Aula2
1
Panorama da Aula
2
Explorando os dados longitudinais
3
Organizando o banco de dados longitudinal
3.1
Dados em nível pessoa (wide) (largo)
3.2
Dados em nível pessoa-tempo (long) (longo)
3.3
Objetivo
3.4
Identificando relações longitudinais e de corte-transversal
3.5
Medindo o tempo
3.6
Tipos de Não resposta em banco de dados longitudinais
3.7
Notação Importante em dados de medidas repetidas
3.8
Outros Gráficos
3.9
Gráficos de crescimento suavizados:
3.10
Explorando a estrutura de correlação
3.11
Gráfico da matriz de correlação
3.12
Matriz de correlação dos resíduos
4
Exemplo Diggle et.all - Crescimento de Porcos
4.1
Respostas contra o tempo com observações conectadas –
5
Exemplo: ALDA Book
5.1
Gráficos de Crescimento
5.2
Gráficos de Crescimento com pontos conectados (trajetórias)
5.3
Matriz de correlação entre as respostas
6
Exemplo: BHPS
6.1
BHPS: Taxa de resposta nas ondas de 1 a 10
6.2
Efeito da não-resposta de unidade
6.3
Pesos amostrais
6.4
Gráfico de dispersão com os primeiros 50 indivíduos
6.5
Gráfico de dispersão com os primeiros 50 indivíduos por grupo de idade
6.6
Box plot das respostas por ano e por gênero
6.7
Média e intervalo de confiança de 95% por gênero
7
Exemplo da WEISS: BIG MICE
7.1
Box-plot
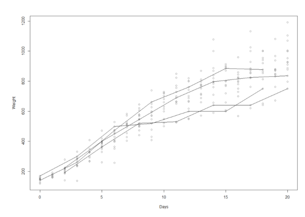
7.2
Trajetórias suavizadas
7.3
Trajetórias individuais
7.4
Trajetórias individuais para ratos selecionados
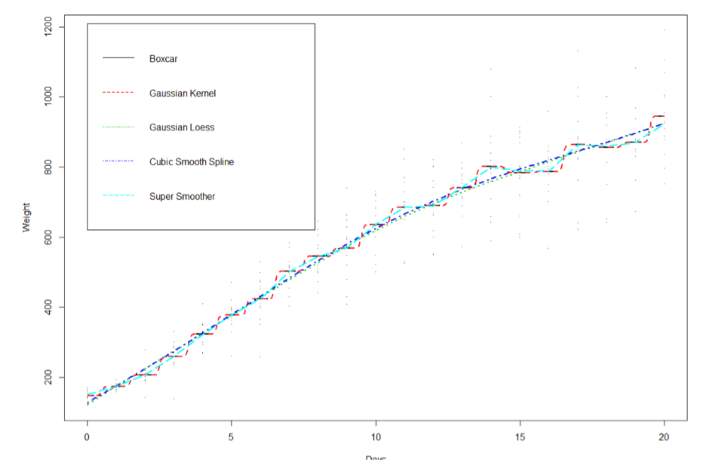
7.5
suavização e quantis
7.6
Correlação
8
Em resumo:
8.1
Perguntas
8.2
O que são dados longitudinais?
8.3
Que tipo de inferência se pode fazer com dados longitudinais?
8.4
Quais os benefícios de se coletar dados longitudinais?
8.5
Como os dados longitudinais se comparam aos dados de corte transversal?
8.6
Complexidades na análise longitudinal
9
Referências e Leituras sugeridas para essa aula
10
LAB Prático NO R: Análise Exploratória Longitudinal
10.1
Exemplo do livro: Applied Longitudinal Data Analysis: Modeling Change and Event Occurrence por Singer & Willet
10.1.1
Olhando os dados: dados nível pessoa vs pessoa-período
10.1.2
Verificando a correlação entre os dados
10.1.3
Plotando as trajetórias
10.1.4
Plotando as trajetórias de acordo com subgrupos
10.2
Exemplo do livro: Modeling Longitudinal Data por Robert Weiss
Published with bookdown
PTE-3121 - Planejamento e Análise de Pesquisas Longitudinais
7
Exemplo da WEISS: BIG MICE
7.1
Box-plot
7.2
Trajetórias suavizadas
7.3
Trajetórias individuais
7.4
Trajetórias individuais para ratos selecionados
7.5
suavização e quantis
7.6
Correlação