Chapter 6 Computer Science Approach

Checking for Outliers.

Figure 6.1: Checking for Outliers.

Checking for Outliers.

Figure 6.2: Checking for Outliers.

Checking for Outliers.

Figure 6.3: Checking for Outliers.

Revisiting the Data.

Figure 6.4: Revisiting the Data.

Revisiting the Data.

Figure 6.4: Revisiting the Data.

Revisiting the Data.

Figure 6.4: Revisiting the Data.

Revisiting the Data.

Figure 6.4: Revisiting the Data.

Revisiting the Data.

Figure 6.4: Revisiting the Data.

Revisiting the Data.

Figure 6.4: Revisiting the Data.

Revisiting the Data.

Figure 6.5: Revisiting the Data.

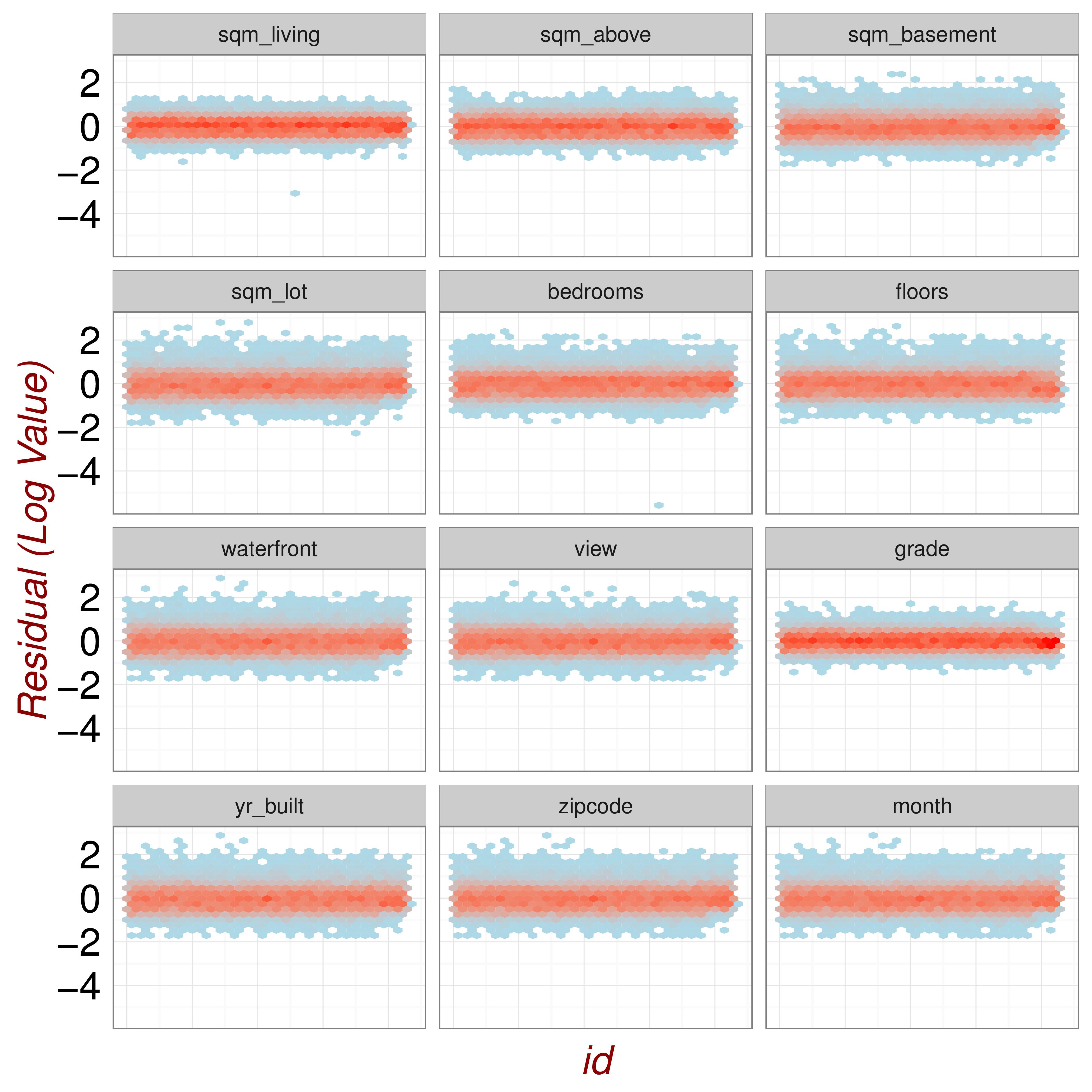
Looking for Poor Model Fit.

Figure 6.6: Looking for Poor Model Fit.

Looking for Poor Model Fit.

Figure 6.7: Looking for Poor Model Fit.