3  回归问题

library(MASS)
library(pls)     # PC / PLS
library(glmnet)  # 惩罚回归
library(ncvreg)  # MCP / SCAD
library(lars)    # LAR
library(abess)   # Best subset
library(kernlab) # 基于核的支持向量机 ksvm
library(nnet)    # 神经网络 nnet
library(rpart)   # 决策树
library(randomForest)  # 随机森林
library(xgboost)       # 梯度提升
library(lattice)
# Root Mean Squared Error 均方根误差
rmse <- function(y, y_pred) {
  sqrt(mean((y - y_pred)^2))
}

本章基于波士顿郊区房价数据集 Boston 介绍处理回归问题的 10 种方法。数据集 Boston 来自 R 软件内置的 MASS 包,一共 506 条记录 14 个变量,由 Boston Standard Metropolitan Statistical Area (SMSA) 在 1970 年收集。

data("Boston", package = "MASS")
str(Boston)
#> 'data.frame':    506 obs. of  14 variables:
#>  $ crim   : num  0.00632 0.02731 0.02729 0.03237 0.06905 ...
#>  $ zn     : num  18 0 0 0 0 0 12.5 12.5 12.5 12.5 ...
#>  $ indus  : num  2.31 7.07 7.07 2.18 2.18 2.18 7.87 7.87 7.87 7.87 ...
#>  $ chas   : int  0 0 0 0 0 0 0 0 0 0 ...
#>  $ nox    : num  0.538 0.469 0.469 0.458 0.458 0.458 0.524 0.524 0.524 0.524 ...
#>  $ rm     : num  6.58 6.42 7.18 7 7.15 ...
#>  $ age    : num  65.2 78.9 61.1 45.8 54.2 58.7 66.6 96.1 100 85.9 ...
#>  $ dis    : num  4.09 4.97 4.97 6.06 6.06 ...
#>  $ rad    : int  1 2 2 3 3 3 5 5 5 5 ...
#>  $ tax    : num  296 242 242 222 222 222 311 311 311 311 ...
#>  $ ptratio: num  15.3 17.8 17.8 18.7 18.7 18.7 15.2 15.2 15.2 15.2 ...
#>  $ black  : num  397 397 393 395 397 ...
#>  $ lstat  : num  4.98 9.14 4.03 2.94 5.33 ...
#>  $ medv   : num  24 21.6 34.7 33.4 36.2 28.7 22.9 27.1 16.5 18.9 ...

14 个变量的含义如下:

3.1 线性回归

对于线性回归问题,为了处理变量之间的相关关系,衍生出许多处理办法。有的办法是线性的,有的办法是非线性的。

3.1.1 最小二乘回归

\[ \mathcal{L}(\bm{\beta}) = \sum_{i=1}^{n}(y_i - \bm{x}_i^{\top}\bm{\beta})^2 \]

fit_lm <- lm(medv ~ ., data = Boston)
summary(fit_lm)
#> 
#> Call:
#> lm(formula = medv ~ ., data = Boston)
#> 
#> Residuals:
#>     Min      1Q  Median      3Q     Max 
#> -15.595  -2.730  -0.518   1.777  26.199 
#> 
#> Coefficients:
#>               Estimate Std. Error t value Pr(>|t|)    
#> (Intercept)  3.646e+01  5.103e+00   7.144 3.28e-12 ***
#> crim        -1.080e-01  3.286e-02  -3.287 0.001087 ** 
#> zn           4.642e-02  1.373e-02   3.382 0.000778 ***
#> indus        2.056e-02  6.150e-02   0.334 0.738288    
#> chas         2.687e+00  8.616e-01   3.118 0.001925 ** 
#> nox         -1.777e+01  3.820e+00  -4.651 4.25e-06 ***
#> rm           3.810e+00  4.179e-01   9.116  < 2e-16 ***
#> age          6.922e-04  1.321e-02   0.052 0.958229    
#> dis         -1.476e+00  1.995e-01  -7.398 6.01e-13 ***
#> rad          3.060e-01  6.635e-02   4.613 5.07e-06 ***
#> tax         -1.233e-02  3.760e-03  -3.280 0.001112 ** 
#> ptratio     -9.527e-01  1.308e-01  -7.283 1.31e-12 ***
#> black        9.312e-03  2.686e-03   3.467 0.000573 ***
#> lstat       -5.248e-01  5.072e-02 -10.347  < 2e-16 ***
#> ---
#> Signif. codes:  0 '***' 0.001 '**' 0.01 '*' 0.05 '.' 0.1 ' ' 1
#> 
#> Residual standard error: 4.745 on 492 degrees of freedom
#> Multiple R-squared:  0.7406, Adjusted R-squared:  0.7338 
#> F-statistic: 108.1 on 13 and 492 DF,  p-value: < 2.2e-16

