Capítulo 3 Nosométrica


(ref:mico) Rafael V. Monteiro, Dietz, Raboy, et al. (2007) (ref:rriskodd) Ranganathan, Aggarwal, and Pramesh (2015)

Como vimos no Capítulo 2 nós definimos quem está doente a partir do que consideramos que é normal, em todos os aspectos biológicos: valores e parâmetros orgânicos e fisiológicos, composição de microbiota, comportamento, entre vários outros fatores comumente utilizados para definição da normalidade entre os animais. A partir da definição da normalidade podemos comparar os resultados apresentados pelos animais doentes e estabelecer parâmetros importantes para executarmos diagnóstico adequado, tratamento eficiente, controle de disseminação e prevenção de ocorrência das doenças. Para que isso aconteça um ponto deve ser ressaltado: a importância de qualquer pesquisador efetuar uma anotação cuidados de seus dados, permitindo que ele possam ser usados por qualquer outro colega que deles precise. A partir da anotação cuidadosa de casos clínicos, anormalidades de necrópsia, eventos e situações envolvidas em mortalidades animais, todos são fonte de dados que precisam de registro homogêneo na forma, fidedigno no conteúdo e representativo da situação em questão. Por exemplo, faz diferença em uma necrópsia se o campo destinado ao fígado é deixado em branco, ou tem presente a anotação “Fígado: nada digno de nota”. No primeiro caso não podemos saber se o Médico Veterinário examinou o fígado ou não, já no segundo temos certeza que ele o examinou e não encontrou nada macroscopicamente que aparentasse alteração. Lacunas não são informação!

3.1 Frequência de ocorrência da doença

Desde Hipócrates a epidemiologia reconhece que as doenças podem ser caracterizadas de acordo com sua frequência de ocorrência em uma dada localidade. Tal localidade pode ser compreendida como o espaço geográfico limitado pela ocorrência da doença, seja um bairro, propriedade, município, estado, país ou outra unidade de interesse que seja representativa da área de ocorrência da doença. Note-se que quando nos referimos a frequência também deve ser estabelecido em que intervalo de tempo estamos nos referindo à ocorrência da doença. Diferentes escalas de tempo podem ser usadas para agrupar os casos e referenciar a ocorrência da doença (vide a seção seguinte, 3.2.1). Neste sentido, a epidemiologia moderna reconhece as seguintes categorias de frequência de ocorrência de doenças (Bonita, Beaglehole, and Kjellström 2010):

  • Endemia/Enzootia: Refere-se a uma doença que ocorre normalmente em uma certa frequência no tempo e espaço geográfico referido. Ocorrência típica de infecções transmitidas por hospedeiros invertebrados, ou transmissíveis sexualmente, ou ainda associadas a alimentos ingeridos pelos animais. No Brasil, por exemplo, a Anemia Infecciosa Equina é enzoótica de determinadas regiões alagadas, devido a transmissão por invertebrados.

  • Epidemia/Epizootia: Refere-se a uma doença que apresenta um aumento na frequência de casos em relação a sua frequência de ocorrência normal no espaço geográfico referido. Uma epizootia pode ocorrer em uma área já enzoótica, ou em uma nova área de ocorrência. Por exemplo, a leptospirose é endêmica em quase qualquer região onde as populações de roedores abundem, mas epidemias (ou surtos, vide abaixo) ocorrem em épocas de grandes chuvas que acarretem alagamentos e um aumento do contato de animais com a urina contaminada de tais roedores.

  • Pandemia/Panzotia: Uma epidemia que atinge o mundo inteiro.

  • Surto: Um aumento no número de casos, ocorrendo em espaço cronológico e geográfico limitado. São poucos casos, limitados a um dado local.

  • Doença esporádica: Um caso ou outro, ocorrendo pontualmente. Este tipo de frequência é típica de animais que viajam para áreas endêmicas para determinada doença, contaminam-se e retornam a sua residência (em áreas não-endêmicas), lá sendo diagnosticados. No Brasil, a ocorrência de Leishmaniose visceral ou cutânea em áres não endêmicas frequentemente segue este padrão.

3.2 Medidas da presença da doença

Os indicadores de que falaremos aqui são utilizados com o objetivo de estimar qual o impacto que um determinado microorganismo ou doença tem sobre uma determinada população hospedeira. A Figura 3.1 demonstra quais as proporções mais utilizadas em índices epidemiológicos. Eles estimam determinados parâmetros que são utilizados para não só podermos diagnosticar e tratar as afecções que possam se apresentar mas também para subsidiar ações de prevenção e controle destas afecções. Os mesmos parâmetros também podem ser utilizados para a construção ou abastecimento de informações de modelos matemáticos preditivos. Vamos a eles.

Algoritmo de desmembramento dos diferentes tipos de razão entre variáveis que podemos utilizar na medida das doenças, bem como exemplos de cada um dos casos. Baseado e modificado a partir de Grimes and Schulz (2002).

Figura 3.1: Algoritmo de desmembramento dos diferentes tipos de razão entre variáveis que podemos utilizar na medida das doenças, bem como exemplos de cada um dos casos. Baseado e modificado a partir de Grimes and Schulz (2002).

