Analizamos los diferentes ejemplos con los que venimos trabajando a lo largo de la unidad.
Bondad de ajuste para los datos bosque.
## # A tibble: 1 x 11
## r.squared adj.r.squared sigma statistic p.value df logLik AIC BIC
## <dbl> <dbl> <dbl> <dbl> <dbl> <int> <dbl> <dbl> <dbl>
## 1 0.959 0.951 3.10 125. 2.59e-11 4 -48.7 107. 112.
## # … with 2 more variables: deviance <dbl>, df.residual <int>
## Analysis of Variance Table
##
## Response: vol
## Df Sum Sq Mean Sq F value Pr(>F)
## dbh 1 3085.79 3085.79 322.064 5.051e-12 ***
## d16 1 331.85 331.85 34.635 2.303e-05 ***
## ht 1 173.42 173.42 18.100 0.0006056 ***
## Residuals 16 153.30 9.58
## ---
## Signif. codes: 0 '***' 0.001 '**' 0.01 '*' 0.05 '.' 0.1 ' ' 1
Tanto el \(R^2\) como el \(R^2\) ajustado muestran porcentajes del 95% indicando que el modelo ajustado tiene buena capacidad explicativa. Además, el test \(F\) de la regresión resulta significativo (p-valor < 0.05) indicando que las predictoras consideradas pueden ser utilizadas para describir el comportamiento del volumen. Los tests individuales de la tabla ANOVA
Bondad de ajuste para los datos de concentración
## # A tibble: 1 x 11
## r.squared adj.r.squared sigma statistic p.value df logLik AIC BIC
## <dbl> <dbl> <dbl> <dbl> <dbl> <int> <dbl> <dbl> <dbl>
## 1 0.364 0.237 0.0773 2.86 0.0720 4 23.9 -37.9 -33.1
## # … with 2 more variables: deviance <dbl>, df.residual <int>
## Analysis of Variance Table
##
## Response: concen
## Df Sum Sq Mean Sq F value Pr(>F)
## p.cuerpo 1 0.003216 0.003216 0.5383 0.47446
## p.higado 1 0.003067 0.003067 0.5134 0.48467
## dosis 1 0.044982 0.044982 7.5296 0.01507 *
## Residuals 15 0.089609 0.005974
## ---
## Signif. codes: 0 '***' 0.001 '**' 0.01 '*' 0.05 '.' 0.1 ' ' 1
El \(R^2\) y el \(R^2\) ajustado muestran valores bastante bajos indicando poco poder explicativo. Además, el p-valor del test \(F\) resulta no significativo indicando que todos los coeficientes del modelo podrían ser considerados iguales a cero. Esto contradice lo visto durante el proceso de estimación de los parámetros del modelo y la tabla ANOVA obtenida donde se aprecia que el efecto asociado con dosis resulta significativo. Este comportamiento puede ser debido al considerar más predictoras de las necesarias o simplemente a que las predictoras no son adecuadas para explicar el comportamiento de la concentración. En el punto siguiente, donde se tratará la selección del mejor modelo, analizaremos este modelo con más detalle y podremos concluir sobre la validez de las predcitoras.
Bondad de ajuste para los datos de papel
## # A tibble: 1 x 11
## r.squared adj.r.squared sigma statistic p.value df logLik AIC BIC
## <dbl> <dbl> <dbl> <dbl> <dbl> <int> <dbl> <dbl> <dbl>
## 1 0.909 0.897 4.42 79.4 4.91e-9 3 -53.6 115. 119.
## # … with 2 more variables: deviance <dbl>, df.residual <int>
## Analysis of Variance Table
##
## Response: tension
## Df Sum Sq Mean Sq F value Pr(>F)
## madera 1 1043.43 1043.43 53.40 1.758e-06 ***
## I(madera^2) 1 2060.82 2060.82 105.47 1.894e-08 ***
## Residuals 16 312.64 19.54
## ---
## Signif. codes: 0 '***' 0.001 '**' 0.01 '*' 0.05 '.' 0.1 ' ' 1
En términos de \(R^2\) y \(R^2\) ajustado el modelo tiene buena capacidad explicativa (porcentajes del 90%) y el test \(F\) resulta significativo, indicando que alguno de los coeficientes del modelo debe ser considerado distinto de cero. Dado que se trata de un modelo polinómico nos debemos fijar de la significatividad del término de mayor orden en la tabla ANOVA. En este caso dicho efecto resulta significativo indicando que el modelo propuesto de grado 2 es necesario para explicar el comportamiento de la tensión del papel.
La modelización de datos es siempre una faena tediosa debido a la innumerable cantidad de alternativas posibles. Está por determinar el tipo de modelo, las transformaciones más adecuadas, identificar las variables más relevantes, descartar las innecesarias, y posteriormente abordar la diagnosis y validación del modelo, que trataremos en las secciones siguientes. Si el modelo está mal especificado, las estimaciones de los coeficientes pueden resultar considerablemente sesgadas. Una buena especificación del modelo es un trabajo, en general, complicado de obtener.
Si se ha optado por la modelización lineal de una respuesta en función de una serie de posibles variables predictoras, y el objetivo es seleccionar el mejor subconjunto de predictores para explicar la respuesta, el planteamiento es siempre el de obtener “buenas” predicciones. Sin embargo, sabemos que cuantos más predictores incluyamos en el modelo, mejores predicciones tendremos (menos sesgo), pero a la vez menos precisión sobre ellas (ya que la varianza es proporcional al número de variables predictoras en el modelo). Para la selección del “mejor” modelo habremos de llegar a un compromiso entre estos dos propósitos. Tratamos pues la selección de variables como un problema de comparación y selección de modelos.
Vamos a presentar diversos criterios para comparar modelos y seleccionar el mejor modelo de entre dos alternativas. En ocasiones todos darían los mismos resultados, pero generalmente no, por lo que habrá de ser el analista el que decida qué criterio utilizar en función de sus intereses prioritarios. La selección del modelo se puede realizar con múltiples criterios pero aquí presentamos los más habituales basados en:
Una vez seleccionado el “mejor” modelo según el criterio elegido, habremos de proseguir la confirmación del mismo realizando la diagnosis y la validación del modelo, que puede fallar en algún paso, lo que nos conduciría de nuevo a la reformulación del modelo (y todos los pasos que le siguen), optando por aquellas correcciones y/o transformaciones de variables sugeridas en el diagnóstico. La consecución del mejor modelo será pues, un procedimiento iterativo, basado en selección y valoración de la calidad del ajuste, diagnóstico y validación. En muchas situaciones prácticas nos conformaremos con encontrar el modelo que tenga un funcionamiento más adecuado aunque no sea prefecto.
Este procedimiento se basa en la comparación de modelos basada en las sumas de cuadrados y el test \(F\) resultante de compararlas.
Supongamos que tenemos ajustado un modelo definido por \(p\) coeficientes. Si queremos valorar la contribución que hacen al ajuste de los datos un subconjunto de \(q\) variables predictoras adicionales, debemos plantear el contraste
\[\begin{equation} H_0: y=X_p \beta_p + \epsilon, \ \ vs. \ \ H_1:y=X_{p+q} \beta_{p+q} + \epsilon. \end{equation}\]
Para resolver el contraste anterior se utiliza una versión del test \(F\) de regresión de la tabla ANOVA. Para resolverlo basta con ajustar los modelos con \(p\) y \(p+q\) predictoras, para obtener las sumas de cuadrados del error respectivas, \(SSE(p)\) y \(SSE(p+q)\). Su diferencia representa la reducción del error debida a la inclusión de los \(q\) regresores adicionales, y bajo \(H_0\) tienen una distribución chi-cuadrado, independiente de \(SSE(p)\). Se puede definir entonces un estadístico \(F\) para realizar la comparación de modelos y resolver el contraste parcial, dado por:
\[\begin{equation} F_q=\frac{(SSE(p)-SSE(p+q))/q}{SSE(p)/(n-p)} \sim F_{q,n-p}. \end{equation}\]
Las \(q\) variables adicionales se consideran relevantes (significativas) en la explicación de la respuesta, si \(F_q\) tiene asociado un p-valor significativo. Un criterio para seleccionar el mejor modelo es quedarse con aquel menos complejo (en términos de predictoras presentes en el modelo) y que pueda considerarse con la misma capacidad predictiva (test \(F\) parcial no significativo) que cualquier otro más complejo.
El criterio de información de Akaike (Akaike, 1973) está basado en la función de verosimilitud e incluye una penalización que aumenta con el número de parámetros estimados en el modelo. Premia pues, los modelos que dan un buen ajuste en términos de verosimilitud y a la vez son parsimoniosos (tienen pocos parámetros).
Si \(\hat{\beta}\) es el estimador máximo-verosímil del modelo de dimensión \(p\), y \(l(\theta)\) denota el logaritmo (neperiano) de la verosimilitud asociada con dicho modelo, el estadístico \(AIC\) se define por:
\[\begin{equation} AIC=-2\,l(\hat{\beta})+2p. \end{equation}\]
Una versión del \(AIC\) que tiene en cuenta también el número de datos utilizados en el ajuste, es el Schwarz’s Bayesian criterion (Schwarz, 1978), conocido como \(BIC\), y definido por:
\[\begin{equation} BIC=-2\,l(\hat{\beta})+log(n)\,p. \end{equation}\]
Si queremos comparar dos modelos con estos criterios, se debe seleccionar el modelo con un menor valor en estos estadísticos.
Los criterios anteriores resultan de utilidad cunado queremos comparar dos modelos diferentes (“modelos en competencia”), pero pueden resultar poco prácticos si el número de modelos en competencia es muy elevado, es decir, tenemos muchas posibles variables predictoras. Por ese motivo se introducen los conocidos como procedimientos secuenciales que permiten la evaluación de muchos modelos en competencia en muy poco tiempo, utilizando cualquiera de los criterios anteriores.
