Chapter 9 实变函数笔记
最后更新日期:2020-01-05
本课程于第五学期修读,需要首先掌握数学分析相关知识。
本课程为后续统计相关课程如泛函分析等课程的基础课程。
实变函数笔记主要内容为集合论、Lebesgue测度、可测函数与Lebesgue积分。

9.1 集合论

9.2 Lebesgue测度

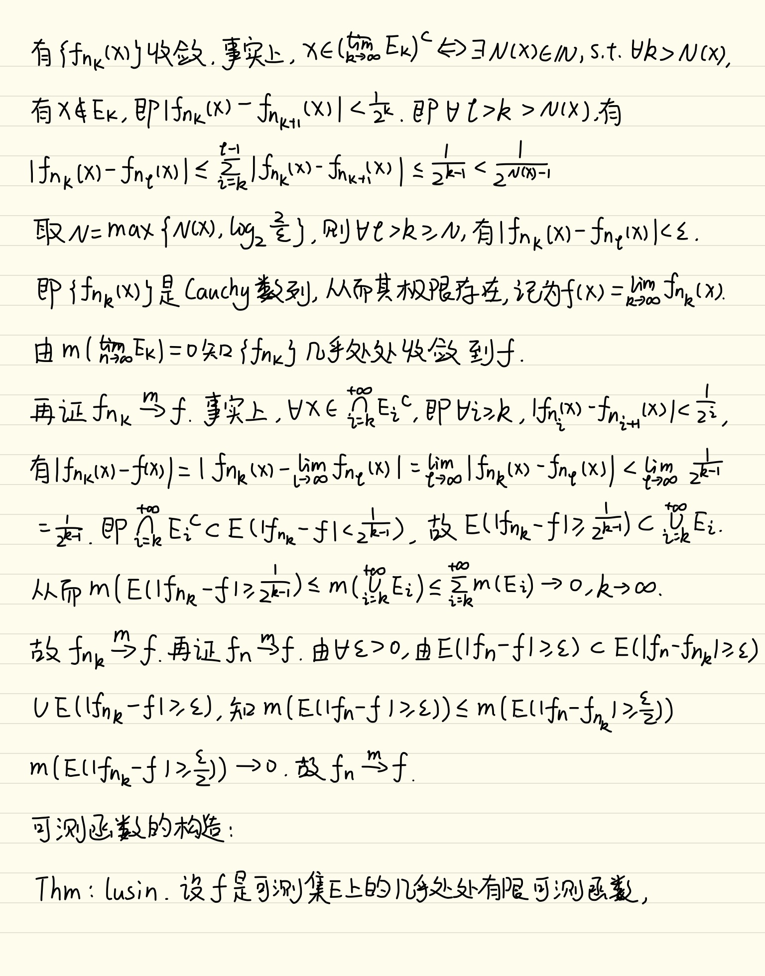
9.3 可测函数

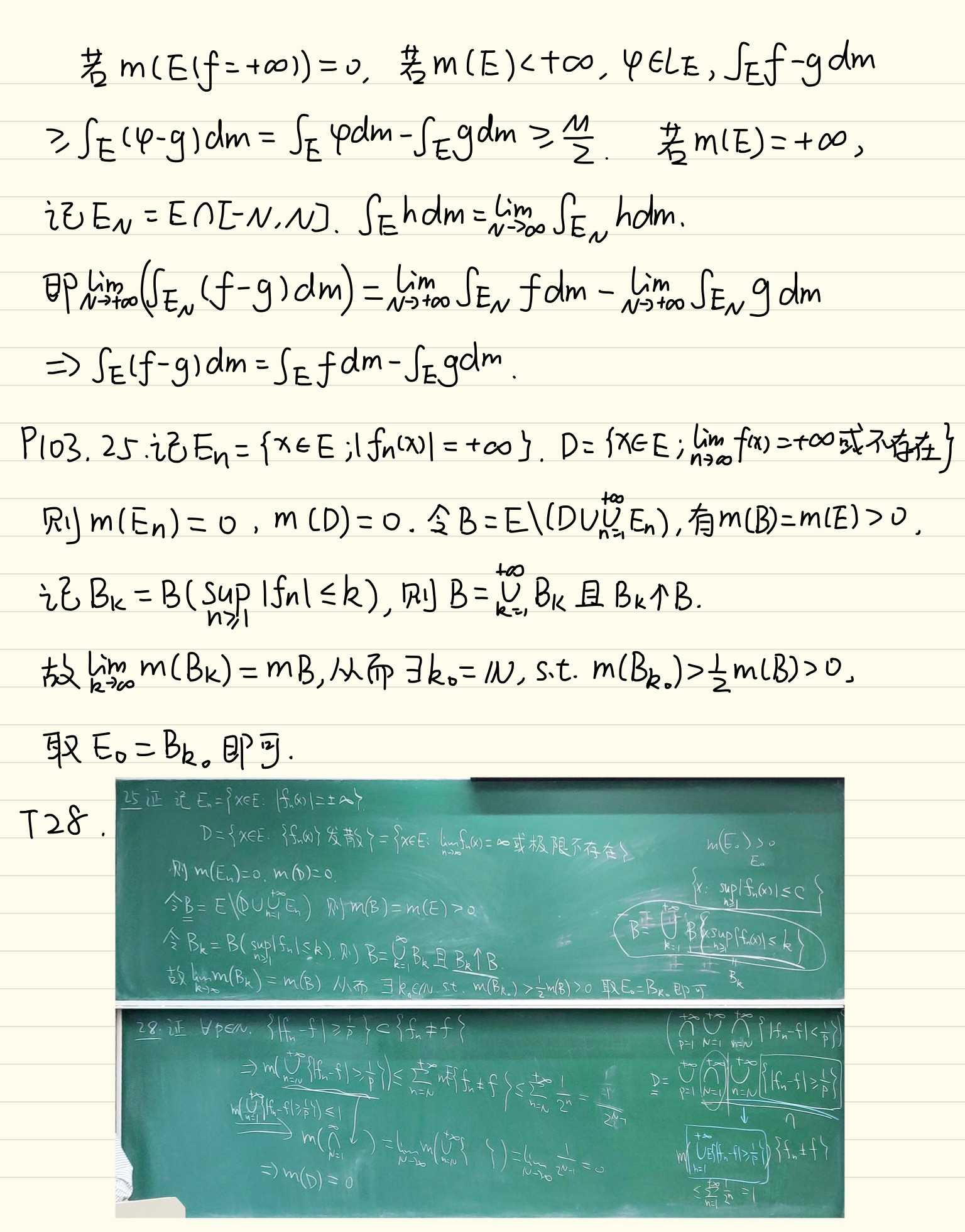
9.4 Lebesgue积分

9.5 \(\mathcal{L}\)积分与\(\mathcal{R}\)积分的联系

9.6 乘积测度

9.7 有界变差函数与绝对连续函数
