19  More Bayesian Analyis of a Numerical Variable

Example 19.1 How late do people arrive at parties? FiveThirtyEight conducted a survey to address this question. We’ll assume this is a reasonably representative sample and arrival times are measured reliably. Arrival times are measured in minutes after the scheduled start time, rounded to the nearest minute. (Negative arrival times represent arrivals before the scheduled start time.)

  1. What would you expect the population distribution of party arrival times to look like? For example, what percent of arrivals would you expect to be early (negative)? Later than two hours? What would you expect of other features like shape, center, and variability?




  2. We will start by assuming that, given the values of relevant parameters, arrival times follow a conditional Normal distribution. Describe what this assumption says about arrival times. What are the relevant parameters, and what do they represent? (We will revisit this conditional Normal assumption later, but go with it for now.)




  3. Suggest a prior distribution. Explain your reasoning.




  4. Describe how you could simulate the prior predictive distribution.




  5. This applet conducts the simulation from the previous part. Move the sliders to enter your prior mean and SD for \(\mu\) and \(\sigma\). Does the distribution of arrival times seem reasonable based on your expectations? For example, what percent of arrivals are early (negative), or later than two hours — and do these values seem reasonable? If not, revise your assumptions and try again (i.e., play with the sliders in the applet) until you find a distribution that is reasonable. Do not worry about getting it perfect; you just want to settle on assumptions that provide a reasonable starting point. (The assumptions include both the conditional Normal model for arrival times and the prior distribution of parameters. For now we are focusing on the prior distribution, so take the conditional Normal model as given. We’ll revisit that assumption later.)




Example 19.2 Section 19.1.2 summarizes the FiveThirtyEight sample1 of 803 arrival times (rounded to the nearest minute).

We should always first explore the sample data, but to illustrate a point we will not do that yet. Instead, we’ll skip straight to fitting the model.

  1. Use brms to fit the model and summarize the posterior distribution. Briefly describe the posterior distribution.




  2. Simulate the posterior predictive distribution. Briefly describe the posterior predictive distribution.




  3. Perform a visual posterior predictive check. What does the posterior predictive check say about the appropriateness of our model? Could any problems be fixed by switching from a Normal to a \(t\) likelihood?




Example 19.3 The sample data suggests a model that allows for skewness would be more appropriate than Normal. This primarily results in a change of the likelihood function. There are several likelihood functions we can use, but we’ll try a Skew Normal family, which introduces an additional skewness parameter \(\alpha\). Since \(\alpha\) is a parameter it also needs a prior distribution. Rather than redoing our prior predictive tuning, we’ll rely on the fact that software packages like brms can utilize default priors.

  1. Use brms to fit the skew Normal model, letting brms choose the prior for \(\alpha\) (but specifying the priors for \(\mu\) and \(\sigma\) as before). What prior does brms use?




  2. Summarize and describe the posterior distribution.




  3. Use simulation to approximate the posterior predictive distribution. Summarize and describe the posterior predictive distribution.




  4. Perform a visual posterior predictive check. What does the posterior predictive check say about the appropriateness of the model? Which model seems to be a better fit for the data: likelihood based on Normal or Skew-Normal?




  5. Fit the model to the data in brms using the skew_normal family but letting brms choose the prior for all parameters. What prior does brms choose? Is the posterior sensitive to the choice of prior?




  6. Are the posterior distributions of parameters skewed or relatively symmetric? Is the posterior predictive distribution skewed or relatively symmetric?




  7. Write a few sentences summarizing the conclusions of the Bayesian model in context.




19.1 Notes

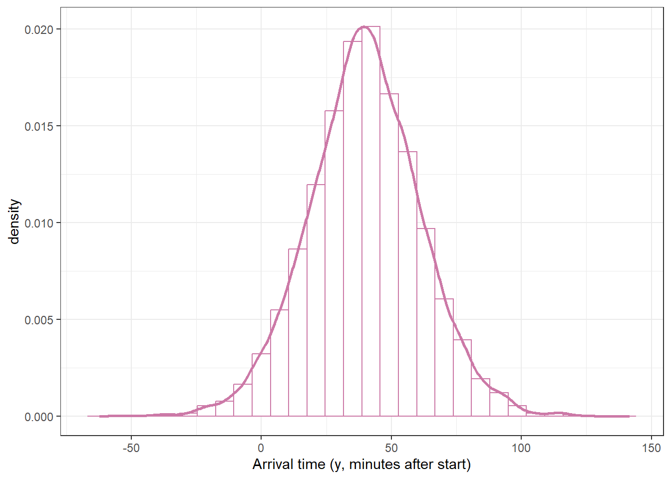
19.1.1 Prior predictive distribution (Normal likelihood)