La idea básica es partir de un modelo con cierto número de regresores, y secuencialmente moverse hacia modelos mejores (según el criterio elegido) con más o menos regresores de entre todos los observados. Una vez elegido el criterio para la selección, distinguimos básicamente entre los siguientes procedimientos secuenciales, en función de cuál es el punto (modelo) de partida y la forma de ir considerando modelos alternativos:
Hay que tener en cuenta que dependiendo del tipo de modelo deberemos utilizar un tipo de procedimiento u otro. En el caso de los MRP no podemos utilizar el procedimiento hacia adelante, ya que se parte siempre del modelo con un mayor grado y se trata de identificar si dicho grado puede ser eliminado, dado que siempre tratamos de obtener el modelo más parsimonioso. En el caso de los modelos RLM no hay una preferencia con respecto al procedimiento secuencial.
Los procedimientos hacia adelante y hacia atrás los hemos de llevar a cabo en R de forma manual y generalmente se utiliza el test F asociado a cada paso para resolver si una variable o efecto debe entrar o salir del modelo. Para ello utilizaremos las funciones drop1() y add1(). El procedimiento paso a paso es automático y se realiza con la función step().
En la librería olsrr dedicada exclusivamente al análisis de modelos de regresión (simple, múltiple y polinómica) se presentan diferentes funciones para los procesos de selección automática de variables utilizando el test \(F\) parcial y el criterio AIC. Presentamos sólo aquellas funciones que utilizan como punto de partida el modelo saturado. Dichas funciones son:
ols_step_backward_p(model): selección desde el modelo saturado mediante el test \(F\). Fijamos el parámetro prem igual a 0.05 para marcar el nivel de significatividad del contraste.ols_step_backward_aic(model): selección desde el modelo saturado mediante AIC.Aunque estas funciones pueden mostrar todo el desarrollo de selección (al igual que la función step()), la ventaja principal es que puede mostrar un resumen del proceso final para estudiar el modelo final obtenido. En los ejemplos mostraremos el uso de estas funciones.
A continuación, se muestra como utilizar los criterios de selección de variables y los procedimientos secuenciales de selección en los bancos de datos que venimos trabajando en esta unidad.
Veamos como seleccionar el mejor modelo para los datos de bosque. En puntos anteriores ya hemos obtenido el modelo saturado y pudimos ver como la variable dbh parecía no resultar relevante para explicar el comportamiento del volumen obtenido. Proponemos un nuevo modelo sin dicha variable y comparamos ambos modelos utilizando los criterios de comparación.
Para la comparación de modelos anidados siempre deberemos empezar desde el modelo más sencillo al más complejo.
Los modelos que deseamos comparar son: \[\begin{array}{ll} M_2: & vol \sim d16 + ht\\ M_1: & vol \sim dbh + d16 + ht \end{array}\]
# Modelo saturado
M1 <- lm(vol ~ dbh + d16 + ht, data = bosque)
# Construimos modelo sin dbh
M2 <- lm(vol ~ d16 + ht, data = bosque)
# Comparación mediante test F
anova(M2, M1)## Analysis of Variance Table
##
## Model 1: vol ~ d16 + ht
## Model 2: vol ~ dbh + d16 + ht
## Res.Df RSS Df Sum of Sq F Pr(>F)
## 1 17 177.36
## 2 16 153.30 1 24.06 2.5111 0.1326
El test \(F\) parcial resulta no significativo (p-valor = 0.1326) al comparar los modelos \(M_1\) y \(M_2\), lo que implica que ambos modelos pueden ser considerados iguales. Comparamos el proceso inferencial en cada modelo, dado que al considerar el modelo más simple estamos admitiendo que dbh no es relevante para explicar el comportamiento del volumen.
| vol | vol | |||
|---|---|---|---|---|
| Predictors | Estimates | p | Estimates | p |
| (Intercept) | -108.58 | <0.001 | -105.90 | <0.001 |
| dbh | 1.63 | 0.133 | ||
| d16 | 5.67 | <0.001 | 7.41 | <0.001 |
| ht | 0.69 | 0.001 | 0.68 | 0.001 |
| Observations | 20 | 20 | ||
| R2 / R2 adjusted | 0.959 / 0.951 | 0.953 / 0.947 | ||
Se puede ver que el \(R^2\) ajustado para ambos modelos es prácticamente idéntico reflejando que poseen la misma capacidad explicativa. Los modelos obtenidos muestran estimaciones de los coeficientes muy parecidos para ambos modelos. Eliminar la variable dbh no afecta a la capacidad explicativa del modelo, y no altera la contribución de cada predictora a la explicación de la respuesta. El modelo resultante viene dado por: \[
\widehat{\text{vol}} = -105.90 + 7.41*\text{d16} + 0.68*\text{ht}
\]
Utilzamos ahora los criterios \(AIC\) y \(BIC\) para comparar ambos modelos:
| r.squared | adj.r.squared | sigma | statistic | p.value | df | logLik | AIC | BIC | deviance | df.residual |
|---|---|---|---|---|---|---|---|---|---|---|
| 0.96 | 0.95 | 3.10 | 124.93 | 0 | 4 | -48.75 | 107.49 | 112.47 | 153.30 | 16 |
| 0.95 | 0.95 | 3.23 | 170.95 | 0 | 3 | -50.20 | 108.41 | 112.39 | 177.36 | 17 |
Si utilizamos el \(AIC\) podemos concluir que el modelo preferido es \(M_2\) dado que obtenemos un valor más pequeño, mientras que si usamos el \(BIC\) el preferido es \(M1\). Sin embargo, dado que en ambos casos las diferencias entre ambos modelos son excesivamente pequeñas concluir que uno es mejor que otro resulta complicado y utilizamos el criterio de simplicidad. Ante modelos parecidos elegimos el menos complejo que en este caso sería el que tiene menos predictoras (modelo \(M2\)).
Por último, veremos como utilizar el procedimiento secuencial automático por pasos para obtener el mejor modelo para este conjunto de datos. En este caso partimos del modelo saturado.
## Start: AIC=48.73
## vol ~ dbh + d16 + ht
##
## Df Sum of Sq RSS AIC
## <none> 153.30 48.733
## - dbh 1 24.06 177.36 49.649
## - ht 1 173.42 326.72 61.867
## - d16 1 213.21 366.51 64.166
##
## Call:
## lm(formula = vol ~ dbh + d16 + ht, data = bosque)
##
## Coefficients:
## (Intercept) dbh d16 ht
## -108.5758 1.6258 5.6714 0.6938
El proceso de selección comienza a partir del moldeo saturado y determina para cada predictora cual sería el cambio en el \(AIC\) (columna AIC) si dicha variable fuera eliminada del modelo. El modelo saturado tiene un \(AIC\) de 48.733 (fila <none>), mientras que el modelo donde se elimina la variable dbh (fila - dbh) tiene un \(AIC\) de 49.649. Atendiendo al criterio establecido de quedarnos con el modelo con un menor \(AIC\) el modelo preferido sería el saturado. Esto contradice los resultados obtenidos con el test \(F\) parcial pero es posible cuando tenemos pocos datos o los valores de \(AIC\) están muy próximos.
Repetimos el análisis de selección automática con las funciones de la libreria olsrr.
##
##
## Elimination Summary
## ------------------------------------------------------------------------
## Variable Adj.
## Step Removed R-Square R-Square C(p) AIC RMSE
## ------------------------------------------------------------------------
## 1 dbh 0.9526 0.9471 4.5111 108.4066 3.2300
## ------------------------------------------------------------------------
## [1] "No variables have been removed from the model."
Como se puede ver la solución es la misma que la obtenida con la función step()pero la forma de mostrar los resultados es mucho más simple.
En casos con muchas posibles predictoras puede resultar más útil compara solo los mejores modelos que podríamos obtener con todas las posibles combinaciones de predictoras. Para realizar esta tarea podemos utilizar la función ols_step_best_subset(). Veamos su funcionamiento con este ejemplo a pesar de que el número de predictoras es pequeño, y el número de posibles modelos es reducido.
## Best Subsets Regression
## -------------------------
## Model Index Predictors
## -------------------------
## 1 d16
## 2 d16 ht
## 3 dbh d16 ht
## -------------------------
##
## Subsets Regression Summary
## ----------------------------------------------------------------------------------------------------------------------------------
## Adj. Pred
## Model R-Square R-Square R-Square C(p) AIC SBIC SBC MSEP FPE HSP APC
## ----------------------------------------------------------------------------------------------------------------------------------
## 1 0.9084 0.9033 0.8839 19.8001 119.5982 60.6857 122.5854 381.3477 20.9618 1.1210 0.1120
## 2 0.9526 0.9471 0.933 4.5111 108.4066 52.1187 112.3895 209.5068 11.9979 0.6521 0.0641
## 3 0.9591 0.9514 0.9242 4.0000 107.4909 52.6084 112.4696 193.1589 11.4976 0.6388 0.0614
## ----------------------------------------------------------------------------------------------------------------------------------
## AIC: Akaike Information Criteria
## SBIC: Sawa's Bayesian Information Criteria
## SBC: Schwarz Bayesian Criteria
## MSEP: Estimated error of prediction, assuming multivariate normality
## FPE: Final Prediction Error
## HSP: Hocking's Sp
## APC: Amemiya Prediction Criteria
Se presentan diferentes criterios para valorar el mejor modelo de entre todas las combinaciones posibles. En este caso el analista debe decidir cual de los propuestos es más adecuado. El único criterio que no se encuentra disponible es el test \(F\) parcial.
Dado que la capacidad explicativa los dos modelos propuestos es muy similar será preferible el menos complejo. En la fase de diagnóstico ya comprobaremos si ese modelo más simple debe ser modificado o si por el contrario es adecuado para proceder con la fase de predicción.
Almacenamos el nuevo modelo:
Veamos como seleccionar el mejor modelo para los datos de concentración. En puntos anteriores ya hemos podido ver que el peso del hígado resultaba poco relevante, con lo que podríamos plantear un contraste para saber si podemos prescindir de dicha variable. Sin embargo, la forma habitual de proceder sería utilizar en primer lugar un procedimiento automático para seleccionar las predictoras y chequear posteriormente mediante un test \(F\) parcial si el modelo obtenido posee la misma capacidad explicativa que el modelo saturado.
