Chapter 4 R program basic
4.1 기초 연산
단순 계산기로 사용할 수 있다. 예를 들어 1+2 의 값이라던가, log2(10) 등을 계산할 수 있다. Rsutdio 의 스크립트 창이나 콘솔 창에 아래의 항목을 작성해 볼 수 있다.
기초 함수는 아래와 같다.
| 함수 | 종류 |
|---|---|
| Logarithms and exponentials | log2(x), log10(x), exp(x) |
| Trigonometric functions | cos(x), sin(x), tan(x), acos(x), asin(x), atan(x) |
| Others | abs(x): absolute value; sqrt(x): square root. |
4.2 조건부 연산
if-else 라는 조건에 따라 연산을 수행시킨다. 예를 들어 1, 2, 3, 4, 5, 6, 7, 8, 9, 10 의 백터에서 5보다 작으면 A 크면 B를 적용시켜주다.
## [1] "A"
## [1] "B"
몇가지 예제를 더 살펴보자.
## [1] 10 -3 8 -1 -2 0 -11 18 -12 16
## [1] "양수" "음수" "양수" "음수" "음수" "음수" "음수" "양수" "음수" "양수"
## a tab
## 1 10 양수
## 2 -3 음수
## 3 8 양수
## 4 -1 음수
## 5 -2 음수
## 6 0 음수
## 7 -11 음수
## 8 18 양수
## 9 -12 음수
## 10 16 양수
데이터 클리닝에서 자주 사용하는 두개의 조건문 any()와 all()이 있다. any()는 하나라도 TRUE값이 있으면 TRUE를 변환해주고, all()은 모두 TRUE여야 TRUE를 돌려준다.
## [1] FALSE FALSE TRUE
## [1] TRUE
## [1] FALSE
index 를 이용하면 조건 문에서 IF (또는 Where)의 개념을 사용할 수 있다. iris 데이터에서 Sepal.Length 가 가장 큰 값은 찾고, Sepal.Length 최고 값을 갖은 Species의 종류를 찾고자한다. 어떻게 하면될까?
## Sepal.Length Sepal.Width Petal.Length Petal.Width Species
## 1 5.1 3.5 1.4 0.2 setosa
## 2 4.9 3.0 1.4 0.2 setosa
## 3 4.7 3.2 1.3 0.2 setosa
## 4 4.6 3.1 1.5 0.2 setosa
## 5 5.0 3.6 1.4 0.2 setosa
## 6 5.4 3.9 1.7 0.4 setosa
##
## setosa versicolor virginica
## 50 50 50
## [1] 7.9
## [1] virginica
## Levels: setosa versicolor virginica
4.3 함수 만들기
저자가 R을 이용하는 이유중 하나가 함수를 손쉽게 만들고 그 결과를 활용하기가 쉽다는 것이다. 자동문, 반복문, 데이터 클리능, 데이터 시각화 등에서 자주 사용하는 기본 원리이다. 평균을 구해주는 함수 avg를 만들어 보자
## [1] 25.5
좀더 확장해서 변수 갯수, 평균, 최고, 최저 값을 나타내는 함수를 만들어 보자.
tabs <- function(x){
data.frame( '평균' = mean(x),
'변수갯수' = length(x),
'최고값' = max(x),
'최저값' = min(x)
)
}
tabs(my_vector)## 평균 변수갯수 최고값 최저값
## 1 25.5 50 50 1
그럼 이를 이용해서, 다음을 해석해 보자
4.4 반복문, vectorization, functionals
4.4.1 for loop
1a, 2a, 3a, 4a, 5a, 6a, 7a, 8a, 9a, 10a 을 만들어보자, 어떻게 하면될까?
## [1] "1a" "2a" "10a"
반목문을 사용하면, 아래와 같다.
## [1] "1a"
## [1] "2a"
## [1] "3a"
## [1] "4a"
## [1] "5a"
## [1] "6a"
## [1] "7a"
## [1] "8a"
## [1] "9a"
## [1] "10a"
물론 대부분 이렇게 사용하지만, 반복문을 사용하여 확장할 수 있다.
## [1] "1a" "2a" "3a" "4a" "5a" "6a" "7a" "8a" "9a" "10a"
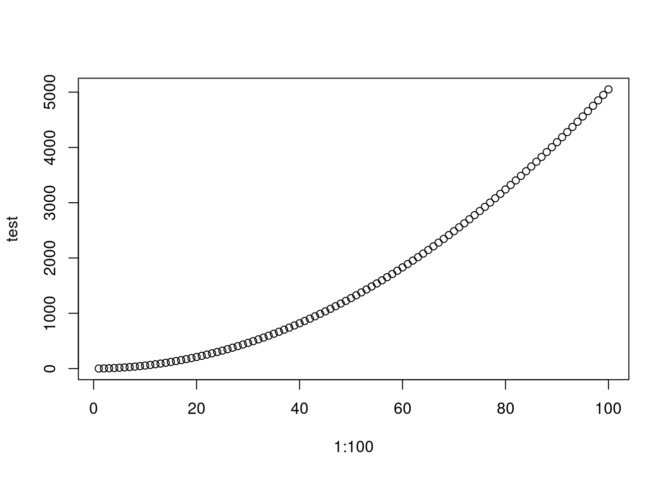
1:n까지의 숫자 합을 만들어보자, 그리고 이를 1부터 100일때 까지 만들고 그림을 그려보자
## [1] 55

4.4.2 vectorization 과 apply 구문
사실 ifelse 를 잘 사용하지 않는다. 이는 속도의 문제와도 관련된다. 실제 ifesel 로 10분이 걸리는 연산이 1분으로 줄수도 있다. 이때 사용하게 되는 것이 백터화와 apply 구문이다. 이미 past0(1:10,“a”) 같은 구문이 편할 수 있다는 것을 느꼈을 것이다. 이번에는 구구단 2단과 3단을 서로 곱해보자. 어떻게 하면 좋을까 for와 if를 생각하기 보다 아래를 고려해 보자. 아래가 백터화이다.
## [1] 6 24 54 96 150 216 294 384 486
2단에 3단이 아닌 다른 단을 곱하는 함수를 사용해 보자
## [1] 8 32 72 128 200 288 392 512 648
그럼 3단 대신에 1, 2, 3, 4, 5, 6, 7, 8, 9 단을 모두 해보자
## [,1] [,2] [,3] [,4] [,5] [,6] [,7] [,8] [,9]
## [1,] 2 4 6 8 10 12 14 16 18
## [2,] 8 16 24 32 40 48 56 64 72
## [3,] 18 36 54 72 90 108 126 144 162
## [4,] 32 64 96 128 160 192 224 256 288
## [5,] 50 100 150 200 250 300 350 400 450
## [6,] 72 144 216 288 360 432 504 576 648
## [7,] 98 196 294 392 490 588 686 784 882
## [8,] 128 256 384 512 640 768 896 1024 1152
## [9,] 162 324 486 648 810 972 1134 1296 1458
상기 행렬을 만들기위해 ifelse를 사용하거나 for 문을 사용하면 좀더 머리가 복잡해 질 수 있다. apply 구문은 확실히 머리가 가벼워진다. tidyverse 부분을 할 때 apply, lapply, tapply, mapply, vaply, replicate등을 다루게 될 것이다.