n_rep = 10000

mu_sim = rnorm(n_rep, 40, sd = 7)

sigma_sim = pmax(0.001, rnorm(n_rep, 20, 5))

y_sim = rnorm(n_rep, mu_sim, sigma_sim)

ggplot(data.frame(y_sim),
       aes(x = y_sim)) + 
  geom_histogram(aes(y = after_stat(density)),
                 col = bayes_col["prior_predict"],
                 fill = "white") +
  geom_density(col = bayes_col["prior_predict"],
               linewidth = 1) +
  labs(x = "Arrival time (y, minutes after start)") +
  theme_bw()

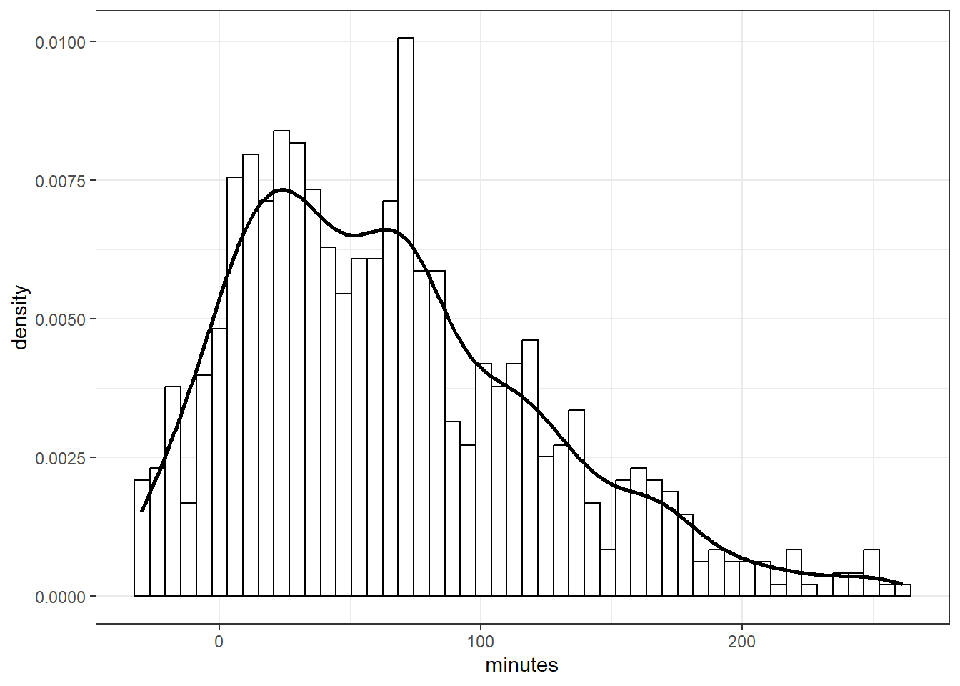
19.1.2 Sample data

data = read_csv("party-time.csv")
Rows: 803 Columns: 1
── Column specification ────────────────────────────────────────────────────────
Delimiter: ","
dbl (1): minutes

ℹ Use `spec()` to retrieve the full column specification for this data.
ℹ Specify the column types or set `show_col_types = FALSE` to quiet this message.
head(data)
# A tibble: 6 × 1
  minutes
    <dbl>
1     -10
2     -12
3     -18
4     -21
5     -15
6      -9
summary(data$minutes)
   Min. 1st Qu.  Median    Mean 3rd Qu.    Max. 
 -30.00   21.00   58.00   65.48  101.00  261.00 
sd(data$minutes)
[1] 58.20041
ggplot(data,
       aes(x = minutes)) +
  geom_histogram(aes(y = after_stat(density)),
                 bins = 50,
                 col = "black", fill = "white") +
  geom_density(linewidth = 1) +
  theme_bw()

19.1.3 Posterior distribution (Normal likelihood)

library(brms)
Loading required package: Rcpp
Loading 'brms' package (version 2.21.0). Useful instructions
can be found by typing help('brms'). A more detailed introduction
to the package is available through vignette('brms_overview').