Planteamos el proceso secuencial:
## Start: AIC=-93.78
## concen ~ p.cuerpo + p.higado + dosis
##
## Df Sum of Sq RSS AIC
## - p.higado 1 0.004120 0.093729 -94.924
## <none> 0.089609 -93.778
## - p.cuerpo 1 0.042408 0.132017 -88.416
## - dosis 1 0.044982 0.134591 -88.049
##
## Step: AIC=-94.92
## concen ~ p.cuerpo + dosis
##
## Df Sum of Sq RSS AIC
## <none> 0.093729 -94.924
## - p.cuerpo 1 0.039851 0.133580 -90.192
## - dosis 1 0.043929 0.137658 -89.621
##
## Call:
## lm(formula = concen ~ p.cuerpo + dosis, data = concentracion)
##
## Coefficients:
## (Intercept) p.cuerpo dosis
## 0.28552 -0.02044 4.12533
En la primera iteración el \(AIC\) del modelo saturado es igual a -93.78 mientras que el del modelo que prescinde de p.higado es de -94.92. Por tanto, dicha variable se elimina del modelo que pasa a tener un \(AIC\) de -94.92. En la segunda iteración la variable candidata a salir es p.cuerpo, pero su \(AIC\) asociado es superior al del modelo actual y no se descarta.
Verificamos mediante el test \(F\) parcial:
# Modelo saturado
M1 <- lm(concen ~ p.higado + p.cuerpo + dosis, data = concentracion)
# Construimos modelo sin dbh
M2 <- lm(concen ~ p.cuerpo + dosis, data = concentracion)
# Comparación mediante test F
anova(M2, M1)## Analysis of Variance Table
##
## Model 1: concen ~ p.cuerpo + dosis
## Model 2: concen ~ p.higado + p.cuerpo + dosis
## Res.Df RSS Df Sum of Sq F Pr(>F)
## 1 16 0.093729
## 2 15 0.089609 1 0.00412 0.6897 0.4193
EL test \(F\) resulta no significativo indicando que el modelo más simple tiene la misma capacidad explicativa que el más complejo. Estudiamos dicho modelo comparándolo con el saturado.
| concen | concen | |||
|---|---|---|---|---|
| Predictors | Estimates | p | Estimates | p |
| (Intercept) | 0.27 | 0.192 | 0.29 | 0.155 |
| p.higado | 0.01 | 0.419 | ||
| p.cuerpo | -0.02 | 0.018 | -0.02 | 0.019 |
| dosis | 4.18 | 0.015 | 4.13 | 0.015 |
| Observations | 19 | 19 | ||
| R2 / R2 adjusted | 0.364 / 0.237 | 0.335 / 0.251 | ||
Podemos ver coo el \(R^2\) ajustado mejora al eliminar p.higado y los coeficientes son prácticamente idénticos:
\[ \widehat{\text{concen}} = 0.29 - 0.02*\text{p.cuerpo} + 4.13*\text{dosis} \]
Utilizamos ahora las funciones específicas:
##
##
## Elimination Summary
## ------------------------------------------------------------------------
## Variable Adj.
## Step Removed R-Square R-Square C(p) AIC RMSE
## ------------------------------------------------------------------------
## 1 p.higado 0.3347 0.2515 2.6897 -39.0043 0.0765
## ------------------------------------------------------------------------
##
##
## Backward Elimination Summary
## ----------------------------------------------------------------
## Variable AIC RSS Sum Sq R-Sq Adj. R-Sq
## ----------------------------------------------------------------
## Full Model -37.858 0.090 0.051 0.36390 0.23668
## p.higado -39.004 0.094 0.047 0.33466 0.25149
## ----------------------------------------------------------------
Almacenamos el modelo resultante para la fase de diagnóstico:
Para el bando de datos de Papel se ha propuesto como modelo uno del tipo polinómico de grado 2. El proceso de selección en este caso se basa en comparar el modelo cuadrático frente al lineal para saber si es posible prescindir del grado 2, o si por el contrario es necesario para explicar la tensión del papel.
Los modelos que deseamos comparar son: \[\begin{array}{ll} M_2: & tension \sim madera\\ M_1: & tension \sim madera + I(madera^2) \end{array}\]
# Modelo saturado
M1 <- lm(tension ~ madera + I(madera^2), data = papel)
# Construimos modelo sin dbh
M2 <- lm(tension ~ madera, data = papel)
# Comparación mediante test F
anova(M2, M1)## Analysis of Variance Table
##
## Model 1: tension ~ madera
## Model 2: tension ~ madera + I(madera^2)
## Res.Df RSS Df Sum of Sq F Pr(>F)
## 1 17 2373.46
## 2 16 312.64 1 2060.8 105.47 1.894e-08 ***
## ---
## Signif. codes: 0 '***' 0.001 '**' 0.01 '*' 0.05 '.' 0.1 ' ' 1
El test \(F\) parcial resulta significativo indicando que los modelos considerados tienen capacidades explicativas estadísticamente distintas. No podemos rechazar el modelo cuadrático frente al modelo lineal. Veamos la tabla de estimación de ambos modelos:
| tension | tension | |||
|---|---|---|---|---|
| Predictors | Estimates | p | Estimates | p |
| (Intercept) | -6.67 | 0.067 | 21.32 | 0.001 |
| madera | 11.76 | <0.001 | 1.77 | 0.014 |
| madera^2 | -0.63 | <0.001 | ||
| Observations | 19 | 19 | ||
| R2 / R2 adjusted | 0.909 / 0.897 | 0.305 / 0.265 | ||
El \(R^2\) ajustado pasa del 26.5% en el modelo lineal al 89.7% en el modelo cuadrático indicando una gran mejora en la capacidad explicativa, y por tanto eligiendo este último como el modelo que debe pasar a la fase de diagnóstico.
Utilizamos las funciones resumen Utilizamos ahora las funciones específicas:
## [1] "No variables have been removed from the model."
## [1] "No variables have been removed from the model."
La multicolinealidad es un problema relativamente frecuente en regresión lineal múltiple, y en general en análisis con varias variables explicativas, entre cuyas soluciones se halla la selección de variables. Cuando los regresores no están relacionados linealmente entre sí, se dice que son ortogonales. Que exista multicolinealidad significa que las columnas de \(X\) no son linealmente independientes. Si existiera una dependencia lineal total entre algunas de las columnas, tendríamos que el rango de la matriz \(X'X\) sería menor a \(p\) y \((X'X)^{-1}\) no existiría. El hecho de que haya multicolinealidad, esto es, una relación casi lineal entre algunos regresores, afecta a la estimación e interpretación de los coeficientes del modelo.
La multicolinealidad no es un problema de violación de hipótesis; simplemente es una situación que puede ocasionar problemas en las inferencias con el modelo de regresión. Nos ocupamos a continuación de examinar las causas de la multicolinealidad, algunos de los efectos que tiene en las inferencias, los métodos básicos para detectar el problema y algunas formas de tratarlo.
Montgomery y Peck (1992) comentan que la colinealidad puede surgir por el método de recogida de datos, restricciones en el modelo o en la población, especificación y sobreformulación del modelo (consideración de más variables de las necesarias); en modelos polinómicos, por ejemplo, se pueden presentar problemas serios de multicolinealidad en la matriz de diseño \(X\) cuando el rango de variación de los predictores es muy pequeño. Obviamente, modelos con más covariables son más propicios a padecer problemas de multicolinealidad.
Los principales efectos de la multicolinealidad son los siguientes:
Existen diversos diagnósticos propuestos para detectar problemas de multicolinealidad. Consideramos los más relevantes, que son:
\[ C_{jj}^X=\frac{1}{(1-R_j^2) \, S_{x_j x_j}}, \ \ j=1,2,\ldots,p, \]
con \(R_j^2\) el coeficiente de determinación múltiple para la regresión de \(x_j\) sobre las restantes \(p-1\) covariables. Si hay una correlación muy alta entre \(x_j\) y los restantes regresores, entonces \(R_j^2 \approx 1\). En particular, puesto que \(s^2\) no varía ante un problema de multicolinealidad, si ésta existe, la varianza de \(\hat{\beta}_j\) aumenta por un factor igual a \(1/(1-R_j^2)\), que se define como el FIV para \(x_j\):
\[ FIV_j=1/(1-R_j^2). \]
Generalmente, valores de un FIV superiores a 10 dan indicios de un problema de multicolinealidad, si bien su magnitud depende del modelo ajustado. Lo ideal es compararlo con su equivalente en el modelo ajustado, esto es, \(1/(1-R^2)\), donde \(R^2\) es el coeficiente de determinación del modelo. Los valores FIV mayores que esta cantidad implican que la relación entre las variables independientes es mayor que la que existe entre la respuesta y los predictores, y por tanto dan indicios de multicolinealidad.
Dado que la multicolinealidad afecta a la singularidad (rango menor que \(p\)) de la matriz \(X'X\), sus valores propios \(\lambda_1,\lambda_2,\ldots,\lambda_p\) pueden revelar multicolinealidad en los datos. De hecho, si hay una o más dependencias casi lineales en los datos, entonces uno o más de los valores propios será pequeño.
En lugar de buscar valores propios pequeños, se puede optar por calcular el número de condición de \(X'X\), definido por:
\[ \kappa = \lambda_{max}/\lambda_{min}, \]
que es una medida de dispersión en el espectro de valores propios de \(X'X\). Generalmente, si el número de condición es menor que 100, no hay problemas de multicolinealidad. Números de condición entre 100 y 1000 implican multicolinealidad moderada, y mayores que 1000 implican multicolinealidad severa.
\[ \kappa_j = \lambda_{max}/\lambda_j, \ \ \ j=1,\ldots,p. \]
El número de índices de condición que son grandes (por ejemplo, \(\geq 1000\)) es una medida útil del número de dependencias casi lineales en \(X'X\).
Una vez detectado un problema de multicolinealidad, es recomendable intentar aliviarlo (por sus efectos). Para ello disponemos de diversos recursos, y en función del objetivo del análisis, será más aconsejable uno u otro. Básicamente podemos distinguir como objetivos esenciales:
Hay tres aproximaciones básicas como remedio a la multicolinealidad:
Selección de variables (ver Sección XX). Respecto a la selección de variables, lo ideal ante un problema de multicolinealidad es seleccionar aquellas variables predictoras que son más significativas y contienen la mayor parte de la información sobre la respuesta. Sin embargo, hay que actuar con precaución, pues los métodos automáticos de selección de variables son bastante sensibles cuando existe relación entre los regresores y no está garantizado que el modelo resultante tenga menor multicolinealidad. Por otro lado, la capacidad predictiva del modelo puede verse seriamente menguada al reducir el número de covariables consideradas, de modo que este remedio iría más indicado cuando el objetivo del análisis es el 2.