3.2.1 Contagem dos casos: em um dado período de tempo

A Contagem de Casos é o mais simples indicador de doença utilizado pela epidemiologia porquê não requer conhecimento da população hospedeira, apenas uma certa limitação de tempo cronológico e espaço geográfico. Ela baseia-se na totalização do número de casos registrados de uma doença em uma janela geográfica-espacial limitada e conhecida. Por exemplo, qualquer clínica de pequenos animais sabe quais são as doenças mais comuns relativamente ao local em que ela está estabelecida e à época do ano em que estiver acontecendo o atendimento. Digamos que a quantidade de cães com tosse que vão à uma determinada clínica seja maior no inverno do que no verão, se ela estiver em um localidade fria e úmida no inverno. Já outra clínica pode ter mais casos de leptospiroses no verão do que no inverno, se estiver em região chuvosa e alagadiça. Estes exemplos podem ser extrapolados para qualquer local e época do ano que a criação animal esteja: existe uma determinada frequência de ocorrência de doenças modulada pelos fatores abióticos e bióticos locais. Quando, por algum motivo infeccioso ou ambiental, há uma modificação gradual ou brusca da frequência de ocorrência de uma doença, nós podemos caracterizar tal crescimento (ou decréscimo) comparando com o histórico local e sazonal da doença. Note que há implícito na comparação por contagem de casos uma “normalidade” de ocorrência da doença, ou uma “referência” à qual compararmos, mesmo que a normalidade seja não haver casos da doença no local, na época. Mais ainda, a frequência de doenças que é normal em uma região pode ser extremamente alta ou baixa em relação a outras regiões: quais são os fatores que estão interferindo para que exista esta diferença no número de casos da doença entre estes locais?

Em termos de referência de tempo cronológico, esta deve ser colocada em uma escala que faça sentido epidemiologicamente. Se a contagem dos casos da doença é da ordem de dezenas por semana com um curso clínico de duas semanas, não faz sentido falar totalizar a contagem de casos por ano, sob pena de demorarmos muito para reagir à doença. Já se a doença é de curso clínico longo, talvez seja absolutamente lógico falar em casos a cada 10 anos. Em termos de detecção epizootiológica é razoável uma totalização de casos semanais, os quais podem facilmente ser re-agrupados em escalas de tempo maiores à necessidade do pesquisador. Frequentemente é um aumento súbito na contagem de casos de uma determinada doença, afecção, ou mesmo espécie animal afetada que deflagra o alerta epidemiológico de agências de saúde animal ou humana. No Brasil o aumento da morte de bugios (primatas neotropicais do gênero Alouatta) em florestas é sinal reconhecido que antecipa epidemias de Febre Amarela em humanos na mesma região (Romano et al. 2017).

Já a referência geoespacial também deve ser utilizada uma unidade que permita termos de comparação sazonal e faça sentido localmente. Assim podemos falar em casos por clínica, por bairro, por fazenda, por cidade, por região produtora, por estado, e assim sucessivamente. Entretanto, para detecção de doenças, as escalas de pequeno e médio tamanho são mais úteis quando da ocorrência de surtos e epidemias, por deixarem geograficamente mais claro aonde os casos estão ocorrendo, o que permite melhor caracterização das condições locais associadas à ocorrência do maior número de casos. A detecção do local de ocorrência dos casos é igualmente importante em pequenas escalas de criação: podemos associar uma maior ocorrência de casos da doença a determinados galpões, salas de criação, baias, canis, ou outra unidade de criação que faça sentido para o Médico Veterinário. Esta localização é que permite uma tentativa de identificação dos fatores que possam estar envolvidos no maior número de casos da doença nestes locais, em qualquer escala que seja.

A contagem de casos é uma referência epidemiológica válida, porém limitada em sua capacidade de representação da importância epidemiológica de determinada doença, já que não permite saber qual a população afetada pela morbidade. Ela também não permite fazer nenhuma inferência de quando o caso detectado se estabeleceu no animal, quando houve a infecção: ele apenas é um registro de encontro, o qual pode ser modificado para cima por outras causas, como pelo método de detecção ou pela intensidade de busca dos casos, além da duração da infecção. A contagem de casos também não fornece muitos subsídios para o estudo dos fatores abióticos e bióticos associados à doença, cuja correta identificação é que permite o estabelecimento de ações de prevenção e controle da afecção. Para que possamos esclarecer cientificamente a que fatores a doença clínica mais grave ou sua própria ocorrência está ligada precisamos ter indicadores melhores, que nos permitam caracterizar tais fatores, por conseguinte, interferir individual ou populacionalmente sobre os efeitos da doença.