Attaching package: 'brms'
The following object is masked from 'package:stats':

    ar
library(tidybayes)

Attaching package: 'tidybayes'
The following objects are masked from 'package:brms':

    dstudent_t, pstudent_t, qstudent_t, rstudent_t
library(bayesplot)
This is bayesplot version 1.11.1
- Online documentation and vignettes at mc-stan.org/bayesplot
- bayesplot theme set to bayesplot::theme_default()
   * Does _not_ affect other ggplot2 plots
   * See ?bayesplot_theme_set for details on theme setting

Attaching package: 'bayesplot'
The following object is masked from 'package:brms':

    rhat
fit <- brm(data = data,
           family = gaussian,
           minutes ~ 1,
           prior = c(prior(normal(40, 7), class = Intercept),
                     prior(normal(20, 5), class = sigma)),
           iter = 3500,
           warmup = 1000,
           chains = 4,
           refresh = 0)
Compiling Stan program...
Start sampling
summary(fit)
 Family: gaussian 
  Links: mu = identity; sigma = identity 
Formula: minutes ~ 1 
   Data: data (Number of observations: 803) 
  Draws: 4 chains, each with iter = 3500; warmup = 1000; thin = 1;
         total post-warmup draws = 10000

Regression Coefficients:
          Estimate Est.Error l-95% CI u-95% CI Rhat Bulk_ESS Tail_ESS
Intercept    63.62      1.90    59.89    67.31 1.00     7925     6536

Further Distributional Parameters:
      Estimate Est.Error l-95% CI u-95% CI Rhat Bulk_ESS Tail_ESS
sigma    55.63      1.26    53.19    58.16 1.00     8029     5966

Draws were sampled using sampling(NUTS). For each parameter, Bulk_ESS
and Tail_ESS are effective sample size measures, and Rhat is the potential
scale reduction factor on split chains (at convergence, Rhat = 1).
plot(fit)

pairs(fit,
      off_diag_args = list(alpha = 0.1))

posterior = fit |>
  spread_draws(b_Intercept, sigma) |>
  rename(mu = b_Intercept)

posterior |> head(10) |> kbl() |> kable_styling()
.chain .iteration .draw mu sigma
1 1 1 65.02298 55.31455
1 2 2 60.92569 57.07551
1 3 3 67.84054 55.26640
1 4 4 64.99232 54.94991
1 5 5 62.73370 56.72687
1 6 6 63.22659 56.69350
1 7 7 64.23976 54.95613
1 8 8 64.38425 54.61429
1 9 9 61.26003 55.34205
1 10 10 61.87223 56.32483

19.1.4 Posterior predictive distribution (Normal likelihood)

n_rep = nrow(posterior)

posterior <- posterior |>
  mutate(y_sim = rnorm(n_rep,
                       mean = posterior$mu,
                       sd = posterior$sigma))

posterior |> head(10) |> kbl() |> kable_styling()
.chain .iteration .draw mu sigma y_sim
1 1 1 65.02298 55.31455 63.927464
1 2 2 60.92569 57.07551 24.429415
1 3 3 67.84054 55.26640 115.485023
1 4 4 64.99232 54.94991 -9.153019
1 5 5 62.73370 56.72687 70.348386
1 6 6 63.22659 56.69350 70.117555
1 7 7 64.23976 54.95613 46.968762
1 8 8 64.38425 54.61429 10.376603
1 9 9 61.26003 55.34205 39.564128
1 10 10 61.87223 56.32483 94.967298
ggplot(posterior,
       aes(x = y_sim)) +
  geom_histogram(aes(y = after_stat(density)),
                 col = bayes_col["posterior_predict"], fill = "white", bins = 100) +
  geom_density(linewidth = 1, col = bayes_col["posterior_predict"]) +
  labs(x = "Arrival time (minutes after start)") +
  theme_bw()

# plot the cdf
ggplot(posterior,
       aes(x = y_sim)) + 
  stat_ecdf(col = bayes_col["prior_predict"],
            linewidth = 1) +
  labs(x = "Arrival time (minutes after start)",
       y = "cdf") +
  theme_bw()

quantile(posterior$y_sim, c(0.005, 0.995))
     0.5%     99.5% 
-80.72404 205.14377 

19.1.5 Posterior predictive checking (Normal likelihood)

pp_check(fit, ndraw = 100)

pp_check(fit, ndraw = 100, type = "ecdf_overlay")