Redefinición de variables. Otra alternativa es transformar las covariables. Para ello es importante identificar entre qué covariables hay relación, con el fin de utilizar transformaciones apropiadas. Si varias variables están relacionadas linealmente, a veces funciona considerar la más completa de ellas tal y como es, y transformaciones de las otras con cocientes o diferencias respecto de la más completa. Es decir, si \(x_i\) y \(x_j\) están relacionadas y \(x_i\) da una información más completa que \(x_j\), se puede considerar un nuevo ajuste que involucre a las variables \(x_i\) y \(x_j/x_i\), o bien a \(x_i\) y \(x_j-x_i\). Cuando la intuición o el conocimiento de las variables no sugiere ninguna transformación concreta, una opción es llevar a cabo un análisis de componentes principales con el fin de obtener nuevas variables, expresables como combinación lineal de las originales, ortogonales entre sí y que contengan toda la información disponible en las primeras. En ocasiones, las componentes que resultan tienen un significado intuitivo por la forma de asimilar la información de las variables originales, y en ocasiones no, en cuyo caso se puede proceder a la realización de un análisis factorial y a la búsqueda de alguna rotación geométrica que permita llegar a variables “interpretables”. Una vez obtenidas las componentes \(Z\), se pueden seguir dos alternativas: i) plantear una regresión de la respuesta explicada por todas las componentes principales obtenidas, o ii) ajustar un modelo de regresión sólo con las componentes más relevantes como variables predictoras (componentes principales incompletas). En el primer caso, a partir del modelo ajustado \(y=Z\gamma+\epsilon\), es posible recuperar el efecto de las variables originales sobre la respuesta sin más que deshacer el cambio. Esto no es posible para la segunda alternativa, pues las estimaciones que se consiguen están sesgadas; sin embargo, esta opción reduce la varianza de las estimaciones respecto del modelo original.
Estimación sesgada. Si uno de los efectos de la multicolinealidad es que aumenta el error estándar de las estimaciones por mínimos cuadrados de los coeficientes del modelo, cabe la posibilidad de utilizar estimadores que, aun sesgados, produzcan estimaciones con menor error estándar y un error cuadrático medio inferior al de los estimadores de mínimos cuadrados (que son, de los insesgados, los de mínima varianza).
Hay varios procedimientos de estimación sesgada. Las componentes principales incompletas es uno de ellos. La regresión Ridge es otro método interesante. La regresión Ridge consiste en utilizar como estimador de \(\beta\), el siguiente:
\[ \hat{\beta}_k=(X'X+kI)^{-1} X'y, \]
donde \(k\) es una constante pequeña arbitraria.
Cuando todos los predictores están estandarizados, tenemos que \(X'X\) es la matriz de correlaciones, con unos en la diagonal. Así, la correlación “efectiva” que se consigue ahora entre \(x_i\) y \(x_j\) es \(r_{ij}/(1+k)\). Es decir, todas las correlaciones se reducen artificialmente en un factor \(1/(1+k)\), reduciendo entonces la multicolinealidad. Valores grandes de \(k\) reducen la multicolinealidad pero, como contraprestación, aumentan el sesgo de las estimaciones. Para determinar el valor de \(k\) a utilizar, se suelen considerar gráficos en los que se representa \(k\) versus las estimaciones del modelo (ridge plots). Para valores pequeños de \(k\), las estimaciones de los coeficientes cambian mucho, mientras que a medida que \(k\) aumenta, las estimaciones parecen estabilizarse. Se dice que se consigue un valor óptimo para \(k\) cuando se da dicha estabilización en las estimaciones. Este procedimiento resulta pues, algo subjetivo, pero sin embargo ha resultado efectivo en la práctica.
Hay otros procedimientos sesgados de estimación propuestos en la literatura que alivian el problema de la multicolinealidad.
A continuación, realizamos el estudio de multicolinealidad para los diferentes bancos de datos que hemos venido trabajando. Para el calculo de los factores de inflacción de la varianza y los números de condición utilizamos la función ols_coll_diag() de la librería olsrr. Con ella obtenemos el VIF asociado con cada variable, el índice de condición asociado con cada valor propio, y la matriz de correlaciones asociada al modelo ajustado.
En caso de detectar multicolinealidad trataremos de corregirla con los procedimientos presentados.
Para el análisis de multicolinealidad tomamos el modelo obtenido después del proceso de selección de variables de la sección anterior.
# Modelos
fit.bosque<- lm(vol ~ d16 + ht, data = bosque)
# Análisis de multicolinealidad
ols_coll_diag(fit.bosque)## Tolerance and Variance Inflation Factor
## ---------------------------------------
## Variables Tolerance VIF
## 1 d16 0.813726 1.228915
## 2 ht 0.813726 1.228915
##
##
## Eigenvalue and Condition Index
## ------------------------------
## Eigenvalue Condition Index intercept d16 ht
## 1 2.991530311 1.00000 0.000270918 0.001143249 0.0002206333
## 2 0.007330472 20.20137 0.077611612 0.924370594 0.0288009800
## 3 0.001139217 51.24405 0.922117470 0.074486157 0.9709783867
Del análisis realizado no parece detectarse multicolinealidad a través de \(VIF\), ni a través de los índices de condición. El valor de \(1/(1-R^2)\) para dicho modelo es 21.28 que es superior a los valore de \(VIF\) observados. Por tanto, no parece haber un problema de multicolinealidad con el modelo obtenido.
En este caso analizamos el modelo saturado en primer lugar.
# Modelos
fit.concen<- lm(concen ~ p.cuerpo + p.higado + dosis, data = concentracion)
# Análisis de multicolinealidad
ols_coll_diag(fit.concen)## Tolerance and Variance Inflation Factor
## ---------------------------------------
## Variables Tolerance VIF
## 1 p.cuerpo 0.01919315 52.101917
## 2 p.higado 0.74868308 1.335679
## 3 dosis 0.01944498 51.427154
##
##
## Eigenvalue and Condition Index
## ------------------------------
## Eigenvalue Condition Index intercept p.cuerpo p.higado
## 1 3.980955e+00 1.00000 0.0005211255 1.049346e-05 0.001061756
## 2 1.307262e-02 17.45068 0.0912614776 7.180392e-04 0.963765107
## 3 5.885352e-03 26.00803 0.8549633200 4.879743e-03 0.028213823
## 4 8.720917e-05 213.65475 0.0532540769 9.943917e-01 0.006959314
## dosis
## 1 1.138353e-05
## 2 8.095775e-04
## 3 6.508870e-03
## 4 9.926702e-01
Hay dos \(VIF\) que indican multicolinealidad y un número de condición por encima de 100. Probamos con el modelo obtenido en el proceso de selección de variables:
# Modelos
fit.concen<- lm(concen ~ p.cuerpo + dosis, data = concentracion)
# Análisis de multicolinealidad
ols_coll_diag(fit.concen)## Tolerance and Variance Inflation Factor
## ---------------------------------------
## Variables Tolerance VIF
## 1 p.cuerpo 0.01947892 51.33755
## 2 dosis 0.01947892 51.33755
##
##
## Eigenvalue and Condition Index
## ------------------------------
## Eigenvalue Condition Index intercept p.cuerpo dosis
## 1 2.993933e+00 1.00000 0.0009364888 1.884523e-05 2.017998e-05
## 2 5.978794e-03 22.37764 0.9398136118 4.217372e-03 5.578232e-03
## 3 8.781609e-05 184.64349 0.0592498994 9.957638e-01 9.944016e-01
Se siguen presentando problemas de multicolinealidad. Sin embargo, aunque esto puede parecer un problema muy grave no lo es dada la situación experimental dada. Es de esperar que la dosis suministrada este claramente asociada con el peso del sujeto, y por tanto dichas variables tienen que estar relacionadas. Aunque la multicolinealidad afecta a la precisión del modelo (en este caso es poco relevante porque nuestro ajuste es bastante malo) no es un problema con el diagnóstico del modelo. En la sección siguiente determinaremos si el modelo debe ser modificado o si por el contrario nos quedamos con el modelo obtenido tras la selección de variables.
Para este conjunto de datos es de esperar que los indicadores de multicolinealidad proporcionen resultados altos, ya que al tratarse de un MP la variable predictora es la misma.
## Tolerance and Variance Inflation Factor
## ---------------------------------------
## Variables Tolerance VIF
## 1 madera 0.05840859 17.12077
## 2 I(madera^2) 0.05840859 17.12077
##
##
## Eigenvalue and Condition Index
## ------------------------------
## Eigenvalue Condition Index intercept madera I(madera^2)
## 1 2.7005883 1.000000 0.01001057 0.001973208 0.003447858
## 2 0.2904492 3.049257 0.18853949 0.001001403 0.035409847
## 3 0.0089625 17.358596 0.80144993 0.997025390 0.961142295
El resultado del \(VIF\) muestra multicolinealidad pero como es el comportamiento natural para este tipo de modelos se decide no actuar.
Estudiamos en este punto el proceso de diagnóstico de un modelo RLM o MP de los que hemos venido estudiando hasta ahora. El diagnóstico del modelo es realmente valioso por cuanto nos permite corroborar que se cumplen (o no) cada una de las hipótesis asumidas para el ajuste del modelo y que dan credibilidad a las conclusiones que obtenemos. Este diagnóstico suele sugerir con frecuencia alguna modificación correctora del modelo propuesto y nos obliga a repetir la dinámica de análisis (modelo alternativo y selección de variables) hasta dar con una solución satisfactoria.
La herramienta básica para el diagnóstico del modelo es el análisis de los residuos, tanto a través de gráficos, como de tests que verifican la validez de las hipótesis asumidas en el ajuste del modelo lineal:
Si encontramos indicios de violación de alguna de ellas, en ocasiones podremos resolverlas a través de las soluciones que proponemos a continuación. Tanto las herramientas de diagnóstico como las soluciones propuestas para cuando encontramos problemas, son una ampliación del análisis de residuos que ya estudiamos para el modelo de regresión lineal simple. Aunque se pueden definir diferentes tipos de residuos, aquí nos concentramos en los que son de uso habitual en el diagnóstico de modelos lineales.