3.2.3 Incidência: Contagem de novos casos em uma população conhecida em um tempo determinado

A terceira forma, e mais refinada, de aferirmos a trajetória e impacto epidemiológica de uma determinada doença ou parasito sobre uma população(-ções) é quando somos capazes de acompanhar, individualmente, os hospedeiros desta população e caracterizar quando eles tornaram-se positivos para o parasito e para a doença em análise. Este indicador assinala o número de novos casos da doença que ocorrem nesta população conhecida em um intervalo de tempo escolhido, na forma da Equação (3.2) abaixo. Veja que neste nível de acompanhamento de doença, parasito e população hospedeira muito já se conhece da doença e que estima-se esteja associada à infecção do parasito no hospedeiro estudado. Desenhos epizootiológicos específicos para obtermos este tipo de estimado de impacto de doença em uma população são demonstrados no Capítulo 8.

Estes simples requerimentos acima estabelecidos:

  1. hospedeiros individualizados;

  2. acompanhados durante um período de tempo em que possamos caracterizar que a infecção ou a doença ocorreram;

não são simples de realizar em animais de uma forma geral. Em situações de cativeiro (confinamentos de qualquer ordem, laboratórios) é prático, realizável e recomendável fazermos tais acompanhamentos, desde que possamos marcar os animais (vide Capítulo 9). Mas em populações de vida livre, em criações extensivas e semi-extensivas, tais requerimentos são bem mais difíceis de atingir. E são completamente impossíveis de realizar em qualquer população que não haja possibilidade de marcar inequivocamente o animal estudado.

Por acompanhamento desta população conhecida e marcada entendemos que exames de diagnóstico específicos para a afecção ou parasito sendo estudado são realizados em intervalos de tempo equivalentes ou similares entre si, para que sejam comparáveis. Assim, coletas mensais podem flutuar em sua data de realização ligeiramente dentro de cada mês, por exemplo, devido a contingências de calendário, clima, estação do ano ou transporte, por exemplo. Mas o pesquisador deve tentar manter um intervalo de cerca de 30 dias entre coletas sucessivas. Flutuações de até uma semana seriam razoáveis neste caso em particular, com os intervalos entre coletas oscilando entre 23 a 37 dias. Já se as coletas são semestreis ou anuais, intervalos entre coletas oscilando entre 15 dias a um mês seriam razoáveis. É recomendável que o intervalo de tempo no qual os casos são acompanhados e registrados englobe a totalidade do ciclo cronológico que se estime, ou saiba efetivamente, que a doença dure, para aumentarmos a chance de detectarmos animais tornando-se positivos para parasito e/ou doença.

A incidência é um indicador de quão veloz é o estabelecimento de novos casos naquela população. Neste sentido ele pode ser calculado como proporção ou como uma taxa, na dependência da frequência de acompanhamento feito sobre a população animal monitorada. Caso o acompanhamento seja feito com uma frequência de análise do tipo “ponto final” (end-point), uma população de animais inicialmente negativos para a doença/parasito, mas sob risco de infecção, seria novamente analisada ao final do tempo de acompanhamento estabelecido previamente. Nestes casos o índice correto a se utilizar é o de Proporção de Incidência, ou seja, a proporção da população acompanhada que tornou-se positiva para a característica durante o período de monitoramento. Note-se que a proporção deve ser calculada sobre o denominador do número de animais efetivamente analisado ao final do experimento e não do número de animais que começou o experimento. Perdas durante o acompanhamento, naturais de ocorrerem em boa parte dos experimentos longitudinais, devem ser descartadas do denominador. Digamos que um pesquisador acompanhe 100 bezerros inicialmente negativos para infestação por helmintos tricostrongilídeos por um ano. Ao final deste ano ele avalia os animais novamente e verifica que 40 deles foram infectados; estes são sabidamente novos casos. A proporção de incidência neste caso é de 40% por ano entre tais bezerros. Observe que a referência cronológica é fundamental e obrigatória em qualquer referência à incidência (por ano neste caso), seja proporção ou taxa.

\[\begin{equation} Inc = \frac{NC}{Pop_T}\tag{3.2} \end{equation}\]

Onde Inc: Proporção de Incidência; NC: Novos casos da doença detectados no período considerado; Popt: Número de animais analisados no final do período de acompanhamento.

Quando o acompanhamento dos animais inclui a realização de várias estações de coleta ou acompanhamento durante o período total de monitoramento, nós já podemos estabelecer uma Taxa de Incidência. Esta taxa pesa as proporções de incidência entre as várias estações de coleta, estimando com mais acurácia a evolução da doença naquela população. Como é uma taxa média através de várias estações de coleta ela permite uma melhor estimativa do número de animais efetivamente acompanhado entre cada estação de coleta. Assim, a cada nova análise, o tempo efetivamente sob acompanhamento de casos ou animais desaparecidos é estimado com base na metade do tempo entre estações de coleta. Se eu acompanho 100 animais no começo do experimento e 95 se apresentam ao final do primeiro ano de acompanhamento, eu considero que os cinco animais desaparecidos foram acompanhados durante metade do ano, ou seja, 2,5 animais foram acompanhados durante um ano. Considere a Tabela 3.1.