3.1.2 逐步回归

逐步回归是筛选变量,有向前、向后和两个方向同时进行三个方法。

  • direction = "both" 双向
  • direction = "backward" 向后
  • direction = "forward" 向前
fit_step <- step(fit_lm, direction = "both", trace = 0)
summary(fit_step)
#> 
#> Call:
#> lm(formula = medv ~ crim + zn + chas + nox + rm + dis + rad + 
#>     tax + ptratio + black + lstat, data = Boston)
#> 
#> Residuals:
#>      Min       1Q   Median       3Q      Max 
#> -15.5984  -2.7386  -0.5046   1.7273  26.2373 
#> 
#> Coefficients:
#>               Estimate Std. Error t value Pr(>|t|)    
#> (Intercept)  36.341145   5.067492   7.171 2.73e-12 ***
#> crim         -0.108413   0.032779  -3.307 0.001010 ** 
#> zn            0.045845   0.013523   3.390 0.000754 ***
#> chas          2.718716   0.854240   3.183 0.001551 ** 
#> nox         -17.376023   3.535243  -4.915 1.21e-06 ***
#> rm            3.801579   0.406316   9.356  < 2e-16 ***
#> dis          -1.492711   0.185731  -8.037 6.84e-15 ***
#> rad           0.299608   0.063402   4.726 3.00e-06 ***
#> tax          -0.011778   0.003372  -3.493 0.000521 ***
#> ptratio      -0.946525   0.129066  -7.334 9.24e-13 ***
#> black         0.009291   0.002674   3.475 0.000557 ***
#> lstat        -0.522553   0.047424 -11.019  < 2e-16 ***
#> ---
#> Signif. codes:  0 '***' 0.001 '**' 0.01 '*' 0.05 '.' 0.1 ' ' 1
#> 
#> Residual standard error: 4.736 on 494 degrees of freedom
#> Multiple R-squared:  0.7406, Adjusted R-squared:  0.7348 
#> F-statistic: 128.2 on 11 and 494 DF,  p-value: < 2.2e-16

3.1.3 偏最小二乘回归

偏最小二乘回归适用于存在多重共线性问题或变量个数远大于样本量的情况。

10 折交叉验证,ncomp = 6 表示 6 个主成分,拟合方法 kernelpls 表示核算法,validation = "CV" 表示采用交叉验证的方式调整参数。

fit_pls <- pls::plsr(medv ~ ., ncomp = 6, data = Boston, validation = "CV")
summary(fit_pls)
#> Data:    X dimension: 506 13 
#>  Y dimension: 506 1
#> Fit method: kernelpls
#> Number of components considered: 6
#> 
#> VALIDATION: RMSEP
#> Cross-validated using 10 random segments.
#>        (Intercept)  1 comps  2 comps  3 comps  4 comps  5 comps  6 comps
#> CV           9.206    8.052    7.920    7.658    6.518    5.900    5.775
#> adjCV        9.206    8.049    7.918    7.655    6.519    5.896    5.770
#> 
#> TRAINING: % variance explained
#>       1 comps  2 comps  3 comps  4 comps  5 comps  6 comps
#> X       80.51    94.45    98.97    99.34    99.80    99.91
#> medv    24.23    26.94    32.05    51.05    60.08    62.49