Presentamos diversos tipos de residuos, útiles tanto para la diagnosis del modelo como para el análisis de influencia (detección de observaciones influyentes y/o raras o anómalas). Generalmente, los procedimientos de diagnóstico del modelo basados en residuos son gráficos, si bien en ocasiones disponemos de algunos tests basados en ellos.
Los residuos comunes del modelo lineal \(y=X\beta+\epsilon\) consisten simplemente en las desviaciones entre los datos observados \(y_i\) y los predichos \(\hat{y}_i\), esto es, los obtenidos de:
\[ \textbf{e}=\textbf{y}-\hat{\textbf{y}}=y-X\hat{\beta}=\textbf{y}-X\hat{\beta}=(I-X(X'X)^{-1}X')\textbf{y} \]
cuando \(X'X\) es no singular.
Surge así una matriz básica en la definición de los residuos, denominada matriz gorro y definida por:
\[ H=X(X'X)^{-1}X', \]
que tiene su importancia en la interpretación y redefinición de nuevos tipos de residuos, como veremos. A sus elementos nos referiremos como \(h_{ij}\). Esta matriz \(H\) es simétrica (\(H'=H\)) e idempotente (\(HH=H\)), de dimensión \(n \times n\) y de rango \(p=rang(X)\).
En términos de \(H\), los residuos \(\textbf{e}\) se pueden escribir como:
\[ \textbf{e} = \textbf{y}-\hat{\textbf{y}} = (I-H) \textbf{y}, \]
esto es,
\[ e_i=(1-\sum_{j=1}^n h_{ij}) \, y_i=y_i-\hat{y}_i, \ \ \ i=1,\ldots, n. \]
De esta forma se puede demostrar que la varianza de cada residuo viene dada por: \[ Var(e_i)=(1-h_{ii})\sigma^2, \ \ i=1,\ldots,n, \]
y la correlación entre los residuos \(e_i\) y \(e_j\):
\[ Cor(e_i,e_j)=\frac{-h_{ij}}{\sqrt{(1-h_{ii})(1-h_{jj})}}. \]
Son residuos de media cero y varianza aproximadamente unidad, definidos por:
\[ r_i=\frac{e_i}{\sqrt{s^2}}, \qquad i=1,\ldots,n, \]
donde \(s^2\) es la estimación habitual de \(\sigma^2\) que da el cuadrado medio residual. Una modificación de estos ´residuos son los denominados residuos estudentizados que se interpretan de forma similar a estos. En los ejemplos introduciremos los procedimientos gráficos que podemos utilizar con este tipo de residuos para el estudio de la linealidad y homocedasticidad.
Dado que la verificación de hipótesis se basa en los residuos del modelo, los procedimientos que utilizamos para verificarlas son los mismos a los descritos para el modelo RLS en la unidad anterior. La única diferencia es la existencia de más de una predictora.
Si hay alguna variable explicativa que no ha sido incluida en el ajuste del modelo, representarla versus los residuos ayuda a identificar algún tipo de tendencia que dicha variable pueda explicar. Si no se detecta ninguna tendencia en el gráfico de dispersión en principio no tenemos ninguna evidencia que nos sugiera incorporar dicha variable al modelo para predecir mejor la respuesta. Estos gráficos son útiles también para detectar outliers y heterocedasticidad.
La heterocedasticidad, que es como se denomina el problema de varianza no constante, aparece generalmente cuando el modelo está mal especificado, bien en la relación de la respuesta con los predictores, bien en la distribución de la respuesta, bien en ambas cuestiones. La violación de la hipótesis de varianza constante, \(Var(\epsilon)=\sigma^2 I\), se detecta usualmente a través del análisis gráfico de los residuos:
Hay numerosos tests en la literatura para reconocer heterocedasticidad. Unos están basados en considerar la variabilidad de los residuos que consiguen explicar las variables explicativas sospechosas de inducir heterocedasticidad. Otros tests están basados en diferenciar las observaciones en grupos de varianza constante y comparar los ajustes obtenidos respecto a la hipótesis de tener una misma varianza común:
La hipótesis de normalidad de los errores \(\epsilon_i\) en el modelo lineal justifica la utilización de los tests \(F\) y \(t\) para realizar los contrastes habituales y obtener conclusiones confiables a cierto nivel de confianza \(1-\alpha\) dado. En muestras pequeñas, la no normalidad de los errores es muy difícil de diagnosticar a través del análisis de los residuos, pues éstos pueden diferir notablemente de los errores aleatorios \(\epsilon_i\).
En muestras grandes no se esperan demasiadas diferencias entre residuos y errores, y por lo tanto hacer un diagnóstico de normalidad sobre los residuos equivale prácticamente a hacerlo sobre los errores mismos.
La forma habitual de diagnosticar no normalidad es a través de los gráficos qq de normalidad y de tests como el de Shapiro-Wilks, específico para normalidad, o el de bondad de ajuste de Kolmogorov-Smirnov.
Para los modelos RLM y MP asumimos que los errores observacionales están incorrelados dos a dos. Si esta hipótesis no es cierta, cabe esperar que un gráfico secuencial de los residuos manifieste alguna tendencia. Sin embargo, hay muchas formas en que los errores pueden estar correlados. De hecho, la independencia entre observaciones es una cuestión justificada básicamente por el muestreo realizado.
Un gráfico de los residuos en función de la secuencia temporal en que se observaron los datos puede ayudar a apreciar un problema de correlación de los residuos.
Los gráficos de autocorrelación ayudan a detectar correlación serial, es decir, que un residuo de pende de los residuos anteriores. Dichos gráficos consisten en representar cada residuo (excepto el primero) versus el residuo anterior en la secuencia temporal sospechosa de inducir la correlación.
Un test habitual para detectar cierto tipo de correlación serial es el test de Durbin-Watson.
Las soluciones a los posibles problemas detectados en el diagnóstico son similares a las utilizadas para los modelos RLS:
Algunas de las soluciones, como las de transformar las predictoras mediante modelos de suavizado, tendrán una unidad especial de tratamiento ya que se tratan de modelos más generalistas que permiten ajustar muchos tipos de tendencias entre respuesta y predictoras.
En ocasiones hay algún subconjunto de los datos que influencia desproporcionadamente el ajuste del modelo propuesto, con lo cual las estimaciones y predicciones dependen mucho de él. Es interesante siempre, localizar este tipo de datos, si existen, y evaluar su impacto en el modelo. Si estos datos influyentes son “malos” (provienen de errores en la medición, o de condiciones de experimentación diferentes, etc.) habrían de ser excluidos del ajuste; si son “buenos”, esto es, efectivamente proceden de buenas mediciones aunque raras, contendrán información sobre ciertas características relevantes a considerar en el ajuste. En todo caso, es importante localizarlos, y para ello existen una serie de procedimientos basados en diversos estadísticos que presentamos a continuación.
Hay diversos criterios para valorar la influencia de las observaciones en el ajuste, y en base a los cuales se proponen diversos estadísticos. Vamos a considerar tres de ellos: i) contribución a la estimación de los coeficientes; ii) influencia en la predicción y iii) influencia sobre la precisión de las estimaciones.
Se han construido diversas medidas para valorar la influencia de las observaciones en la estimación de los coeficientes del modelo. Entre ellas, las más habituales son:
Distancia de Cook. Medida de influencia para una observación \(y_i\), basada en la distancia entre la estimación de mínimos cuadrados obtenida con las \(n\) observaciones, \(\hat{\textbf{y}}=X \hat{\beta}\), y la obtenida eliminando dicha observación, \(\hat{\textbf{y}}^{(i)}\). Una formulación habitual del estadístico de Cook es:
\[ D_i=\frac{(\hat{\textbf{y}}-\hat{\textbf{y}}^{(i)})'(\hat{\textbf{y}}-\hat{\textbf{y}}^{(i)})}{p s^2}=\frac{(\hat{\beta}^{(i)}-\hat{\beta})' X'X (\hat{\beta}^{(i)}-\hat{\beta})}{p s^2}, \ \ i=1,\ldots,n, \]
donde \(\hat{\beta}^{(i)}\) es el vector de parámetros estimados en la regresión \(\hat{\textbf{y}}^{(i)}\).
Los puntos con un valor grande del estadístico \(D_i\) identifican observaciones tales que el hecho de incluirlas o no en el ajuste dan lugar a diferencias considerables en las estimaciones de los coeficientes. Generalmente se consideran como influyentes aquellas observaciones con un valor del estadístico \(D_i>1\), pero se identifican como potencialemnte influyentes todas aquellas con \(D_i>4/n\), con \(n\) el tamaño de la muestra.
DFBETAS. Estadístico que indica cuánto cambia el coeficiente estimado \(\hat{\beta}_j\) en desviaciones estándar para un modelo dado cuando se excluye la \(i\)-ésima observación:
\[ DFBETAS_{j,i}=\frac{\hat{\beta}_j-\hat{\beta}^{(i)}_j}{s^2_{(i)} C_{jj}^X}, \quad j=0,1,\ldots,p; \ i=1,\ldots,n \]
donde \(\hat{\beta}^{(i)}_j\) es la j-ésima componente del vector \(\hat{\beta}_{(i)}\), y \(C_{jj}^X\) es el elemento \(j\) de la diagonal de \((X'X)^{-1}\).
De forma habitual se considera como potencialmente influyente una observación si \(|DFBETAS_{j,i}|>2/\sqrt{n}\), con \(n\) el tamaño muestral.
Para investigar la influencia de la \(i\)-ésima observación sobre los valores predichos por el modelo utilizamos el estadístico DFFITS. Se define el estadístico DFFITS para la observación i-ésima como:
\[ DFFITS_i = \frac{\hat{y}_i-\hat{y}^{(i)}_i}{\sqrt{s^2_{(i)} h_{ii}}}, \ \ i=1,\ldots,n, \]
donde \(\hat{y}^{(i)}_i\) es el valor predicho para \(y_i\) por el modelo sin utilizar en la estimación la observación \(i\). Así, \(DFFITS_i\) se puede interpretar como el número de desviaciones estándar que cambia la predicción de la \(i\)-ésima respuesta cuando dicha observación es excluida del ajuste.
Generalmente, una observación para la que \(|DFFITS_i|>2 \sqrt{p/n}\) merece ser tratada con atención.