A partir dos dados nela representados podemos acompanhar a gradual involução da coorte acompanhada devido à perda de animais e a casos de câncer de mama nos animais acompanhados. Com esta abordagem podemos corrigir para estes fatores e calcular a incidência de câncer de mama em cadelas da idade acompanhada com mais acurácia, na forma da Equação (3.3):

\[\begin{equation} Inc = \frac{8}{466,75} = \frac{0,01714}{5} = 0,003428 \tag{3.3} \end{equation}\] Ou seja, 0,3428% casos de câncer de mama por ano ou 34,28 casos de câncer de mama a cada 10.000 cadelas observadas por ano.

Tabela 3.1: Resultados após 5 anos de acompanhamento de cadelas monitoradas para o aparecimento de câncer de mama (dados fictícios).
Ano de Acompanhamento Animais Perdidos Casos da Doença Total de Animais Acompanhados no ano
1 2 0 100 - (2 * 0,5) - (0 * 0,5) = 99
2 2 1 98 - (2 * 0,5) - (1 * 0,5) = 96,75
3 1 2 95 - (1 * 0,5) - (2 * 0,5) = 93,75
4 1 2 92 - (1 * 0,5) - (2 * 0,5) = 90,75
5 2 3 89 - (2 * 0,5) - (3 * 0,5) = 86,5
5 anos de acompanhamento 8 animais perdidos 8 casos de câncer de mama 466,75 animais acompanhados em 5 anos.

Observe que a prevalência é um indicador resultante da incidência e da duração da doença ou da infecção: \(Prev = Inc \times Dur\). Quando nos referimos a soroprevalência, por exemplo, nós podemos ajustar a mesma equação, substituindo a duração da infecção por duração da sororeatividade. O valor desta última variável também será dependente das características de sensibilidade e especificidade do tipo de teste sorológico a ser utilizado, evidentemente (vide Capítulo 7). Quanto maior a incidência da doença mais prematuro será o pico de prevalência, tanto no tempo quanto na idade dos animais infectados. Este fenômeno é chamado peak shift, o desvio do momento do pico da infecção quanto maior for a incidência (Woolhouse 1998). Tal fenômeno foi caracterizado em várias doenças e populações hospedeiras, como nos micos leões dourados infectados por Trypanosoma cruzi (Rafael V. Monteiro, Dietz, Raboy, et al. 2007), conforme a Figura 3.2.

Gráfico demonstrando a variação da frequência de soropositividade para Trypanosoma cruzi com a idade de Micos leões dourados e de cara dourada, respectivamente Leontophitecus rosalia e Leontopithecus chrysomellas. A prevalência média da infecção em Micos leões dourados oscilava entre 45-55% dependendo da população. Já a prevalência na população de Micos leões de cara dourada chegava a 85% da população, refletindo uma incidência maior. Pode ser visto no gráfico o pico da prevalência mais prematuro e mais alto nesta última espécie, bem como a inexistência de soronegativos precocemente na população. Gráfico traduzido e adaptado de Rafael V. Monteiro, Dietz, Raboy, et al. (2007).

Figura 3.2: Gráfico demonstrando a variação da frequência de soropositividade para Trypanosoma cruzi com a idade de Micos leões dourados e de cara dourada, respectivamente Leontophitecus rosalia e Leontopithecus chrysomellas. A prevalência média da infecção em Micos leões dourados oscilava entre 45-55% dependendo da população. Já a prevalência na população de Micos leões de cara dourada chegava a 85% da população, refletindo uma incidência maior. Pode ser visto no gráfico o pico da prevalência mais prematuro e mais alto nesta última espécie, bem como a inexistência de soronegativos precocemente na população. Gráfico traduzido e adaptado de Rafael V. Monteiro, Dietz, Raboy, et al. (2007).

Veja que um aumento de incidência pode ser devido a um diverso número de fatores. Picos sucessivos de prevalência podem acontecer tanto de forma bimodal como multimodal. Picos de prevalência bimodais podem ser devido a um período de incubação da doença. Picos multimodais são causados pela entrada de suscetíveis na população hospedeira, por imigração ou nascimento, situação mais comum. Estes novos suscetíveis incrementam a transmissão do parasito em nova onda epidêmica, gerando novo(s) pico(s) (Watts et al. 2005).