交叉验证的方法还可选留一交叉验证 validation = "LOO" 。预测的均方根误差 RMSEP 来评估交叉验证的结果。

pls::validationplot(fit_pls, val.type = "RMSEP")
图 3.1: RMSE 随成分数量的变化

3.1.4 主成分回归

主成分回归采用降维的方法处理高维和多重共线性问题。

10 折交叉验证,6 个主成分,拟合方法 svdpc 表示奇异值分解算法。

fit_pcr <- pls::pcr(medv ~ ., ncomp = 6, data = Boston, validation = "CV")
summary(fit_pcr)
#> Data:    X dimension: 506 13 
#>  Y dimension: 506 1
#> Fit method: svdpc
#> Number of components considered: 6
#> 
#> VALIDATION: RMSEP
#> Cross-validated using 10 random segments.
#>        (Intercept)  1 comps  2 comps  3 comps  4 comps  5 comps  6 comps
#> CV           9.206    8.048    8.027    7.799    7.781    7.612    6.040
#> adjCV        9.206    8.047    8.026    7.797    7.778    7.616    6.034
#> 
#> TRAINING: % variance explained
#>       1 comps  2 comps  3 comps  4 comps  5 comps  6 comps
#> X       80.58    96.89    99.02    99.72    99.85    99.92
#> medv    23.71    24.28    28.77    29.33    32.71    57.77

3.2 惩罚回归

本节主要介绍 4 个 R 包的使用,分别是 glmnet(Friedman, Tibshirani, 和 Hastie 2010)ncvreg(Breheny 和 Huang 2011)lars(Bradley Efron 和 Tibshirani 2004)abess(Zhu 等 2022)

表 3.1: 惩罚回归的 R 包实现
R 包 惩罚方法 函数实现
glmnet 岭回归 glmnet(...,alpha = 0)
glmnet Lasso 回归 glmnet(...,alpha = 1)
glmnet 弹性网络回归 glmnet(...,alpha)
glmnet 自适应 Lasso 回归 glmnet(...,penalty.factor)
glmnet 松驰 Lasso 回归 glmnet(...,relax = TRUE)
ncvreg MCP ncvreg(...,penalty = "MCP")
ncvreg SCAD ncvreg(...,penalty = "SCAD")
lars 最小角回归 lars(...,type = "lar")
abess 最优子集回归 abess()

函数 glmnet() 的参数 penalty.factor 表示惩罚因子,默认值为全 1 向量,自适应 Lasso 回归中需要指定。弹性网络回归要求参数 alpha 介于 0-1 之间。

3.2.1 岭回归

岭回归

\[ \mathcal{L}(\bm{\beta}) = \sum_{i=1}^{n}(y_i - \bm{x}_i^{\top}\bm{\beta})^2 + \lambda\|\bm{\beta}\|_2^2 \]

library(glmnet)
fit_ridge <- glmnet(x = Boston[, -14], y = Boston[, "medv"], family = "gaussian", alpha = 0)
plot(fit_ridge)
plot(fit_ridge$lambda,
  ylab = expression(lambda), xlab = "迭代次数", main = "惩罚系数的迭代路径"
)
(a) 回归系数的迭代路径
(b) 惩罚系数的迭代路径
图 3.2: 岭回归
fit_ridge$lambda[60]
#> [1] 28.00535
coef(fit_ridge, s = 28.00535)
#> 14 x 1 sparse Matrix of class "dgCMatrix"
#>               s=28.00535
#> (Intercept) 23.047750109
#> crim        -0.045815821
#> zn           0.014330186
#> indus       -0.063634086
#> chas         1.358311700
#> nox         -3.075514644
#> rm           1.653490217
#> age         -0.009926222
#> dis         -0.025465898
#> rad         -0.026390778
#> tax         -0.002435665
#> ptratio     -0.331740062
#> black        0.004145613
#> lstat       -0.151396406