19.1.6 Posterior distribution (Skew-Normal likelihood)

fit <- brm(data = data,
           family = skew_normal,
           minutes ~ 1,
           prior = c(prior(normal(40, 7), class = Intercept),
                     prior(normal(20, 5), class = sigma)),
           iter = 3500,
           warmup = 1000,
           chains = 4,
           refresh = 0)
Compiling Stan program...
Start sampling
prior_summary(fit)
         prior     class coef group resp dpar nlpar lb ub  source
  normal(0, 4)     alpha                                  default
 normal(40, 7) Intercept                                     user
 normal(20, 5)     sigma                             0       user
summary(fit)
 Family: skew_normal 
  Links: mu = identity; sigma = identity; alpha = identity 
Formula: minutes ~ 1 
   Data: data (Number of observations: 803) 
  Draws: 4 chains, each with iter = 3500; warmup = 1000; thin = 1;
         total post-warmup draws = 10000

Regression Coefficients:
          Estimate Est.Error l-95% CI u-95% CI Rhat Bulk_ESS Tail_ESS
Intercept    61.30      1.76    57.90    64.75 1.00     6030     6494

Further Distributional Parameters:
      Estimate Est.Error l-95% CI u-95% CI Rhat Bulk_ESS Tail_ESS
sigma    54.75      1.31    52.27    57.40 1.00     5397     6267
alpha     5.19      0.68     3.99     6.66 1.00     6015     5680

Draws were sampled using sampling(NUTS). For each parameter, Bulk_ESS
and Tail_ESS are effective sample size measures, and Rhat is the potential
scale reduction factor on split chains (at convergence, Rhat = 1).
plot(fit)

pairs(fit,
      off_diag_args = list(alpha = 0.1))

posterior = fit |>
  spread_draws(b_Intercept, sigma, alpha) |>
  rename(mu = b_Intercept)

posterior |> head(10) |> kbl() |> kable_styling()
.chain .iteration .draw mu sigma alpha
1 1 1 61.14092 53.58990 5.141311
1 2 2 59.82107 55.95199 5.327699
1 3 3 61.04911 52.08854 4.153378
1 4 4 58.84429 55.56491 5.909929
1 5 5 59.31336 54.05318 6.806539
1 6 6 57.72592 55.37278 5.847652
1 7 7 60.52559 54.32741 5.343750
1 8 8 59.47829 55.14924 5.466411
1 9 9 61.26679 53.03494 5.763313
1 10 10 59.42221 54.83531 5.288244

19.1.7 Posterior predictive distribution (Skew-Normal likelihood)

posterior_predict simulates a sample of size 803 for each of the 10000 simulated \((\mu, \sigma, \alpha)\) triples from the posterior distribution, resuling in a 10000 x 803 matrix.

y_predict = posterior_predict(fit)

y_predict[1:5, 1:5]
          [,1]      [,2]      [,3]       [,4]       [,5]
[1,]  95.76681  52.87998  19.36111  67.996502 55.8700750
[2,]  78.47290 129.68699  46.94753 238.718608 -0.9809806
[3,] 110.50418  17.12719 152.60890  21.829781 -0.4454336
[4,] 136.53967  98.71127  67.16218  -3.115918 69.4129385
[5,] 121.13833  80.83180 141.74894  69.710591 18.4639068

We’ll just select the first column to get 10000 simulated \(y\) values.

y_predict = data.frame(y_sim = y_predict[, 1])
ggplot(y_predict,
       aes(x = y_sim)) +
  geom_histogram(aes(y = after_stat(density)),
                 col = bayes_col["posterior_predict"], fill = "white", bins = 100) +
  geom_density(linewidth = 1, col = bayes_col["posterior_predict"]) +
  labs(x = "Predicted arrival time (minutes after start)") +
  theme_bw()

# plot the cdf
ggplot(y_predict,
       aes(x = y_sim)) + 
  stat_ecdf(col = bayes_col["prior_predict"],
            linewidth = 1) +
  labs(x = "Arrival time (minutes after start)",
       y = "cdf") +
  theme_bw()

quantile(y_predict$y_sim, c(0.005, 0.995))
     0.5%     99.5% 
-33.97992 239.61983 

19.1.8 Posterior predictive checking (Skew-Normal likelihood)

pp_check(fit, ndraw = 100)

pp_check(fit, ndraw = 100, type = "ecdf_overlay")