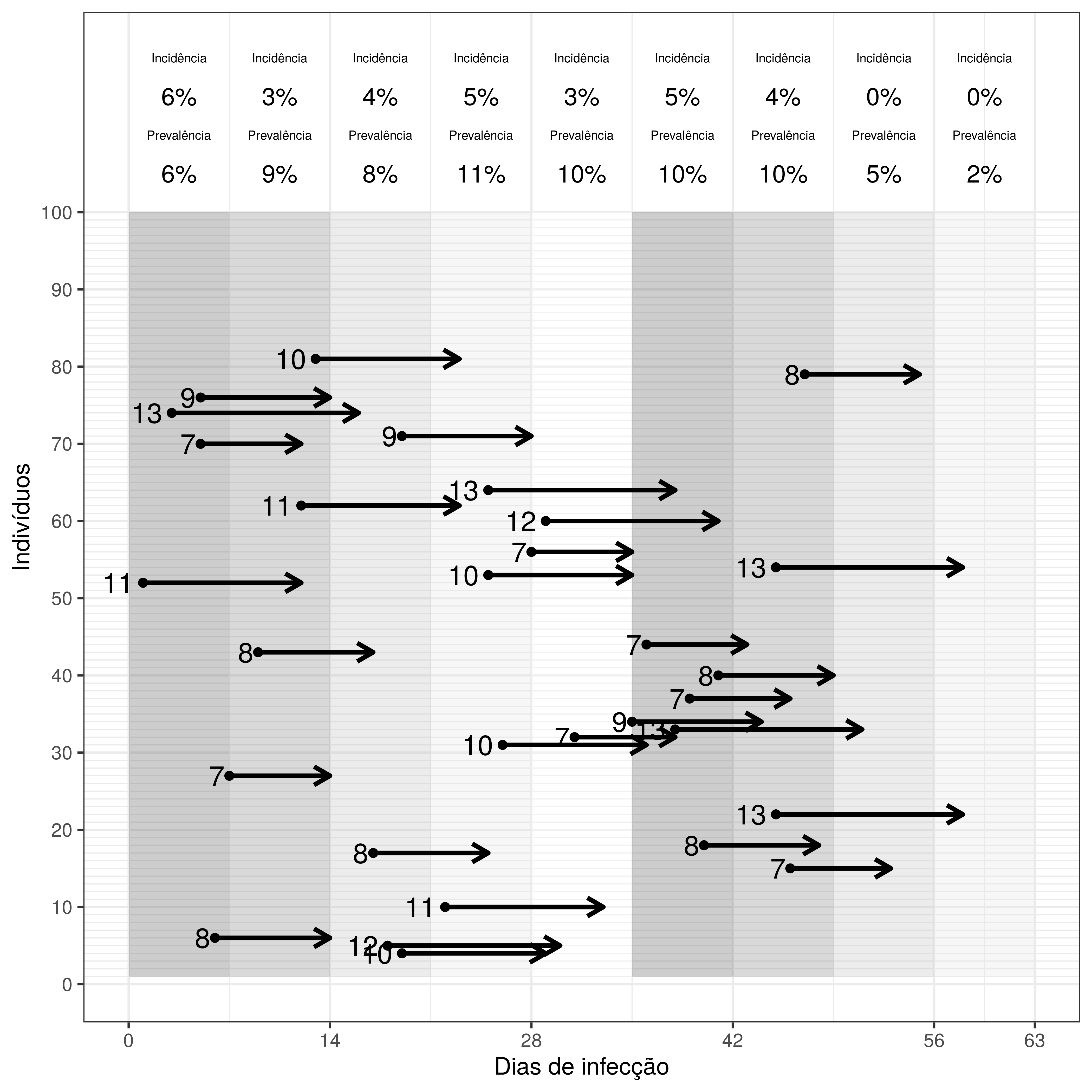
Observe a Figura 3.3. Nela você notará que dependendo do momento que o pesquisador execute sua captura tanto a incidência como a prevalência podem oscilar. Embora estejamos sempre avaliando a mesma população hospedeira, devido a processos aleatórios (estocásticos) ou determinísticos que modificam o número de animais positivos naquele momento da captura, nossos resultados variam no curso do tempo cronológico.

Experimento com desenho Transversal para avaliação de prevalência em uma população hipotética com 100 animais. A doença clínica (setas horizontais) pode variar entre 7 até 15 dias, estando cada valor indicado ao lado das setas. As faixas verticais representam estações de coleta diferentes, com duração de 7 dias. Note que a prevalência pode oscilar entre as estações de coleta, assim como a incidência percebida em cada uma delas.

Figura 3.3: Experimento com desenho Transversal para avaliação de prevalência em uma população hipotética com 100 animais. A doença clínica (setas horizontais) pode variar entre 7 até 15 dias, estando cada valor indicado ao lado das setas. As faixas verticais representam estações de coleta diferentes, com duração de 7 dias. Note que a prevalência pode oscilar entre as estações de coleta, assim como a incidência percebida em cada uma delas.

3.3 Medidas de risco da doença

A partir do momento que o pesquisador Médico Veterinário tem acesso a informações relativas a incidência de doença ele também pode começar a confirmar se e qual dos fatores que ele tem à mão para teste estão associados a um aumento de risco de um animal apresentar uma determinada doença (Pfeiffer 2009; Bonita, Beaglehole, and Kjellström 2010). O pesquisador tenta assim inferir, comparando a proporção de ocorrência da doença entre os animais expostos àquele parasito (ou fator de risco) ou não, se o fator causal considerado está associado a uma maior expressão da doença. Note que em epidemiologia dois termos são comumente utilizados para medir a força de associação entre duas variáveis: risco (em inglês risk) e chance (em inglês odds). Entretanto, embora eles sejam similares, eles designam abordagens estatisticamente diferentes em como medir a força da associação (Ranganathan, Aggarwal, and Pramesh 2015):

  • Risco é a probabilidade de um evento ocorrer em relação a todos os outros eventos (desenlaces) possíveis.
  • Chance é a probabilidade de um evento ocorrer em relação a este evento não ocorrer.