3.2.2 Lasso 回归

Lasso 回归

\[ \mathcal{L}(\bm{\beta}) = \sum_{i=1}^{n}(y_i - \bm{x}_i^{\top}\bm{\beta})^2 + \lambda\|\bm{\beta}\|_1 \]

fit_lasso <- glmnet(x = Boston[, -14], y = Boston[, "medv"], family = "gaussian", alpha = 1)
plot(fit_lasso)
plot(fit_lasso$lambda,
  ylab = expression(lambda), xlab = "迭代次数",
  main = "惩罚系数的迭代路径"
)
(a) 回归系数的迭代路径
(b) 惩罚系数的迭代路径
图 3.3: Lasso 回归
fit_lasso$lambda[60]
#> [1] 0.02800535
coef(fit_lasso, s = 0.02800535)
#> 14 x 1 sparse Matrix of class "dgCMatrix"
#>              s=0.02800535
#> (Intercept)  34.426424733
#> crim         -0.098346337
#> zn            0.041441612
#> indus         .          
#> chas          2.685187735
#> nox         -16.306645191
#> rm            3.866938879
#> age           .          
#> dis          -1.396021610
#> rad           0.252686499
#> tax          -0.009826799
#> ptratio      -0.929988657
#> black         0.009025875
#> lstat        -0.522499839

3.2.3 弹性网络

弹性网络 (Zou 和 Hastie 2005)

\[ \mathcal{L}(\bm{\beta}) = \sum_{i=1}^{n}(y_i - \bm{x}_i^{\top}\bm{\beta})^2 + \lambda(\frac{1-\alpha}{2}\|\bm{\beta}\|_2^2 + \alpha \|\bm{\beta}\|_1) \]

fit_elasticnet <- glmnet(x = Boston[, -14], y = Boston[, "medv"], family = "gaussian")
plot(fit_elasticnet)
plot(fit_elasticnet$lambda,
  ylab = expression(lambda), xlab = "迭代次数",
  main = "惩罚系数的迭代路径"
)
(a) 回归系数的迭代路径
(b) 惩罚系数的迭代路径
图 3.4: 弹性网络
fit_elasticnet$lambda[60]
#> [1] 0.02800535
coef(fit_elasticnet, s = 0.02800535)
#> 14 x 1 sparse Matrix of class "dgCMatrix"
#>              s=0.02800535
#> (Intercept)  34.426424733
#> crim         -0.098346337
#> zn            0.041441612
#> indus         .          
#> chas          2.685187735
#> nox         -16.306645191
#> rm            3.866938879
#> age           .          
#> dis          -1.396021610
#> rad           0.252686499
#> tax          -0.009826799
#> ptratio      -0.929988657
#> black         0.009025875
#> lstat        -0.522499839

3.2.4 自适应 Lasso

自适应 Lasso (Zou 2006)

\[ \mathcal{L}(\bm{\beta}) = \sum_{i=1}^{n}(y_i - \bm{x}_i^{\top}\bm{\beta})^2 + \lambda_n\sum_{j=1}^{p}\frac{1}{w_j}|\beta_j| \]

普通最小二乘估计或岭回归估计的结果作为适应性 Lasso 回归的权重。其中 \(w_j = (|\hat{\beta}_{ols_j}|)^{\gamma}\)\(w_j = (|\hat{\beta}_{ridge_j}|)^{\gamma}\)\(\gamma\) 是一个用于调整自适应权重向量的正常数,一般建议的正常数是 0.5,1 或 2。

# 岭权重 gamma = 1
g <- 1
set.seed(20232023)
## 岭回归
ridge_model <- cv.glmnet(
  x = as.matrix(Boston[, -14]),
  y = Boston[, 14], alpha = 0
)
ridge_coef <- as.matrix(coef(ridge_model, s = ridge_model$lambda.min))
ridge_weight <- 1 / (abs(ridge_coef[-1, ]))^g

## Adaptive Lasso
set.seed(20232023)
fit_adaptive_lasso <- cv.glmnet(
  x = as.matrix(Boston[, -14]),
  y = Boston[, 14], alpha = 1,
  penalty.factor = ridge_weight # 惩罚权重
)

岭回归和自适应 Lasso 回归模型的超参数

plot(ridge_model)
plot(fit_adaptive_lasso)
(a) 岭回归
(b) 自适应 Lasso 回归
图 3.5: 自适应 Lasso 回归模型的超参数选择

