6 Exemplo: BHPS

  • Desenho da BHPS
  • Pesquisa nacional representativa começada em 1991
  • Desenho por conglomerados e estratificado utilizando os postcodes (cep)
  • Entrevistas anuais com os respondentes originais – mesmo que eles dividam as famílias/domicílios – novos membros são também entrevistados
  • Com módulos (questionário) rotativos
  • https://www.iser.essex.ac.uk/bhps

6.1 BHPS: Taxa de resposta nas ondas de 1 a 10

6.2 Efeito da não-resposta de unidade

6.3 Pesos amostrais

  • Os pesos amostrais variam de acordo com cada análise de interesse

  • Peso da onda 1
    • Ajustados para um número de fatores que incluem as probabilidades desiguais de seleção (peso do desenho), não-resposta no nível de domicílios e não resposta no nível de indivíduos dentro dos domicílios respondentes
  • Pesos de corte-transversal
    • Permite não resposta e entrada de novos entrevistados
  • Pesos Longitudinais * Levam em conta as perdas entre cada par de ondas adjacentes até “aquele determinado momento”, e também o peso inicial do respondente na onda 1 * O peso da última onda de qualquer sequência longitudinal deve ser utilizado * Apenas os casos que responderam em cada onda até (e incluindo) a última onda terão pesos longitudinais positivos nessa onda

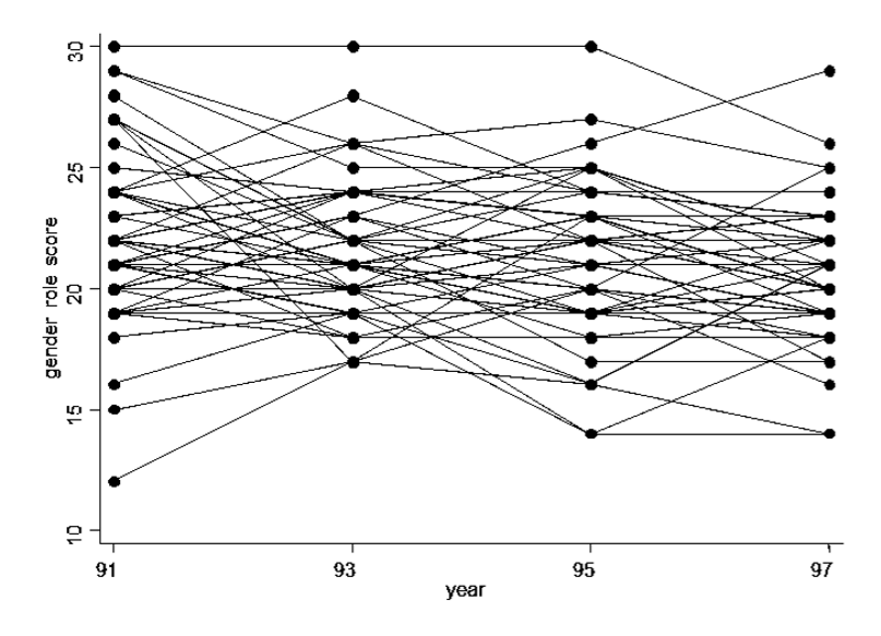
  • Atitude em relação ao papel nas tarefas domésticas para homens e mulheres sem filhos

  • Amostra
    • Pessoas sem filhos na onda 1 que responderam todas as ondas de 1 a 7 com respostas válidas para atitude sobre o papel nas tarefas domésticas nos anos 1991, 1993, 1995 e 1997
  • Total: 1429 pessoas

  • Sujeitos: \(i=1,…,1429\)

  • Observações: \(j=1,2,3,4\) que são os escores somados (variam de 6 a 30)
  • \(y_{ij}\) em \(t_{ij}\) tal que \(t_{ij}= 1991,1993,…,1997\)

  • Covariáveis
    • Idade
    • Sexo
    • Educação
    • Se a mãe trabalhou quando o indivíduo tinha 14 anos
    • Atividade econômica no tempo \(t_{ij}\) (variável que muda no tempo)
  • Conseguimos tirar alguma conclusão?
  • Deveríamos localizar padrões por variáveis explicativas, por exemplo, diferenças entre gênero, entre grupos de tratamento e controle …
  • Calcular algumas estatísticas resumo
    • Gerar box-plots
    • Gráficos de médias
  • Selecionar uma sub-amostra e “plotar”

6.4 Gráfico de dispersão com os primeiros 50 indivíduos

6.5 Gráfico de dispersão com os primeiros 50 indivíduos por grupo de idade

6.6 Box plot das respostas por ano e por gênero

6.7 Média e intervalo de confiança de 95% por gênero