Observe a Tabela 3.2. Nela você pode notar que quando a proporção de doentes é pequena frente aos saudáveis, o risco e a chance de ficar doente são similares. Entretanto, quando a proporção de doentes aumenta gradativamente, o risco de ficar doente tende a ficar menor do que a chance de ficar doente.

Tabela 3.2: Tabela 3.3: Resultados relativos a Risco () e Chance () de morte em três experimentos hipotéticos com diferentes frequências de ocorrência.
Desenlace
Experimento Morre (a) Sobrevive (b) Total (a+b) Risco a/(a+b) Chance (a/b)
I 30 70 100 30/100=0,30 30/70=0,43
II 10 90 100 10/100=0,10 10/90=0,11
III 1 99 100 1/100=0,01 1/99=0,01
* Adaptada a partir de (ref:rriskodd)

Tendo isto em mente, considere a Tabela 3.4, onde pode ser visto como seriam contingenciados os animais de um determinado estudo entre duas situações:

  • Expostos ou não ao agente candidato a causador da morbidade: para isso é necessário que o estudo diagnostique nos animais os parasitos ou fatores de risco que possam ser arrolados como causadores da doença.
  • Doentes ou não pela morbidade em questão: para isso é necessário que o pesquisador reúna informações clínicas sobre os animais estudados que permitam a caracterização inequívoca da doença em questão.
Situação da exposição
Tabela 3.4: Contingenciamento de uma coorte de animais em relação ao seu estado clínico (doente ou não) e da situação de exposição ao fator causador candidato (exposto ou não).
Doença Clínica Presente Ausente
Presente NA NA Doentes (a+c)
Ausente NA NA Saudáveis (b+d)
Expostos (a+b) Não Expostos (c+d) Coorte (a+b+c+d)

Como pode ser visto na Tabela 3.4, as tabelas de contingência entre a condição de presença ou ausência de doença e do fator de risco em uma coorte de animais acompanhados/analisados permite a construção de várias comparações.

3.3.1 Razão de Chances

A Razão de chances ou Odds Ratio, como exposto acima, é a razão entre as chances de ocorrência do desenlace estudado, seja ele morte, melhora clínica, ou outro de interesse, em relação à não ocorrência deste desenlace. Utilizando a notação da Tabela 3.4, podemos definir a Razão de Chances (OR) na forma da Fórmula (3.4):

\[\begin{equation} OR = \frac{Od_e}{Od_{ne}} = \frac{a/b}{c/d} = \frac{a \times d}{b \times c} \tag{3.4} \end{equation}\]

Onde Ode : Chance de estar doente quando exposto ao fator; Odne : Chance de estar doente quando não exposto ao fator.

3.3.2 Risco Relativo

O cálculo do Risco Relativo, como o nome indica, estima o risco de ocorrência da doença em um animal exposto ao fator em comparação com a risco de ocorrência da doença nos animais não-expostos ao fator. A razão entre estas duas proporções de risco pode ser calculada a partir de tabelas de contingência conforme a Fórmula (3.5) baseado na Tabela 3.4.

\[\begin{equation} RR = Pd_e - Pd_{ne} = \frac{\frac{a}{a+b}}{\frac{c}{c+d}} \tag{3.5} \end{equation}\]

Onde Pde : Proporção dos animais doentes expostos ao fator; Pdne : Proporção dos animais doentes não expostos ao fator.

Um aspecto importante neste tipo de cálculo é que tanto os animais expostos quanto não expostos foram oriundos de uma mesma população que foi acompanhada para ocorrência da doença na forma de uma coorte. Quando tal não acontece, como em experimentos de caso-controle, ou em desenhos transversais (que só permitem o cálculo da prevalência), tal cálculo não é apropriado. No caso da prevalência, apenas quando esta é relativa a doença de curta duração, e destarte ela pode ser considerada como um estimado da incidência (Pfeiffer 2009), tal exceção poderia ser aceita. O Risco Relativo deve ser entendido como uma razão entre duas proporções. Se a proporção de ocorrência da doença entre os animais expostos ou não ao fator considerado for similar ou igual, o Risco Relativo será igual a 1 ou próximo de 1. A partir do momento que ocorra um aumento do valor do Risco Relativo, e quanto maior este fôr, maior o risco de ocorrer a doença entre os expostos. Este maior risco de ocorrência da doença pode ser indicador de uma relação causal entre fator e doença, que deve ser mais bem explorada em experimentos apropriados (vide Capítulo 8). O Risco Relativo é indicado na forma de porcentagem, por ser uma proporção. Assim, caso a razão obtida como valor do Risco Relativo seja 7, poderia dizer-se que os animais expostos tem 700% mais risco de desenvolver a doença do que os animais não expostos ao fator. Veja que o Risco Relativo pode ser menor que 1, se o fator considerado colaborar com a proteção do hospedeiro, levando a um menor risco de ocorrer a doença quando exposto ao fator (o que deixaria de indicá-lo como fator de risco). Note também que, mesmo que a frequência de ocorrência da doença seja baixa, o Risco Relativo de determinado fator pode ser alto, pela raridade de ocorrência da doença entre os animais sem o fator. Esta dependência do poder do Risco Relativo da proporção existente na população entre animais doentes e não doentes, torna-o um indicador inadequado da intensidade de associação entre um fator ou intervenção e um desenlace clínico (Doi et al. 2022).

