Chapter 10 微分几何笔记
最后更新日期:2019-12-29
本课程于第五学期修读,需要首先掌握高等代数、数学分析、常微分方程等相关知识,点击这里查看常微分方程笔记。
微分几何笔记主要内容为曲线论和曲面论。

10.1 曲线论、曲率与挠率

10.2 第一基本形式

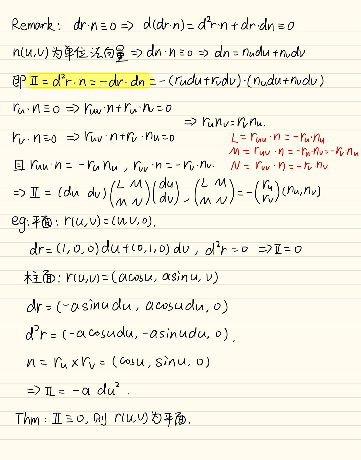
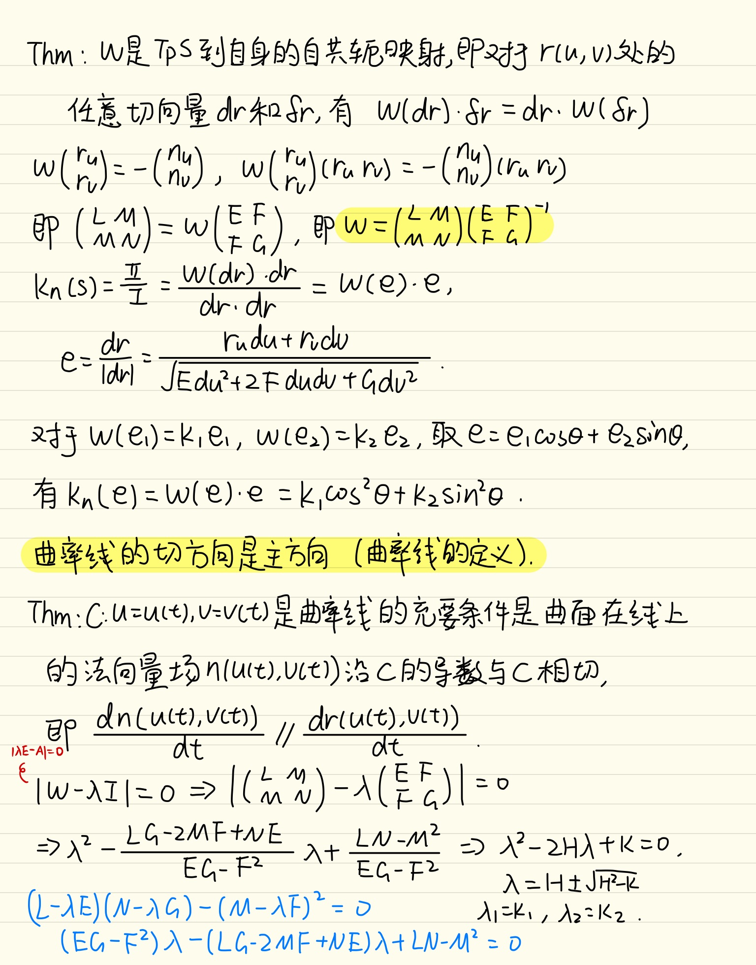
10.3 第二基本形式、法曲率

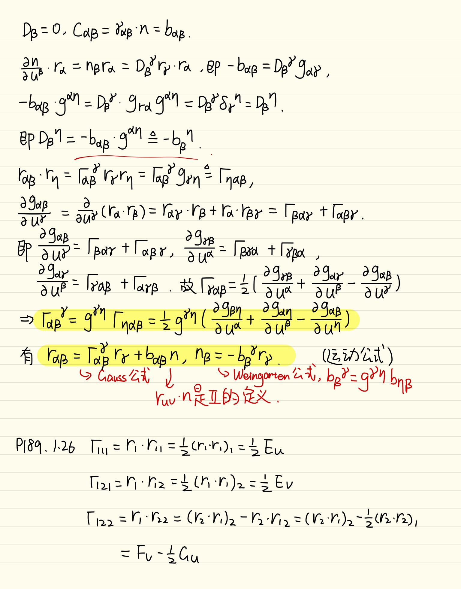
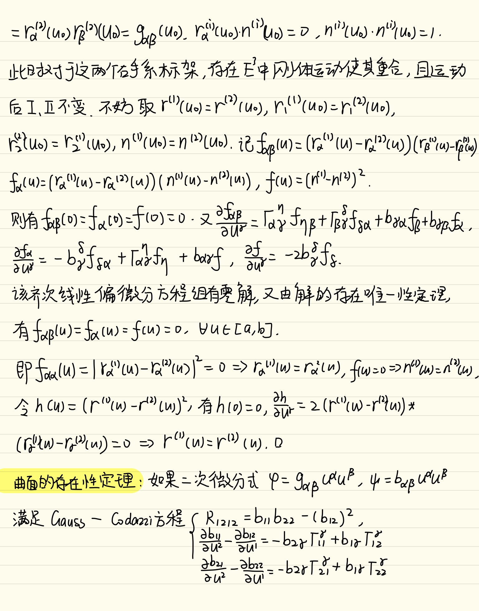
10.4 曲面运动公式与基本定理

10.5 测地曲率和测地线

最后更新日期:2019-12-29
本课程于第五学期修读,需要首先掌握高等代数、数学分析、常微分方程等相关知识,点击这里查看常微分方程笔记。
微分几何笔记主要内容为曲线论和曲面论。





