3.2 Land Use and Zoonoses

Some Drivers for the Emergence of Infectious Diseases

Figure 3.3: Some Drivers for the Emergence of Infectious Diseases

3.2.1 Malaria

There are five plasmodium parasites that cause malaria humans, all of which are transmitted by the Anopheles mosquitoes.

Two species - P. falciparum and P. vivax - pose the greatest threats to human health!

  1. P. falciparum

    This parasites causes 50% - 99.7% of all cases in different WHO regions (though it is highest in the African region). If left untreated within 24 hours, the parasite can cause severe illness that often results in the patient’s death!

  2. P. vivax

    This causes 50% - 75% of all malaria cases. This parasite is most prevalent in the Americas.

  3. P. ovale

    This parasite is found in the Pacific islands and in sub-Saharan Africa.

  4. P. malariae

    This parasite is not very common; it is also more benign compared to the other parasites here.

  5. P. knowlesi

    A Research Abstract on *P. knowlesi*

    Figure 3.4: A Research Abstract on P. knowlesi

    This parasite is found in South-East Asia; it is potentially fatal and harbored monkeys.

3.2.1.1 Studies on Plasmodium knowlesi

3.2.1.1.1 Hawkes et. al

“It is very likely that most An. balabacensis are infected in the forest where the reservoir hosts abound. Host-seeking An. balabacensis are attracted to both humans and macaques and this specific trait in host-seeking behavior, coupled with increased potential for interaction between reservoir, vector and human host at forest edges, may increase the likelihood of human clinical infection with P. knowlesi.”

– Hawkes et. al

They studied the following area:

Areas of Study in Hawkes et. al's Study

Figure 3.5: Areas of Study in Hawkes et. al’s Study

Furthermore, the scientists’ study also revealed the following results:

Results of Hawkes et. al's Study

Figure 3.6: Results of Hawkes et. al’s Study

3.2.1.1.2 Fornace et. al

In spite of higher mosquito bite rates in the forest, the incorporation of human movement and space illustrates the importance of intensified interactions between pathogens, insect vectors, and inhabitants in edge environments.

Methodology of Fornace et. al's Study

Figure 3.7: Methodology of Fornace et. al’s Study

The researchers used the above methodology for their experiments.

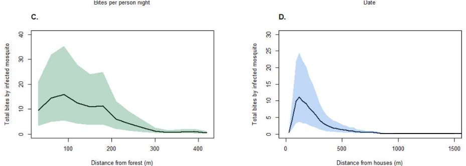
Results of Fornace et. al's Study

Figure 3.8: Results of Fornace et. al’s Study

The above figure shows the results obtained from Fornace et. al’s study. Unsurprisingly, there are higher mosquito bite rates nearer the forest and one’s home!

3.2.1.2 Plasmodium knowlesi in Singapore

Between 2007 and 2008, there were five reported cases of the parasite in individuals who had been training in a forested area (i.e., national servicemen). However, vector control (i.e., monkey repelling efforts) stopped the transmission of the parasite.

Singaporean Scientists' Phylogenetic Tree of *P. knowlesi*

Figure 3.9: Singaporean Scientists’ Phylogenetic Tree of P. knowlesi

A phylogenetic tree has also been constructed above (by Singaporean scientists) to investigate the evolutionary relationships between humans and macaques in Singapore.

Singaporean Scientists' Study Results

Figure 3.10: Singaporean Scientists’ Study Results

From their data (not shown), they found that P. inui (37.2%), P. knowlesi (34%), P. cynolmogi (10.2%), P. fieldi (1.6%), and P. coatneyl (1.06%) were found in the order of most prevalent to the least prevalent.