11 Boxplots

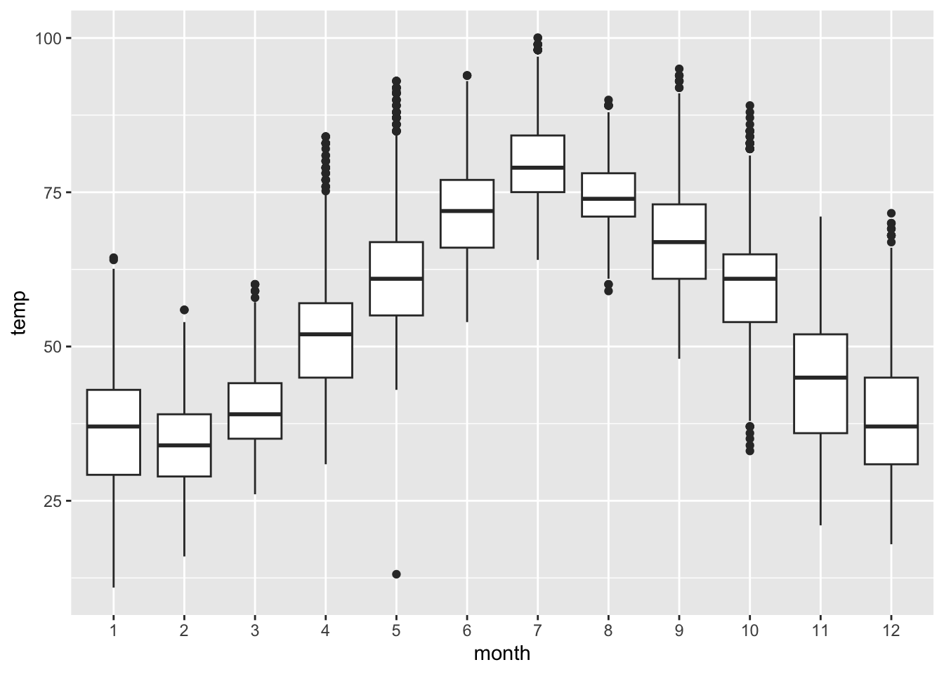
weather$month <- factor(weather$month)
ggplot(data=weather, aes(y=temp, x=month))+
  geom_boxplot()
## Warning: Removed 1 rows containing non-finite values (`stat_boxplot()`).
ggplot(data=weather, aes(y=temp, x=month))+
  geom_boxplot(fill='tomato', alpha=0.2)
## Warning: Removed 1 rows containing non-finite values (`stat_boxplot()`).
ggplot(data=weather, aes(y=temp, x=month))+
  geom_boxplot(fill='tomato', alpha=0.2)+
  stat_summary(fun=mean, geom='point', shape=5, size=2, color='blue', fill='blue')
## Warning: Removed 1 rows containing non-finite values (`stat_boxplot()`).
## Warning: Removed 1 rows containing non-finite values (`stat_summary()`).
ggplot(data=weather, aes(y=temp, x=month))+
  geom_boxplot(fill='tomato', alpha=0.2, notch=TRUE, notchwidth=0.4)
## Warning: Removed 1 rows containing non-finite values (`stat_boxplot()`).
ggplot(data=weather, aes(y=temp, x=month))+
  geom_boxplot(aes(color=origin), alpha=0.2, notch=TRUE, notchwidth=0.4)+
  facet_wrap(~origin, ncol=1)
## Warning: Removed 1 rows containing non-finite values (`stat_boxplot()`).
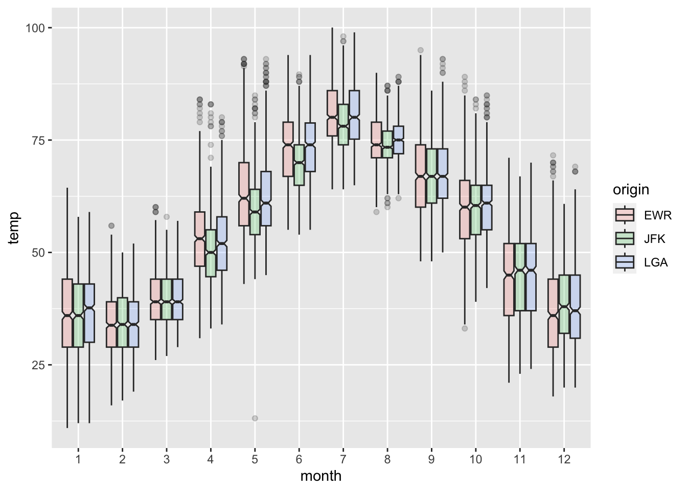
ggplot(data=weather, aes(y=temp, x=month))+
  geom_boxplot(aes(fill=origin), alpha=0.2, notch=TRUE, notchwidth=0.4)
## Warning: Removed 1 rows containing non-finite values (`stat_boxplot()`).
ggplot(data=weather, aes(x=month, y=temp))+
  geom_violin(aes(fill=month))
## Warning: Removed 1 rows containing non-finite values (`stat_ydensity()`).
ggplot(data=weather, aes(x=month, y=temp))+
  geom_violin(aes(fill=origin))
## Warning: Removed 1 rows containing non-finite values (`stat_ydensity()`).