Los diagnósticos vistos hasta ahora cuantifican de algún modo el efecto de las observaciones en las estimaciones. Sin embargo, no proporcionan información alguna sobre la precisión conjunta del ajuste. La precisión de la estimación de \(\hat{\beta}\) se puede medir en función del estadístico \(\textsf{COVRATIO}\). Si \(COVRATIO_i<1\), excluir la \(i\)-ésima observación proporciona un ajuste más preciso; si \(COVRATIO_i>1\), la \(i\)-ésima observación mejora la precisión de la estimación. En este manual no utilizaremos este criterio y nos centraremos en los puntos anteriores
EN la unidad anterior mostramos como realizar los gráficos y test de diagnóstico para un modelo RLS. Esos gráficos se pueden utilizar también en los modelos tratados en esta unidad, pero además se muestran las funciones de la librería olsrr que pueden ser utilizadas para esta tarea. Concretamente:
ols_plot_resid_stand(): gráfico secuencial de residuos estandarizados.ols_plot_resid_stud(): gráfico secuencial de residuos estudentizados.ols_plot_resid_stud_fit(): residuos estudentizados vs valores ajustados.ols_plot_resid_qq(): gráfico qq de normalidad.ols_test_normality(): tests de normalidad.ols_test_breusch_pagan(): Test de Bresuch-Pagan.Aunque la función por excelencia para obtener las medidas de influencia es influence.measures(), la librería olsrr presenta diversas funciones para este análisis con la ventaja de proporcionar herramientas gráficas y valores de detección, que permiten visualizar de forma rápida las posibles observaciones influyentes. Dichas funciones son:
ols_plot_cooksd_chart(): proporciona la distancia de Cook.ols_plot_dfbetas(): proporciona los \(DFBETAS\).ols_plot_dffits(): proporciona \(DFFITS\).Realizamos el diagnóstico y análisis de influencia de los modelos ajustados, tras el proceso de selección de variables.
En primer lugar, ajustamos el modelo correspondiente y obtenemos los valores de diagnóstico.
# Modelos
fit.bosque <- lm(vol ~ d16 + ht, data = bosque)
# Valores de diagnóstico
diag.bosque <- fortify(fit.bosque)Estudiamos los gráficos de diagnóstico para detectar residuos grandes (gráfico secuencial de residuos), linealidad y homocedasticidad (gráfico de residuos estandarizados versus valores ajustados), y normalidad (gráfico qq).

ggplot(diag.bosque, aes(x = .fitted, y = .stdresid)) +
geom_point() +
geom_smooth(method = "lm", se = FALSE)


El gráfico de secuencia de los residuos indica que la observación 18 es potencialemente una observación anómala. Cuando realizamos el análisis de influencia deberemos verificar esta situación para considerar la posible eliminación de esta observación. El gráfico de residuos versus valores ajustados no muestra ningún tipo de tendencia (linealidad) ni comportamientos extraños que permitan pensar que se incumple la hipótesis de varianza constante. El gráfico de normalidad también muestra un comportamiento adecuado teniendo en cuenta que el tamaño muestral es muy pequeño. El gráfico de autocorelación no muestra dependencia entre los residuos, indicando que se cumple la hipótesis de independencia.
Dado que no se ha detectado falta de linealidad entre residuos y valores ajustados no es necesario realizar el gráfico de residuos versus predictoras. Sin embargo, los mostramos aquí para ver el código necesario.
ggplot(diag.bosque, aes(x = ht, y = .stdresid)) +
geom_point() +
geom_smooth(method = "lm", se = FALSE)
ggplot(diag.bosque, aes(x = d16, y = .stdresid)) +
geom_point()+
geom_smooth(method = "lm", se = FALSE)
Como era de esperar los gráficos no muestran ningún tipo de tendencia.
Realizamos ahora los tests necesarios para verificar las hipótesis de normalidad, homocedasticidad, e independencia.
## -----------------------------------------------
## Test Statistic pvalue
## -----------------------------------------------
## Shapiro-Wilk 0.9281 0.1420
## Kolmogorov-Smirnov 0.1544 0.6712
## Cramer-von Mises 1.6812 0.0000
## Anderson-Darling 0.5362 0.1485
## -----------------------------------------------
##
## Breusch Pagan Test for Heteroskedasticity
## -----------------------------------------
## Ho: the variance is constant
## Ha: the variance is not constant
##
## Data
## -------------------------------
## Response : vol
## Variables: fitted values of vol
##
## Test Summary
## ----------------------------
## DF = 1
## Chi2 = 0.8615473
## Prob > Chi2 = 0.353306
## lag Autocorrelation D-W Statistic p-value
## 1 0.1645488 1.487166 0.164
## Alternative hypothesis: rho != 0
Todos los tests resultan no significativos indicando que se cumplen las hipótesis del modelo. Para la hipótesis de normalidad nos debemos fijar en los resultados de Kolmogorov-Smirnov que tiene un mejor comportamiento, desde el punto de vista estadístico, que Shapiro-Wilk. En caso de discrepancias entre ellos nos debemos quedar con Kolmmogorov-Smirnov.
A pesar de que se cumplen las hipótesis del modelo, obtenemos las medidas de influencia asociadas con el modelo ajustado:



La distancia de Cook muestra dos observaciones (1 y 20) como potencialmente influyentes utilizando el punto de corte más restrictivo. Si utilizamos el punto de corte estándar que determina como influyente a los que tienen una distancia de Cook mayor que 1, ninguna de ellas sería clasificada como influyente.
EL resto de medidas de influencia siguen mostrando a las observaciones 1 y 20 como potencialmente influyentes, pero dado que se cumplen las hipótesis del modelo no nos planteamos la eliminación de dichas observaciones. Además, con tamaños de muestras tan pequeños sólo nos planteamos su eliminación si es la única solución para que se cumplan las hipótesis del modelo.
Ajustamos el modelo y obtenemos los valores de diagnóstico.
# Modelos
fit.concen <- lm(concen ~ p.cuerpo + dosis, data = concentracion)
# Valores de diagnóstico
diag.concen <- fortify(fit.concen)Estudiamos los gráficos de diagnóstico para detectar residuos grandes (gráfico secuencial de residuos), linealidad y homocedasticidad (gráfico de residuos estandarizados versus valores ajustados), y normalidad (gráfico qq).

ggplot(diag.concen, aes(x = .fitted, y = .stdresid)) +
geom_point() +
geom_smooth(method = "lm", se = FALSE)


Aunque todos los gráficos parecen mostrar comportamientos adecuados, el gráfico de residuos versus ajustados muestra un punto alejado (valor ajustado alto) del resto lo que podría indicar que debemos tratar ese valor como anómalo y considerar su eliminación del banco de datos. Antes de tomar una decisión revisamos toda la batería de gráficos y tests de diagnóstico e influencia.
ggplot(diag.concen, aes(x = p.cuerpo, y = .stdresid)) +
geom_point() +
geom_smooth(method = "lm", se = FALSE)
ggplot(diag.concen, aes(x = dosis, y = .stdresid)) +
geom_point()+
geom_smooth(method = "lm", se = FALSE)
En los gráficos de residuos versus predictoras no se observan comportamientos anómalos.
Realizamos ahora los tests necesarios para verificar las hipótesis de normalidad, homocedasticidad, e independencia.
## -----------------------------------------------
## Test Statistic pvalue
## -----------------------------------------------
## Shapiro-Wilk 0.9544 0.4672
## Kolmogorov-Smirnov 0.1414 0.7919
## Cramer-von Mises 5.4464 0.0000
## Anderson-Darling 0.3769 0.3742
## -----------------------------------------------
##
## Breusch Pagan Test for Heteroskedasticity
## -----------------------------------------
## Ho: the variance is constant
## Ha: the variance is not constant
##
## Data
## ----------------------------------
## Response : concen
## Variables: fitted values of concen
##
## Test Summary
## -----------------------------
## DF = 1
## Chi2 = 0.05255342
## Prob > Chi2 = 0.8186782
## lag Autocorrelation D-W Statistic p-value
## 1 -0.0227244 1.762427 0.578
## Alternative hypothesis: rho != 0
Todos los tests resultan no significativos indicando que se cumplen las hipótesis del modelo.
En último lugar realizamos el análisis de influencia:



La distancia de Cook muestra que la observación en la posición 3 es claramente influyente. De hecho, también es influyente en los coeficientes del modelo, y en el valor ajustado. Pasamos a eliminar dicha observación y a ajustar un nuevo modelo. Comenzaremos con el modelo saturado e iremos completando todo el análisis.
Creamos el nuevo banco de datos y ajustamos el nuevo modelo:
# Datos sin observación 3
concentracion <- concentracion[-3,]
# Ajuste del modelo
fit.concen <- lm(concen ~ p.cuerpo + dosis, data = concentracion)
# Modelo ajustado
tab_model(fit.concen)| concen | |||
|---|---|---|---|
| Predictors | Estimates | CI | p |
| (Intercept) | 0.33 | -0.08 – 0.75 | 0.110 |
| p.cuerpo | -0.00 | -0.04 – 0.03 | 0.797 |
| dosis | 0.88 | -6.37 – 8.12 | 0.800 |
| Observations | 18 | ||
| R2 / R2 adjusted | 0.005 / -0.128 | ||
## # A tibble: 1 x 11
## r.squared adj.r.squared sigma statistic p.value df logLik AIC BIC
## <dbl> <dbl> <dbl> <dbl> <dbl> <int> <dbl> <dbl> <dbl>
## 1 0.00483 -0.128 0.0762 0.0364 0.964 3 22.4 -36.9 -33.3
## # … with 2 more variables: deviance <dbl>, df.residual <int>
EL test \(F\) de la regresión nos indica que la variables predictoras no están relacionadas con la respuesta (p-valor > 0.05), con lo que no tendría sentido seguir trabajando con este modelo y la conclusión obtenida es que no hemos podido obtener una relación entre concentración y peso cuerpo, peso del hígado, y dosis.
El efecto de eliminar una observación (a pesar de que se cumplen las hipótesis del modelo), es que la débil relación que habíamos establecido entre concentración frente a peso del cuerpo y dosis resulta inexistente. En este caso debe ser el investigador el que decida entre las dos opciones:
Ajustamos el modelo y obtenemos los valores de diagnóstico.