3.3.3 Risco Atribuível

Uma outra abordagem a este tipo de análise por tabelas de contingência é estimar qual a proporção da doença na população total poderia ser atribuível a um fator potencial específico. Este tipo de cálculo é conhecido como Risco Atribuível (Equação (3.6)), mas também pode ser denominado Diferença de Risco. Ele é útil para demonstração da importância de controle de determinado fator para diminuição da ocorrência da doença na população animal considerada: quanto maior o Risco Atribuível a determinado fator, maior será a redução da doença quando este fator é removido ou controlado. Ele é realizado na forma da Equação (3.6):

\[\begin{equation} RA = Pd_e - Pd_{ne} = (\frac{a}{a+b}) - (\frac{c}{c+d}) \tag{3.6} \end{equation}\]

Onde Pde : Proporção dos animais doentes expostos ao fator; Pdne: Proporção dos animais doentes não expostos ao fator.

3.3.4 Fração Atribuível

Este indicador estima a proporção de animais doentes que pode ser atribuído à exposição a um fator específico. Este indicador pode ser calculado em relação a dois denominadores diferentes: a) proporção de doentes dentro do grupo de expostos; b) proporção de doentes na população total. No primeiro caso este indicador é denominado Fração atribuível nos expostos, já que vai indicar qual a proporção dos doentes expostos é atribuível ao fator candidato. O cálculo da Fração Atribuível nos Expostos se dá conforme a Fórmula (3.7).

\[\begin{equation} FA_e = \frac{Pd_e - Pd_{ne}}{Pd_e} = \frac{(\frac{a}{a+b}) - (\frac{c}{c+d})}{\frac{a}{a+b}}\tag{3.7} \end{equation}\]

Onde Pde: Proporção dos doentes expostos ao fator; Pdne: Proporção dos doentes não expostos ao fator.

No segundo caso este indicador será denominado Fração atribuível na população, onde ele calcula a proporção dos doentes na população total que é atribuível ao fator candidato. O cálculo da Fração Atribuível na População é realizado conforme a Fórmula (3.8).

\[\begin{equation} FA_p = \frac{Pd_p - Pd_{ne}}{Pd_p} = \frac{(\frac{a}{a+b}) - (\frac{c}{c+d})}{\frac{a}{a+b}}\tag{3.8} \end{equation}\]

Onde Pdp: Proporção dos doentes na população total; Pdne: Proporção dos doentes não expostos ao fator.

3.4 Medidas dos efeitos da doença

Os indicadores acima descritos são limitados em sua capacidade de representar ou sinalizar a gravidade de uma doença por efeito de determinado parasito. Não é a frequência de um parasito que o torna relevante epizootiologicamente, mas sim seu potencial para causar doença grave e/ou morte ou de reduzir a longevidade de um hospedeiro (Poulin et al. 2005). Neste sentido, se quisermos estimar a periculosidade de um determinado parasito nós devemos lançar mão de indicadores justamente destes efeitos sobre a população: doença e morte. Nos dois casos nós calculamos uma taxa, na forma da Figura 3.4. Quando nos referimos à proporção de animais doentes em uma certa população sob risco, durante um determinado período de tempo, nós utilizamos o termo Taxa de Morbidade. Já no caso da mesma taxa referir-se aos animais que tenham morrido ela é dita Taxa de Mortalidade. Um indicador obtido pelo inverso da taxa de Mortalidade é a taxa de sobrevivência: \(TxSobrev = 1 - TxMorte\). Quando o número de mortes é colocado em proporção ao número de doentes por uma causa específica é utilizado o termo Taxa de Letalidade. Esta última seria a melhor expressão da severidade clínica de uma doença, ou seja, dos animais doentes por uma causa específica quantos vem a morrer; sua maior expressão seria a taxa de 100%: todos os doentes morreriam no período considerado (Figura 3.4).

Demonstração visual dos componentes de razões epidemiológicas na forma de proporção (prevalência) ou de taxas (Incidência, Morbidade, Mortalidade, Letalidade).

Figura 3.4: Demonstração visual dos componentes de razões epidemiológicas na forma de proporção (prevalência) ou de taxas (Incidência, Morbidade, Mortalidade, Letalidade).

Assim como no exemplo das taxas de mortalidade-sobrevivência, a Taxa de Recuperação pode ser obtida com o inverso da taxa de Letalidade: \(TxRecup = 1 - TxLetal\). Estas taxas podem ser calculadas sobre um denominador não-corrigido, ou seja, a população final analisada da coorte onde foram rastreados os animais doentes ou que morreram. Uma forma de corrigir estes indicadores, padronizando pelo tempo de acompanhamento médio, seria utilizar como denominador o tamanho da população animal no meio do período acompanhado. Ambas as taxas podem ser contingenciadas por fatores específicos como sexo, idade ou faixa etária, ou outra variável explicativa de interesse no caso da epidemia em questão, inclusive outros fatores causais. Tais contingenciamentos são úteis para caracterizar que determinadas associações entre parasitos tem efeito sinérgico negativo sobre a saúde do hospedeiro, ou mesmo para caracterizar competições entre parasitos.