\(\lambda\) 超参数

fit_adaptive_lasso$lambda.min
#> [1] 0.2273152

自适应 Lasso 回归参数

coef(fit_adaptive_lasso, s = fit_adaptive_lasso$lambda.min)
#> 14 x 1 sparse Matrix of class "dgCMatrix"
#>               s=0.2273152
#> (Intercept)  38.291419779
#> crim         -0.098901950
#> zn            0.023328430
#> indus        -0.016769750
#> chas          3.119585761
#> nox         -20.461629406
#> rm            3.946726706
#> age           .          
#> dis          -1.354180874
#> rad           0.100046239
#> tax           .          
#> ptratio      -1.019940695
#> black         0.002119703
#> lstat        -0.545149921

预测

pred_medv_adaptive_lasso <- predict(
  fit_adaptive_lasso, newx = as.matrix(Boston[, -14]),
  s = fit_adaptive_lasso$lambda.min, type = "response"
)

预测的均方根误差

rmse(Boston[, 14], pred_medv_adaptive_lasso)
#> [1] 4.77706

3.2.5 松弛 Lasso

Lasso 回归倾向于将回归系数压缩到 0,松弛 Lasso

\[ \hat{\beta}_{relax}(\lambda,\gamma) = \gamma \hat{\beta}_{lasso}(\lambda) + (1 - \gamma)\hat{\beta}_{ols}(\lambda) \]

其中,\(\gamma \in[0,1]\) 是一个超参数。

fit_relax_lasso <- cv.glmnet(
  x = as.matrix(Boston[, -14]), 
  y = Boston[, "medv"], relax = TRUE
)
plot(fit_relax_lasso)
图 3.6: 回归系数的迭代路径

CV 交叉验证筛选出来的超参数 \(\lambda\)\(\gamma\)\(\gamma = 0\) 意味着松弛 Lasso 退化为 OLS 估计

fit_relax_lasso$relaxed$lambda.min
#> [1] 0.1240811
fit_relax_lasso$relaxed$gamma.min
#> [1] 0

松弛 Lasso 回归系数与 OLS 估计的结果一样

coef(fit_relax_lasso, s = "lambda.min", gamma = "gamma.min")
#> 14 x 1 sparse Matrix of class "dgCMatrix"
#>               s=0.1240811
#> (Intercept)  36.386415340
#> crim         -0.107642467
#> zn            0.046225884
#> indus         0.019914638
#> chas          2.692467531
#> nox         -17.703655696
#> rm            3.817657573
#> age           .          
#> dis          -1.478133649
#> rad           0.303685310
#> tax          -0.012233266
#> ptratio      -0.951640287
#> black         0.009315797
#> lstat        -0.523702685

松弛 Lasso 预测

pred_medv_relax_lasso <- predict(
  fit_relax_lasso,
  newx = as.matrix(Boston[, -14]),
  s = "lambda.min", gamma = "gamma.min"
)
rmse(Boston[, 14], pred_medv_relax_lasso)
#> [1] 4.679209

3.2.6 MCP

ncvreg(Breheny 和 Huang 2011) 提供额外的两种非凸/凹惩罚类型,分别是 MCP (minimax concave penalty)和 SCAD(smoothly clipped absolute deviation)。

library(ncvreg)
fit_mcp <- ncvreg(X = Boston[, -14], y = Boston[, "medv"], penalty = "MCP")
plot(fit_mcp)
图 3.7: 回归系数的迭代路径

回归系数

coef(fit_mcp, lambda = 0.85)
#> (Intercept)        crim          zn       indus        chas         nox 
#>  14.9613035   0.0000000   0.0000000   0.0000000   0.2355167   0.0000000 
#>          rm         age         dis         rad         tax     ptratio 
#>   4.6134961   0.0000000   0.0000000   0.0000000   0.0000000  -0.7607830 
#>       black       lstat 
#>   0.0000000  -0.5847017
summary(fit_mcp, lambda = 0.85)
#> Using a basic kernel estimate for local fdr; consider installing the ashr package for more accurate estimation.  See ?local_mfdr
#> MCP-penalized linear regression with n=506, p=13
#> At lambda=0.8500:
#> -------------------------------------------------
#>   Nonzero coefficients         :   4
#>   Expected nonzero coefficients:   0.01
#>   Average mfdr (4 features)    :   0.001
#> 
#>         Estimate       z      mfdr Selected
#> lstat    -0.5847 -17.956   < 1e-04        *
#> rm        4.6135  13.940   < 1e-04        *
#> ptratio  -0.7608  -8.381   < 1e-04        *
#> chas      0.2355   3.831 0.0051043        *

