2.3 Acid-Base Properties of Amino Acids

Ionization State as a Function of pH

Figure 2.15: Ionization State as a Function of pH

Amino acids are amphoteric: they can act as an acid and a base. Like shown in figure 2.15, the pH can alter the ionization state of an amino acid.

2.3.1 Isoelectric point

Isoelectric Point Demonstration

Figure 2.16: Isoelectric Point Demonstration

The isoelectric point is the pH at which a solute carries no net electric charge.

In the figure shown above, the pI of the amino glycine is \(\displaystyle \frac{pK_1 + pK_2}{2} = 5.97\).

The isoelectric point of a polyprotic amino acid can be calculated using titration.

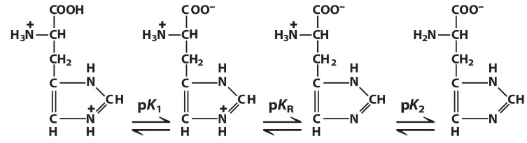
A Polyprotic Amino Acid

Figure 2.17: A Polyprotic Amino Acid

In this case, the pI can be calculated from two pK units on either side of the neutral form of the amino acid.

Hence, for the amino acid (i.e., histidine) in figure 2.17, the pI is \(\displaystyle \frac{pK_R + pK_2}{2}\).