Tabela 3.5: Prevalência agrupada e por helminto dividos pelo estado sorológico anti- de micos leões dourados e micos leões de cara dourada . Os asteriscos assinalam prevalências estatisticamente diferentes (p<0,05) entre sexo ou estado sorológico anti-. Vinte micos que mudaram de estado sorológico durante o estudo foram incluídos nos grupos soronegativo e soropositivo. Códigos dos helmintos: Pro - sp.; Spi - Spiruridae; Tri - Trichostrongylidae.
Estado sorológico Sexo n amostral Prevalência agrupada (%) Pro(%) Spi(%) Tri(%)
Soronegativo Machos 78 49 23 18* 15**
Fêmeas 52 64 27 25 37**
Total 130 55* 25* 21** 24
Soropositivo Machos 52 65 35 35* 29
Fêmeas 44 73 39 41 36
Total 96 69* 37* 38** 32
Agrupado Machos 121 57 29 26 22*
Fêmeas 85 68 34 34 40*
Total 206 62 31 29 30
* Adaptada a partir de (ref:mico)

Observe a Tabela 3.5 (adaptada de dados oriundos de Rafael V. Monteiro, Dietz, Raboy, et al. (2007)). Se desconsiderarmos o estado sorológico dos micos leões dourados e de cara dourada nossa leitura da prevalência de cada parasito, ou de sua presença agrupada, será completamente enviesada. Tal viés, causado pela infecção pelo T. cruzi, acarreta efeitos de diferentes intensidades sobre os sexos e em cada idade dos animais, em dependência do helminto entérico envolvido. Tal leitura só pode ser feita através do contingenciamento dos dados brutos pelos fatores de interesse na pesquisa em questão.

References

Bonita, Ruth, Robert Beaglehole, and Tord Kjellström. 2010. Epidemiologia Básica. 2a ed. São Paulo: Santos.
Doi, Suhail A., Luis Furuya-Kanamori, Chang Xu, Lifeng Lin, Tawanda Chivese, and Lukman Thalib. 2022. “Controversy and Debate: Questionable Utility of the Relative Risk in Clinical Research: Paper 1: A Call for Change to Practice.” Journal of Clinical Epidemiology 142 (February): 271–79. https://doi.org/10.1016/j.jclinepi.2020.08.019.
Grimes, David A, and Kenneth F Schulz. 2002. “An Overview of Clinical Research: The Lay of the Land.” The Lancet 359 (9300): 57–61. https://doi.org/10.1016/S0140-6736(02)07283-5.
Monteiro, Rafael V., James M. Dietz, Becky Raboy, Benjamin Beck, Kristel D. Vleeschower, Andrew Baker, Andréia Martins, and Ana Maria Jansen. 2007. “Parasite Community Interactions: Trypanosoma Cruzi and Intestinal Helminths Infecting Wild Golden Lion Tamarins Leontopithecus Rosalia and Golden-Headed Lion Tamarins L. Chrysomelas (Callitrichidae, L., 1766).” Parasitology Research 101 (6): 1689–98. https://doi.org/10.1007/s00436-007-0652-2.
Pfeiffer, Dirk. 2009. Veterinary Epidemiology: An Introduction. 1ª edição. Chichester, West Sussex: John Wiley & Sons.
Poulin, Robert, Brian L. Fredensborg, Ellen Hansen, and Tommy L. F. Leung. 2005. “The True Cost of Host Manipulation by Parasites.” Behavioural Processes 68 (3): 241–44. https://doi.org/10.1016/j.beproc.2004.07.011.
Ranganathan, Priya, Rakesh Aggarwal, and C. S. Pramesh. 2015. “Common Pitfalls in Statistical Analysis: Odds Versus Risk.” Perspectives in Clinical Research 6 (4): 222–24. https://doi.org/10.4103/2229-3485.167092.
Romano, Alessandro, Daniel Ramos, Francisco Araujo, Silvana Leal, Zouraide Costa, Allan Silva, Almério Gomes, et al. 2017. Guia de Vigilância de Epizootias Em Primatas Não Humanos e Entomologia Aplicada à Vigilância Da Febre Amarela.
Watts, Duncan J., Roby Muhamad, Daniel C. Medina, and Peter S. Dodds. 2005. “Multiscale, Resurgent Epidemics in a Hierarchical Metapopulation Model.” Proceedings of the National Academy of Sciences 102 (32): 11157–62. https://doi.org/10.1073/pnas.0501226102.
Woolhouse, M. E. J. 1998. “Patterns in Parasite Epidemiology: The Peak Shift.” Parasitology Today 14 (10): 428–34. https://doi.org/10.1016/S0169-4758(98)01318-0.