# Modelos
fit.papel <- lm(tension ~ madera + I(madera^2), data = papel)
# Valores de diagnóstico
diag.papel <- fortify(fit.papel)Estudiamos los gráficos de diagnóstico para detectar residuos grandes (gráfico secuencial de residuos), linealidad y homocedasticidad (gráfico de residuos estandarizados versus valores ajustados), y normalidad (gráfico qq).

ggplot(diag.papel, aes(x = .fitted, y = .stdresid)) +
geom_point() +
geom_smooth(method = "lm", se = FALSE)


No se observan residuos excesivamente grandes, ni comportamientos anómalos pero si cierta autocorrelación en los residuos debido a la propia estructura del modelo polinómico considerado. Realizamos los tests de diagnóstico:
## -----------------------------------------------
## Test Statistic pvalue
## -----------------------------------------------
## Shapiro-Wilk 0.9113 0.0783
## Kolmogorov-Smirnov 0.198 0.3942
## Cramer-von Mises 1.5965 1e-04
## Anderson-Darling 0.6399 0.0806
## -----------------------------------------------
##
## Breusch Pagan Test for Heteroskedasticity
## -----------------------------------------
## Ho: the variance is constant
## Ha: the variance is not constant
##
## Data
## -----------------------------------
## Response : tension
## Variables: fitted values of tension
##
## Test Summary
## ----------------------------
## DF = 1
## Chi2 = 0.2755593
## Prob > Chi2 = 0.5996267
## lag Autocorrelation D-W Statistic p-value
## 1 0.6040252 0.6974667 0.002
## Alternative hypothesis: rho != 0
Se verifican las hipótesis de homocedasticidad y normalidad, y como era de espera no se cumple la hipótesis de incorrrelación. Dado que este incumplimiento se debe a la propia estructura del modelo no tendremos en cuenta este resultado par concluir sobre este modelo.
En último lugar realizamos el análisis de influencia:



Tenemos dos observaciones (18 y 19) que se detectan como potencialmente influyentes (distancia de Cook) y que podrían ser consideradas para su eliminación. Como el modelo tiene un buen ajuste y cumple con las hipótesis consideramos el modelo como válido.
El proceso de predicción en este tipo de modelos es similar al de los modelos de regresión lineal simple. Si \(X_0 \in \mathbb{R}^p\) representa un vector fijo de valores de las variables explicativas contenidas en la matriz de diseño \(X\), podemos predecir la respuesta \(y\) en \(X_0\) a través del modelo ajustado con
\[ \hat{y}=X_0 \hat{\beta}, \] pero el error asociado a la estimación depende de la situación que estemos prediciendo:
La varianza asociada a dicha estimación viene dada por: \[ Var[\hat{E}(y|X_0)]=\sigma^2 X_0(X'X)^{-1}X_0'. \]
Un intervalo de confianza a nivel \(1-\alpha\) está basado en la distribución \(t-Student\):
\[ \hat{y}_{X_0} \pm t_{(n-p,1-\alpha/2)} \ \sqrt{s^2 X_0(X'X)^{-1}X_0'}, \]
siendo \(t_{(n-p,1-\alpha/2)}\) el cuantil \(1-\alpha/2\) de una distribución \(t-Student\) con \(n-p\) grados de libertad, con \(p\) el número de coeficientes en el modelo y \(n\) el número de datos.
La predicción de la respuesta \(y\) para un determinado valor \(X_0\) de las variables explicativas involucra más incertidumbre que la estimación de un promedio. En este caso, la varianza asociada a la predicción es:
\[ Var(\hat{y}|X_0)=\sigma^2 (1+ X_0(X'X)^{-1}X_0'). \]
Un intervalo de confianza a nivel \(1-\alpha\) para dicha predicción viene dado por:
\[ \hat{y}_{X_0} \pm t_{(n-p,1-\alpha/2)} \ \sqrt{s^2 \ (1+X_0'(X'X)^{-1}X_0)}. \]
Obtenemos únicamente la predicción de la respuesta media para ciertos valores de las predictoras y los gráficos de predicción marginales.
Estamos interesados en conocer el volumen de madera que podemos obtener para las combinaciones de d16 y ht dadas por (10,90), (12,95), (14,100) y (16,105).
# cargamos datos de predicción
newpred <- data.frame(d16 = c(10,12,14,16), ht = c(90,95,100,105))
# Predicción para la media de la respuesta
# Opción interval = "confidence"
newdata <- data.frame(newpred,
predict(fit.bosque, newpred,
interval="confidence"))
round(newdata,2)## d16 ht fit lwr upr
## 1 10 90 29.11 25.03 33.20
## 2 12 95 47.32 44.83 49.82
## 3 14 100 65.53 63.35 67.71
## 4 16 105 83.74 80.24 87.24
Veamos ahora las predicciones marginales de cada variable:
## $d16

##
## $ht

Estamos interesados en conocer la tensión del papel para los contenidos de madera dados por 4,8, y 12.
# cargamos datos de predicción
newpred <- data.frame(madera = c(4,8,12))
# Predicción para la media de la respuesta
# Opción interval = "confidence"
newdata <- data.frame(newpred,
predict(fit.papel, newpred,
interval="confidence"))
round(newdata,2)## madera fit lwr upr
## 1 4 30.23 27.48 32.98
## 2 8 46.83 43.63 50.03
## 3 12 43.12 39.87 46.37
Veamos ahora las predicciones marginales de cada variable:
# Gráfico del ajuste
plot_model(fit.papel,"pred",
ci.lvl = 0.95,
show.data = TRUE,
axis.title = c("Contenido madera","Tensión"),
title = " ")## $madera

A continuación, se presenta una colección de ejercicios referidos a los modelos de regresión. Los pasos a seguir para la obtención del modelo son los que hemos ido desarrollando: representación gráfica y propuesta de modelo, ajuste, bondad de ajuste, diagnóstico y predicción. En caso de encontrar problemas con el diagnóstico se deberá proponer un nuevo modelo alternativo.
No olvides cargar las librerías para realizar los ejercicios.
Ejercicio 1. Se propone a una empresa que fabrica vasos de cristal un nuevo proceso de control de calidad. Hasta ahora la empresa seleccionaba una caja de vasos al final de la fabricación y observaba si había alguno roto. Esto provocaba un gran gasto ya que en caso de encontrar algún defecto la caja se desembala y los vasos vuelven a la cadena de embalaje. Ahora se propone seleccionar vasos antes de embalar y determinar así el porcentaje de defectos. Se desea saber si ambos porcentajes están relacionados. Los datos aparecen a continuación:
# carga de datos
cajas <- c(3.0, 3.1, 3.0, 3.6, 3.8, 2.7, 3.1, 2.7, 2.7, 3.3, 3.2, 2.1, 3.0, 2.6)
vasos <- c(3.1, 3.9, 3.4, 4.0, 3.6, 3.6, 3.1, 3.6, 2.9, 3.6, 4.1, 2.6, 3.1, 2.8)
ejer01 <- data.frame(cajas, vasos)Ejercicio 2. En 1929 Edwin Hubble investiga la relación entre la distancia (en megaparsecs. 1 parsec=3.26 años luz) de una galaxia a la tierra y la velocidad (en Km/sg) con la cual parece retroceder. Observo que las galaxias aparecen alejarse de nosotros no importa cual sea la dirección en que miremos. Se piensa de hecho que esto es el resultado del ”Big Bang”. Hubble esperaba aportar conocimiento sobre la formación del universo y sobre cual podría ser su evolución en el futuro. Los datos que recogió incluyen las distancias de la tierra a 24 galaxias, así como sus correspondientes velocidades de retroceso. El objetivo principal del estudio que Hubble llevo a cabo era determinar la edad del universo, y para ello establece lo que se conoce hasta ahora como la ley de Hubble: \[V = H_0*D\] donde \(V\) es la velocidad, \(D\) es la distancia, y \(H_0\) es la constante de Hubble.
distancia <- c(.032, .034, .214, .263, .275, .275, .45, .5, .5, .63, .8,
.9, .9, .9, .9, 1.0, 1.1, 1.1, 1.4, 1.7, 2.0, 2.0, 2.0, 2.0)
velocidad <- c(170, 290, -130, -70, -185, -220, 200, 290, 270, 200, 300,
-30, 650, 150, 500, 920, 450, 500, 500, 960, 500, 850, 800, 1090)
ejer02 <- data.frame(distancia, velocidad)(HINT: En primer lugar debes transformar el modelo teórico propuesto para expresarlo en términos de un modelo RLS. Recuerda almacenar las transformaciones en tu banco de datos para proceder con el ajuste del modelo.)