10 折交叉验证,选择超参数 \(\lambda\)

fit_mcp_cv <- cv.ncvreg(
  X = Boston[, -14], y = Boston[, "medv"], 
  penalty = "MCP", seed = 20232023
)
summary(fit_mcp_cv)
#> MCP-penalized linear regression with n=506, p=13
#> At minimum cross-validation error (lambda=0.1362):
#> -------------------------------------------------
#>   Nonzero coefficients: 11
#>   Cross-validation error (deviance): 23.97
#>   R-squared: 0.72
#>   Signal-to-noise ratio: 2.52
#>   Scale estimate (sigma): 4.896

\(\lambda = 0.1362\) 时,交叉验证的误差最小,非 0 回归系数 11 个。

plot(fit_mcp_cv)
图 3.8: 惩罚系数的迭代路径

3.2.7 SCAD

fit_scad <- ncvreg(X = Boston[, -14], y = Boston[, "medv"], penalty = "SCAD")
plot(fit_scad)
图 3.9: 回归系数的迭代路径
coef(fit_scad, lambda = 0.85)
#>   (Intercept)          crim            zn         indus          chas 
#>  9.3713059437  0.0000000000  0.0000000000  0.0000000000  0.3518918853 
#>           nox            rm           age           dis           rad 
#>  0.0000000000  4.7729149463  0.0000000000  0.0000000000  0.0000000000 
#>           tax       ptratio         black         lstat 
#>  0.0000000000 -0.5040003090  0.0002038813 -0.6030152355
summary(fit_scad, lambda = 0.85)
#> SCAD-penalized linear regression with n=506, p=13
#> At lambda=0.8500:
#> -------------------------------------------------
#>   Nonzero coefficients         :   5
#>   Expected nonzero coefficients:   0.01
#>   Average mfdr (5 features)    :   0.002
#> 
#>           Estimate       z      mfdr Selected
#> lstat   -0.6030152 -18.329   < 1e-04        *
#> rm       4.7729149  14.274   < 1e-04        *
#> ptratio -0.5040003  -7.888   < 1e-04        *
#> chas     0.3518919   4.002 0.0027542        *
#> black    0.0002039   3.673 0.0093828        *

10 折交叉验证,选择超参数 \(\lambda\)

fit_scad_cv <- cv.ncvreg(
  X = Boston[, -14], y = Boston[, "medv"], 
  penalty = "SCAD", seed = 20232023
)
summary(fit_scad_cv)
#> SCAD-penalized linear regression with n=506, p=13
#> At minimum cross-validation error (lambda=0.0836):
#> -------------------------------------------------
#>   Nonzero coefficients: 11
#>   Cross-validation error (deviance): 23.74
#>   R-squared: 0.72
#>   Signal-to-noise ratio: 2.56
#>   Scale estimate (sigma): 4.872

\(\lambda = 0.1362\) 时,交叉验证的误差最小,非 0 回归系数 11 个。

plot(fit_scad_cv)
图 3.10: 惩罚系数的迭代路径

3.2.8 最小角回归

lars 包提供 Lasso 回归和最小角(Least Angle)回归(Bradley Efron 和 Tibshirani 2004)

library(lars)
# Lasso 回归
fit_lars_lasso <- lars(
  x = as.matrix(Boston[, -14]), y = as.matrix(Boston[, "medv"]),
  type = "lasso", trace = FALSE, normalize = TRUE, intercept = TRUE
)
# LAR 回归
fit_lars_lar <- lars(
  x = as.matrix(Boston[, -14]), y = as.matrix(Boston[, "medv"]),
  type = "lar", trace = FALSE, normalize = TRUE, intercept = TRUE
)

