2.5 Amino Acids as Building Blocks

A protein is a polymer of amino acids. Amino acids are joined from head-to-tail via the formation of peptide bonds (which consequently releases water).

The peptide backbone of a protein consists of repeated sequences of -N-C\(\alpha\)-Co where:

  1. “N” is the amide nitrogen of the amino acid.
  2. C\(\alpha\) is the alpha carbon of the amino acid.
  3. Co is the carbonyl carbon of the amino acid.

2.5.1 Peptide bonds

Peptide Formation and Hydrolysis

Figure 2.20: Peptide Formation and Hydrolysis

A peptide bond is an amide bond that is formed between the carboxyl group of one amino acid and the amino group of another amino acid (highlighted in yellow in figure 2.20)

Peptide bonds are generally found in the trans configuration with a partial double bond (40%) character. The bond length of a peptide bond is 0.133 nm (i.e., shorter than a single bond, but longer than a double bond).

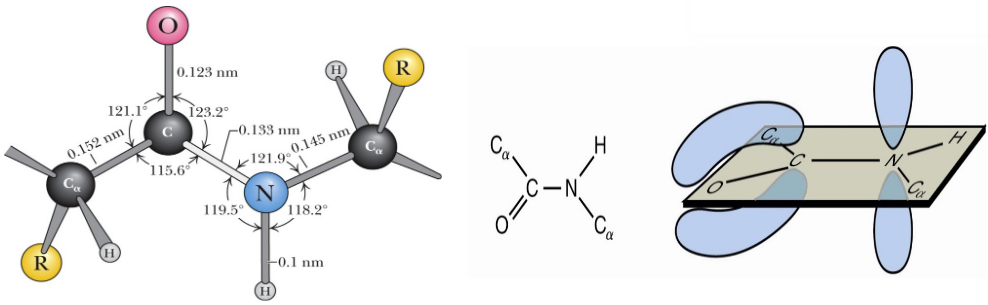
Peptide Bond Characteristics

Figure 2.21: Peptide Bond Characteristics

Because of this, the six atoms in a peptide bond group (see figure 2.21) are always planar. The N-H group is partially positive whereas the O group is partially negative.

2.5.1.1 Dipole moments in peptide bonds

A Dipole in a Peptide Bond

Figure 2.22: A Dipole in a Peptide Bond

As seen in figure 2.22, the oxygen atom has a partial negative charge while the nitrogen has a partial positive charge. This difference in partial charges results in the formation of an electric dipole.

2.5.1.2 cis and trans peptide bonds

cis and trans Peptide Bonds

Figure 2.23: cis and trans Peptide Bonds

Because the cis form of peptide bonds have steric hindrance (i.e., the R groups in figure 2.23 clash with one another), the trans configuration of peptide bonds are strongly favored instead.

The only exception to the above is the amino acid sequence X-Pro, where “X” denotes some other amino acid.

Peptide Bond Configurations in X-pro Sequences

Figure 2.24: Peptide Bond Configurations in X-pro Sequences

The cis configuration in figure 2.24 is sometimes preferred, though the trans configuration is still favored by a ratio of 4 : 1.