19.1.9 Default brms priors (Skew-Normal likelihood)

fit <- brm(data = data,
           family = skew_normal(),
           minutes ~ 1,
           iter = 3500,
           warmup = 1000,
           chains = 4,
           refresh = 0)
Compiling Stan program...
Start sampling
prior_summary(fit)
                  prior     class coef group resp dpar nlpar lb ub  source
           normal(0, 4)     alpha                                  default
 student_t(3, 58, 57.8) Intercept                                  default
  student_t(3, 0, 57.8)     sigma                             0    default
summary(fit)
 Family: skew_normal 
  Links: mu = identity; sigma = identity; alpha = identity 
Formula: minutes ~ 1 
   Data: data (Number of observations: 803) 
  Draws: 4 chains, each with iter = 3500; warmup = 1000; thin = 1;
         total post-warmup draws = 10000

Regression Coefficients:
          Estimate Est.Error l-95% CI u-95% CI Rhat Bulk_ESS Tail_ESS
Intercept    65.23      2.08    61.37    69.47 1.00     5282     4964

Further Distributional Parameters:
      Estimate Est.Error l-95% CI u-95% CI Rhat Bulk_ESS Tail_ESS
sigma    58.59      1.65    55.45    61.99 1.00     5142     5357
alpha     5.74      0.78     4.37     7.43 1.00     5634     4362

Draws were sampled using sampling(NUTS). For each parameter, Bulk_ESS
and Tail_ESS are effective sample size measures, and Rhat is the potential
scale reduction factor on split chains (at convergence, Rhat = 1).
plot(fit)

pairs(fit,
      off_diag_args = list(alpha = 0.1))

pp_check(fit, ndraw = 100)

y_predict = posterior_predict(fit)

y_predict = data.frame(y_sim = y_predict[, 1])
ggplot(y_predict,
       aes(x = y_sim)) +
  geom_histogram(aes(y = after_stat(density)),
                 col = bayes_col["posterior_predict"], fill = "white", bins = 100) +
  geom_density(linewidth = 1, col = bayes_col["posterior_predict"]) +
  labs(x = "Predicted arrival time (minutes after start)") +
  theme_bw()

# plot the cdf
ggplot(y_predict,
       aes(x = y_sim)) + 
  stat_ecdf(col = bayes_col["prior_predict"],
            linewidth = 1) +
  labs(x = "Arrival time (minutes after start)",
       y = "cdf") +
  theme_bw()

quantile(y_predict$y_sim, c(0.005, 0.995))
     0.5%     99.5% 
-32.32382 255.38655 

19.1.10 Code for Shiny app

Here is some code for creating a rough applet that you can embed within an RMarkdown file by adding runtime: shiny to the YAML metadata; see Shiny Documents. (This code is not evaluated; you would need to run it on your own.)

sliderInput("mu_prior_mean", "Prior mean of mu:", value = 10, min = -60, max = 120)

sliderInput("mu_prior_sd", "Prior SD of mu:", value = 10, min = 5, max = 120)

sliderInput("sigma_prior_mean", "Prior mean of sigma:", value = 10, min = 5, max = 120)

sliderInput("sigma_prior_sd", "Prior SD of sigma:", value = 10, min = 5, max = 120)

renderPlot({
  
  n_rep = 10000
  
  sim_prior = data.frame(
    mu = rnorm(n_rep, input$mu_prior_mean, input$mu_prior_sd),
    sigma = rgamma(n_rep,
                   shape = input$sigma_prior_mean ^ 2 / input$sigma_prior_sd ^ 2,
                   rate = input$sigma_prior_mean / input$sigma_prior_sd ^ 2)) %>%
    mutate(y_predict = rnorm(n_rep, mu, sigma))
  
  p1 = sim_prior %>%
    ggplot(aes(x = y_predict)) +
    geom_density(col = bayes_col[4]) +
    labs(x = "Arrival time (minutes)",
         title = "Simulated prior predictive distribution of arrival times: Density") +
    scale_x_continuous(breaks = seq(-60, 180, by = 30),
                         limits = c(-60, 180)) +
    theme_bw()

  p2 = sim_prior %>%
    ggplot(aes(x = y_predict)) +
    stat_ecdf(col = bayes_col[4]) +
    labs(x = "Arrival time (minutes)",
         y = "Cumulative probability",
         title = "Simulated prior predictive distribution of arrival times: CDF") +
    scale_x_continuous(breaks = seq(-60, 180, by = 30),
                         limits = c(-60, 180)) +
    theme_bw()
  
  grid.arrange(p1, p2)
    
})

  1. We couldn’t find the raw FiveThirtyEight data online, so this data was constructed to match the histogram in the article.↩︎