参数 type = "lasso" 表示采用 Lasso 回归,参数 trace = FALSE 表示不显示迭代过程,参数 normalize = TRUE 表示每个变量都标准化,使得它们的 L2 范数为 1,参数 intercept = TRUE 表示模型中包含截距项,且不参与惩罚。

Lasso 和最小角回归系数的迭代路径见下图。

plot(fit_lars_lasso)
plot(fit_lars_lar)
(a) Lasso 回归
(b) 最小角回归
图 3.11: Lasso 和最小角回归系数的迭代路径

采用 10 折交叉验证筛选变量

set.seed(20232023)
cv.lars(
  x = as.matrix(Boston[, -14]), y = as.matrix(Boston[, "medv"]),
  type = "lasso", trace = FALSE, plot.it = TRUE, K = 10
)
set.seed(20232023)
cv.lars(
  x = as.matrix(Boston[, -14]), y = as.matrix(Boston[, "medv"]),
  type = "lar", trace = FALSE, plot.it = TRUE, K = 10
)
(a) Lasso 回归
(b) 最小角回归
图 3.12: 交叉验证均方误差的变化

3.2.9 最优子集回归

\[ \mathcal{L}(\bm{\beta}) = \sum_{i=1}^{n}(y_i - \bm{x}_i^{\top}\bm{\beta})^2 + \lambda\|\bm{\beta}\|_0 \]

最优子集回归,添加 L0 惩罚,abess(Zhu 等 2022) 支持线性回归、泊松回归、逻辑回归、多项回归等模型,可以非常高效地做最优子集筛选变量。

library(abess)
fit_abess <- abess(medv ~ ., data = Boston, family = "gaussian", 
                   tune.type = "cv", nfolds = 10, seed = 20232023)

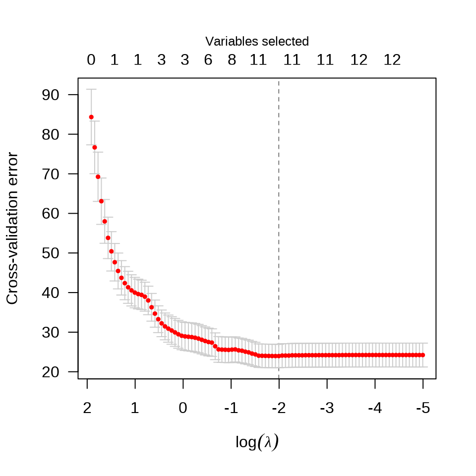
参数 tune.type = "cv" 表示交叉验证的方式确定超参数来筛选变量,参数 nfolds = 10 表示将数据划分为 10 份,采用 10 折交叉验证,参数 seed 用来设置随机数,以便可重复交叉验证 CV 的结果。惩罚系数的迭代路径见下左图。使用交叉验证筛选变量个数,不同的 support size 表示进入模型中的变量数目。

plot(fit_abess, label = TRUE, main = "惩罚系数的迭代路径")
plot(fit_abess, type = "tune", main = "交叉验证筛选变量个数")
(a) 惩罚系数的迭代路径
(b) 交叉验证筛选变量个数
图 3.13: 最优子集回归

从上右图可以看出,选择 6 个变量是比较合适的,作为最终的模型。

best_model <- extract(fit_abess, support.size = 6)
# 模型的结果,惩罚参数值、各个变量的系数
str(best_model)
#> List of 7
#>  $ beta        :Formal class 'dgCMatrix' [package "Matrix"] with 6 slots
#>   .. ..@ i       : int [1:6] 3 4 5 7 10 12
#>   .. ..@ p       : int [1:2] 0 6
#>   .. ..@ Dim     : int [1:2] 13 1
#>   .. ..@ Dimnames:List of 2
#>   .. .. ..$ : chr [1:13] "crim" "zn" "indus" "chas" ...
#>   .. .. ..$ : chr "6"
#>   .. ..@ x       : num [1:6] 3.24 -18.74 4.11 -1.14 -1 ...
#>   .. ..@ factors : list()
#>  $ intercept   : num 36.9
#>  $ support.size: num 6
#>  $ support.vars: chr [1:6] "chas" "nox" "rm" "dis" ...
#>  $ support.beta: num [1:6] 3.24 -18.74 4.11 -1.14 -1 ...
#>  $ dev         : num 12
#>  $ tune.value  : num 13