Ejercicio 3. Un grupo de ingenieros agrónomos esta estudiando la evolución de un proceso infeccioso sobre un conjunto de plantas. En concreto durante un período de días se calcula de forma aproximada la fracción de infección de dichas plantas. Por este motivo, dos días consecutivos pueden tener fracciones de infección inferiores. Para evitar esto se proponen dos modelos teóricos: \[(I) \text{ } y = \beta_0 x^{\beta_1}\] \[(II) \text{ } y = \beta_0 + \beta_1 log(x)\]
donde y es el grado de infección y x el número de días transcurridos
dia <- 1:200
infecc <- c(0.02063762, 0.05637206, 0.11889346, 0.11376972, 0.13772089, 0.19055130, 0.18509772, 0.16887353, 0.19753055, 0.21835949, 0.26677238, 0.26360653, 0.27772497, 0.28447172, 0.28300082, 0.34108177, 0.32594214, 0.28675461, 0.34971616, 0.33537176, 0.33217888, 0.35748261, 0.34925483, 0.36278067, 0.37211460, 0.35783240, 0.41498583, 0.40769174, 0.38800213, 0.44174297, 0.43087261, 0.42190606, 0.45097338, 0.45570700, 0.45946960, 0.46153400, 0.46340109, 0.45549254, 0.45487365, 0.45750686, 0.45521341, 0.46881463, 0.45141048, 0.52372846, 0.50803021, 0.46482596, 0.48254773, 0.48449405, 0.51255671, 0.49833262, 0.50802495, 0.50526564, 0.50777983, 0.53873568, 0.50950327, 0.54693458, 0.48815063, 0.53327501, 0.52645577, 0.53063462, 0.53618898, 0.52077545, 0.52633078, 0.51474555, 0.51575426, 0.54528626, 0.55015967, 0.54419107, 0.56346905, 0.58787669, 0.53886562, 0.50427534, 0.57230842, 0.53970820, 0.54179538, 0.57769618, 0.55308538, 0.53593047, 0.56550374, 0.56060245, 0.56496884, 0.57400395, 0.56030226, 0.58199322, 0.56606007, 0.57844415, 0.59505931, 0.58311616, 0.56916054, 0.59989923, 0.59801493, 0.59031303, 0.58529898, 0.56912505, 0.61003513, 0.57193641, 0.62878888, 0.61677661, 0.58247460, 0.56770688, 0.57505675, 0.59541545, 0.58634056, 0.58530427, 0.57418797, 0.59326985, 0.57940758, 0.56266765, 0.58932866, 0.61620602, 0.58719856, 0.61173102, 0.56806743, 0.60015458, 0.61248238, 0.60893367, 0.60582869, 0.59169408, 0.58829584, 0.58557803, 0.60917339, 0.58862023, 0.59849746, 0.60391548, 0.64663334, 0.59742612, 0.61587231, 0.61341390, 0.59329848, 0.61178139, 0.64276168, 0.62355522, 0.61599580, 0.60735889, 0.57537341, 0.63968664, 0.58846078, 0.63307852, 0.65706008, 0.59059116, 0.63408846, 0.61538542, 0.58975607, 0.59146830, 0.59028687, 0.61224876, 0.59417456, 0.63770437, 0.66647829, 0.59925939, 0.64127259, 0.64141050, 0.63317968, 0.60686830, 0.62514131, 0.62241142, 0.63976259, 0.62153212, 0.64899315, 0.62242964, 0.65143794, 0.60985758, 0.60609047, 0.69656194, 0.62384676, 0.63858650, 0.64578674, 0.62380855, 0.64424572, 0.64170765, 0.63043627, 0.63646096, 0.63488074, 0.67853395, 0.62153691, 0.61483840, 0.63790480, 0.64374543, 0.64664922, 0.62913057, 0.61740673, 0.66430865, 0.63241999, 0.62246721, 0.63541282, 0.63655235, 0.66304830, 0.64289529, 0.65662894, 0.63190605, 0.64652159, 0.63607656, 0.64479640, 0.62532881, 0.61734833, 0.68383389, 0.65622608, 0.61950582, 0.63262438, 0.62145169)
ejer03 <- data.frame(dia, infecc)Los modelos teóricos anteriores se pueden transformar a modelos de regresión lineal simple sin muchos problemas. Para el modelo (I) consideramos la transformación logarítmica:
\[log(y) = log(\beta_0) + \beta_1 log(x) \longrightarrow y' = \beta_0 + \beta_1 x`\]
donde el \('\) indica la nueva variable o parámetro. Podemos estudiar el comportamiento lineal obteniendo dichas variables, y volver al modelo original utilizando las transformaciones.
Para el modelo (II) ya viene expresado como un modelo lineal donde únicamente tenemos que obtener la variable predictora transformada mediante la función logaritmo.
Ejercicio 4. Se trata de determinar la pérdida de color sufrida por cierto compuesto cuando es sometido a altas temperaturas. Los datos recogidos son los siguientes:
temperatura <- c(460, 450, 440, 430, 420, 410, 450, 440, 430, 420,
410, 400, 420, 410, 400)
perdida <- c(0.3, 0.3, 0.4, 0.4, 0.6, 0.5, 0.5, 0.6, 0.6, 0.6, 0.7,
0.6, 0.6, 0.6, 0.6)
ejer04 <- data.frame(temperatura,perdida)Ejercicio 5. Karl Pearson recogió información sobre 1100 familias en Inglaterra en el periodo de 1893 a 1898. En particular este banco de datos contiene las alturas de las madres y las hijas de dichas familias. En concreto se registran las alturas de las hijas mayores de 18 años y las madres de menos de 65 años. Originalmente se estaba interesado en estudiar una posible asociación entre la altura de las madres y las hijas ¿Que podríamos concluir a la vista de los datos? las variables recogidas son: “Mheight” (altura de la madre) y “Dheight” (altura de la hija)
Ejercicio 6. Se realiza un estudio de campo para conocer el desarrollo de cierta especie de pez del lago lakemary en EEUU. Para medir el desarrollo se establece la edad de cada pez capturado mediante un procedimiento proporcionado por los biólogos. Además se mide la longitud del pez para tratar de establecer el estado de maduración de cada ejemplar. La investigación trata de relacionar la longitud del pez con su edad para determinar el número de capturas permitidas. Las variables recogidas son: “Age” (edad del pez), y “Length” (longitud del pez en mm).
Ejercicio 7. Se realiza un estudio para determinar el tiempo de erupción del geyser (Old Faithful Geyser, dentro del parque nacional de Yellowstone) a partir del tiempo de espera entre dos erupciones consecutivas. Se trata de analizar la información para determinar el periodo de visitas. Para ellos se recogieron datos durante un periodo determinado que se considera estándar para establecer la distribución de erupciones. Las variables consideradas son: “Duration” (duración de la erupción en segundos) y “Interval” (tiempo de espera entres dos erupciones consecutivas).
Ejercicio 8. Los datos muestran el porcentaje de calorías totales obtenidas de carbohidratos complejos, para veinte diabéticos dependientes de insulina que habían seguido una dieta alta en carbohidratos durante seis meses. Se consideró que el cumplimiento del régimen estaba relacionado con la edad (en años), age, el peso corporal (relativo al peso “ideal” para la altura), weight, y otros componentes de la dieta como el porcentaje de proteínas ingeridas. Los datos corresponden con la tabla 6.3 de Dobson (2002).
Ejercicio 9. Es bien sabido que la concentración de colesterol en el suero sanguíneo aumenta con la edad, pero es menos claro si el nivel de colesterol también está asociado con el peso corporal. Los datos muestran para una treinta de mujeres el colesterol sérico (milimoles por litro), la edad (años) y el índice de masa corporal (peso dividido por la altura al cuadrado, donde el peso se midió en kilogramos y la altura en metros). Los datos corresponden con la tabla 6.17 de Dobson (2002).
Ejercicio 10. En un estudio sobre las diferentes clases de queso cheddar que se fabrican en LaTrobe Valley de Victoria, Australia, se analizaron muestras de queso por su composición química: concentración de ácido acético (escala logarítmica); concentración de sulfuro de hidrógeno (escala logarítmica); y la concentración de ácido láctico. Por otro lado, se paso una muestra de cada uno de ellos a un conjunto de catadores y se registro la puntuación obtenida por cada uno de ellos. Estamos interesados en relacionar la puntuación final de los catadores con los resultados del análisis químico.
Ejercicio 11. Los datos correspondientes a esta base de datos muestran la producción, Q, en toneladas, la mano de obra, L, en horas, y el capital, K, en horas máquina, de 14 empresas de un sector industrial. Se desea ajustar los datos a la función de producción Cobb-Douglas dada por: \[Q = A L^l K^k e^{\epsilon}\]
ejer11 <- read_csv("https://bit.ly/2UIq9F9", col_types = "dddd")
ejer11 <- ejer11 %>%
mutate_if(sapply(ejer11, is.character), as.factor)Ejercicio 12. La producción de cereales viene determinada principalmente por las condiciones climáticas previas a la recolección. En concreto se recogen las condiciones climáticas en diferentes años. Las características medidas son:
Para el banco de datos correspondiente
Ejercicio 13. En un estudio medio ambiental sobre la diversidad de especies de tortuga en las islas Galápagos se recogió información sobre el número de especies endémicas (Endemics), así como el área de la isla (área), la altura del pico más alto de a isla (Elevation), la distancia a la isla más cercana (Nearest), la distancia a la isla de Santa Cruz (Scruz), y el área de la isla más próxima (Adjacent).
El estudio está interesado las condiciones que pueden afectar a un mayor número de especies endémicas de tortuga sin tener en cuenta el número total de especies presentes.
Endemics <- c(23, 21, 3, 9, 1, 11, 0, 7, 4,2, 26, 35, 17, 4, 19, 89, 23,
2, 37, 33, 9, 30, 65, 81, 95, 28, 73, 16, 8, 12)
Area <- c(25.09, 1.24, 0.21, 0.1, 0.05, 0.34, 0.08, 2.33, 0.03, 0.18,
58.27, 634.49,0.57, 0.78, 17.35, 4669.32, 129.49, 0.01, 59.56, 17.95,
0.23,4.89, 551.62, 572.33, 903.82, 24.08, 170.92, 1.84, 1.24, 2.85)
Elevation <- c(346, 109, 114, 46, 77, 119, 93, 168,71, 112, 198, 1494,
49, 227, 76, 1707, 343, 25, 777, 458, 94, 367, 716, 906, 864, 259, 640,
147, 186, 253)
Nearest <- c(0.6, 0.6, 2.8, 1.9, 1.9, 8, 6, 34.1, 0.4, 2.6, 1.1, 4.3,
1.1, 4.6, 47.4, 0.7,29.1, 3.3, 29.1, 10.7, 0.5, 4.4, 45.2, 0.2, 0.6,
16.5, 2.6, 0.6, 6.8, 34.1)
Scruz <- c(0.6, 26.3,58.7, 47.4, 1.9, 8, 12, 290.2, 0.4, 50.2, 88.3,
95.3, 93.1, 62.2,92.2,28.1, 85.9, 45.9, 119.6, 10.7, 0.6, 24.4, 66.6,
19.8, 0, 16.5, 49.2, 9.6, 50.9, 254.7)
Adjacent <- c(1.84, 572.33, 0.78, 0.18, 903.82, 1.84, 0.34, 2.85, 17.95,
0.1, 0.57, 4669.32, 58.27, 0.21, 129.49, 634.49, 59.56, 0.1, 129.49,
0.03, 25.09, 572.33, 0.57, 4.89, 0.52, 0.52, 0.1, 25.09, 17.95, 2.33)
ejer13 <- data.frame(Endemics, Area, Elevation, Nearest, Scruz, Adjacent)Javier Morales, email: j.morales@.umh.es.
Mª Asunción Martínez, email: am.mayoral@umh.es.