建个站写写笔记他不香吗
1
关于
2
随机积分
2.1
随机过程
2.2
Itô积分
2.3
Itô公式
3
常微分方程笔记
3.1
一阶微分方程初等解法
3.2
解的存在唯一性定理
3.3
高阶微分方程
3.4
线性微分方程组
4
抽象代数笔记
4.1
集合论
4.2
群论
4.3
环论
4.4
域论
5
复变函数笔记
5.1
复函数与复平面的拓扑
5.2
解析函数
5.3
Cauchy定理
5.4
Laurent级数
5.5
留数
5.6
共形映射
6
概率论笔记
6.1
事件与概率
6.2
条件概率与独立性
6.3
随机向量
6.4
期望与方差
6.5
特征函数
6.6
大数定律
6.7
中心极限定理
7
数值分析笔记
7.1
绪论
7.2
线性方程组
7.3
一元方程求根
7.4
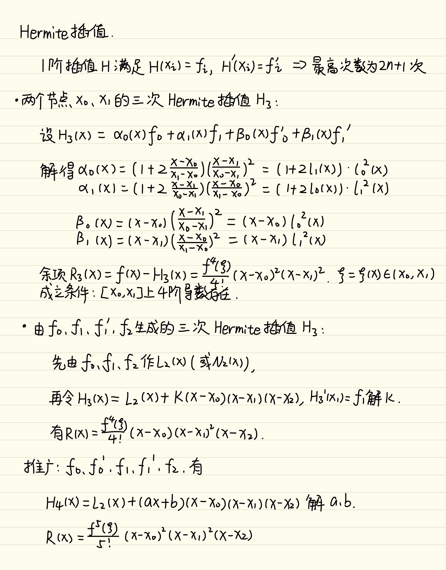
插值
7.5
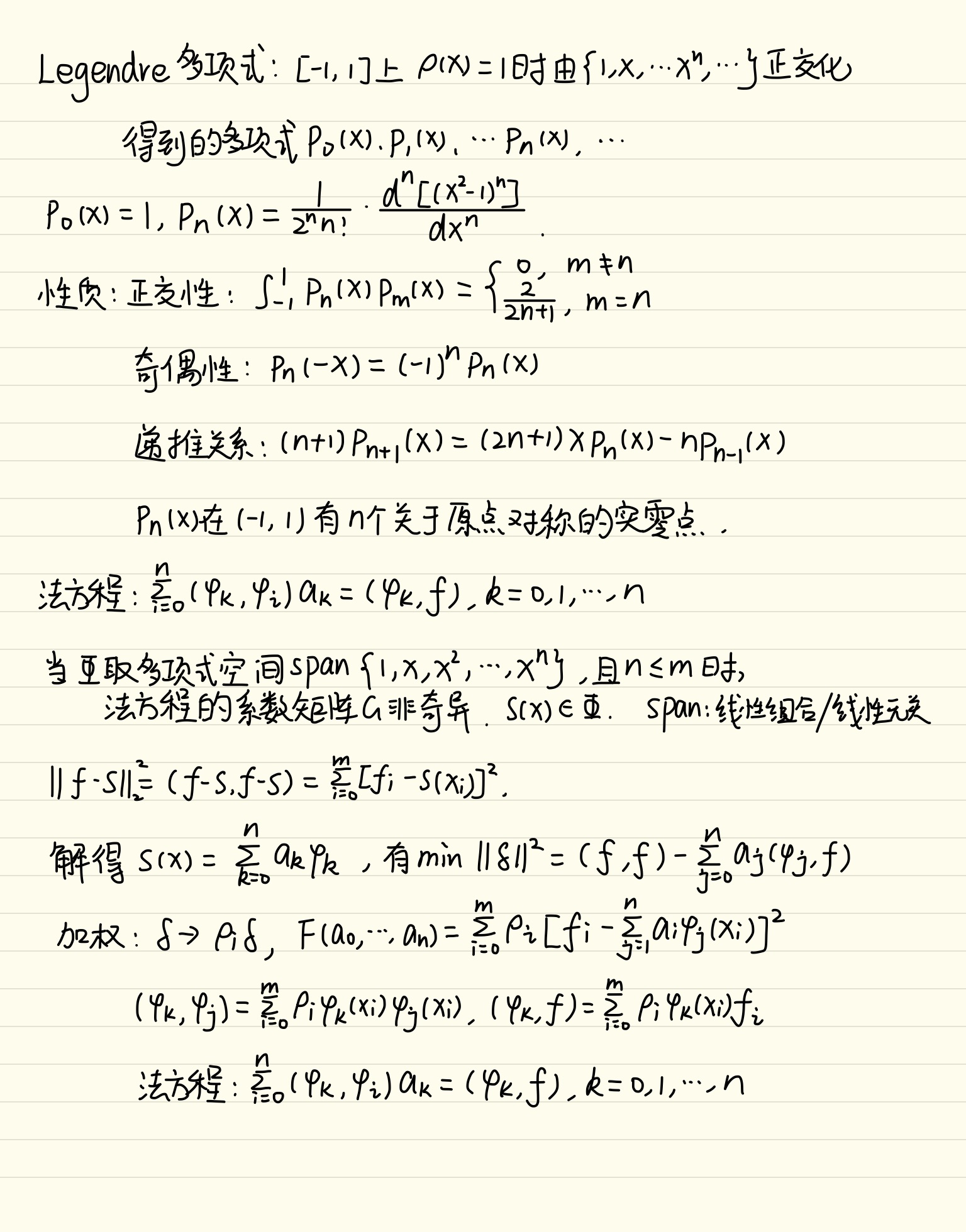
拟合
7.6
数值积分
7.7
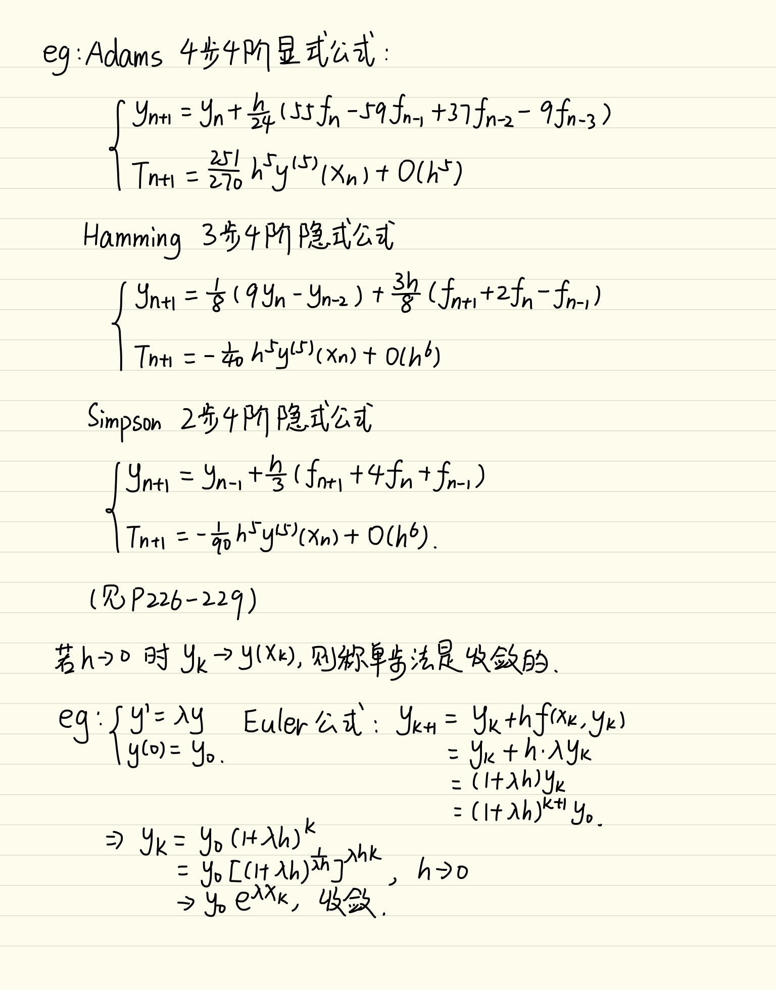
常微分方程数值计算
8
数理统计笔记
8.1
绪论
8.2
估计
8.3
假设检验
8.4
线性回归分析
9
实变函数笔记
9.1
集合论
9.2
Lebesgue测度
9.3
可测函数
9.4
Lebesgue积分
9.5
\(\mathcal{L}\)
积分与
\(\mathcal{R}\)
积分的联系
9.6
乘积测度
9.7