3.3 支持向量机

library(kernlab)
fit_ksvm <- ksvm(medv ~ ., data = Boston)
fit_ksvm
#> Support Vector Machine object of class "ksvm" 
#> 
#> SV type: eps-svr  (regression) 
#>  parameter : epsilon = 0.1  cost C = 1 
#> 
#> Gaussian Radial Basis kernel function. 
#>  Hyperparameter : sigma =  0.106251610950733 
#> 
#> Number of Support Vectors : 339 
#> 
#> Objective Function Value : -79.4537 
#> Training error : 0.095942
# 预测
pred_medv_svm <- predict(fit_ksvm, newdata = Boston)
# RMSE
rmse(Boston$medv, pred_medv_svm)
#> [1] 2.848758

3.4 神经网络

单隐藏层的神经网络

library(nnet)
fit_nnet <- nnet(medv ~ .,
  data = Boston, trace = FALSE,
  size = 12, # 隐藏层单元数量
  maxit = 500, # 最大迭代次数
  linout = TRUE, # 线性输出单元
  decay = 0.01 # 权重下降的参数
)
pred_medv_nnet <- predict(fit_nnet, newdata = Boston[, -14], type = "raw")
rmse(Boston$medv, pred_medv_nnet)
#> [1] 3.806498

3.5 决策树

library(rpart)
fit_rpart <- rpart(medv ~ .,
  data = Boston, control = rpart.control(minsplit = 5)
)

pred_medv_rpart <- predict(fit_rpart, newdata = Boston[, -14])

rmse(Boston$medv, pred_medv_rpart)
#> [1] 3.565888
library(rpart.plot)
rpart.plot(fit_rpart)
图 3.14: 分类回归树

3.6 随机森林

library(randomForest)
fit_rf <- randomForest(medv ~ ., data = Boston)
print(fit_rf)
#> 
#> Call:
#>  randomForest(formula = medv ~ ., data = Boston) 
#>                Type of random forest: regression
#>                      Number of trees: 500
#> No. of variables tried at each split: 4
#> 
#>           Mean of squared residuals: 9.998811
#>                     % Var explained: 88.16
pred_medv_rf <- predict(fit_rf, newdata = Boston[, -14])
rmse(Boston$medv, pred_medv_rf)
#> [1] 1.396291

3.7 集成学习

# 输入数据 x 和采样比例 prop
add_mark <- function(x = Boston, prop = 0.7) {
  idx <- sample(x = nrow(x), size = floor(nrow(x) * prop))
  rbind(
    cbind(x[idx, ], mark = "train"),
    cbind(x[-idx, ], mark = "test")
  )
}

set.seed(20232023)
Boston_df <- add_mark(Boston, prop = 0.7)

library(data.table)
Boston_dt <- as.data.table(Boston_df)

# 训练数据
Boston_train <- list(
  data = as.matrix(Boston_dt[Boston_dt$mark == "train", -c("mark", "medv")]),
  label = as.matrix(Boston_dt[Boston_dt$mark == "train", "medv"])
)
# 测试数据
Boston_test <- list(
  data = as.matrix(Boston_dt[Boston_dt$mark == "test", -c("mark", "medv")]),
  label = as.matrix(Boston_dt[Boston_dt$mark == "test", "medv"])
)
library(xgboost)
Boston_xgb <- xgboost(
  x = Boston_train$data, 
  y = Boston_train$label,
  objective = "reg:squarederror",  # 学习任务
  eval_metric = "rmse",    # 评估指标
  nrounds = 6
)
# ?predict.xgb.Booster
Boston_pred <- predict(object = Boston_xgb, newdata = Boston_test$data)
# RMSE
rmse(Boston_test$label, Boston_pred)
#> [1] 3.763183