有界变差函数与绝对连续函数
10
微分几何笔记
10.1
曲线论、曲率与挠率
10.2
第一基本形式
10.3
第二基本形式、法曲率
10.4
曲面运动公式与基本定理
10.5
测地曲率和测地线
11
偏微分方程
11.1
偏微分方程的若干基本概念
11.1.1
偏微分方程的阶数
11.1.2
线性与非线性偏微分方程
11.1.3
齐次与非齐次偏微分方程
11.1.4
偏微分方程中的常用记号
11.1.5
边界条件
11.2
二阶方程的特征方程与方程的分类
11.2.1
特征方程与特征曲面
11.2.2
二阶方程的分类
11.2.3
二阶方程的标准型
11.3
分离变量法
11.4
Duhamel原理
11.5
双曲型方程的求解(波动方程)
11.5.1
D’Alembert公式
11.5.2
一维情形下的依赖区域、决定区域与影响区域
11.6
抛物型方程的求解(热传导方程)
11.7
椭圆型方程的求解(位势方程)
11.8
Fourier方法
References
Published with bookdown
Some Notes on Mathematics
Chapter 7
数值分析笔记
最后更新日期:2020-01-06
本课程于第四学期修读,需要首先掌握数学分析相关知识。
数值分析笔记主要内容为方程组的数值解法、方程求根、插值、曲线拟合、数值微积分以及常微分方程的数值解法。
7.1
绪论
7.2
线性方程组
7.3
一元方程求根
7.4
插值
7.5
拟合
7.6
数值积分
7.7
常微分方程数值计算