Chapter 6 概率论笔记
最后更新日期:2020-01-06
本课程于第四学期修读。
本课程为后续统计相关课程如数理统计、多元统计分析等课程的基础课程。点击这里查看数理统计笔记。
概率论笔记主要内容为概率、随机变量、期望和方程、特征函数、大数定律与中心极限定理。

6.1 事件与概率

6.2 条件概率与独立性

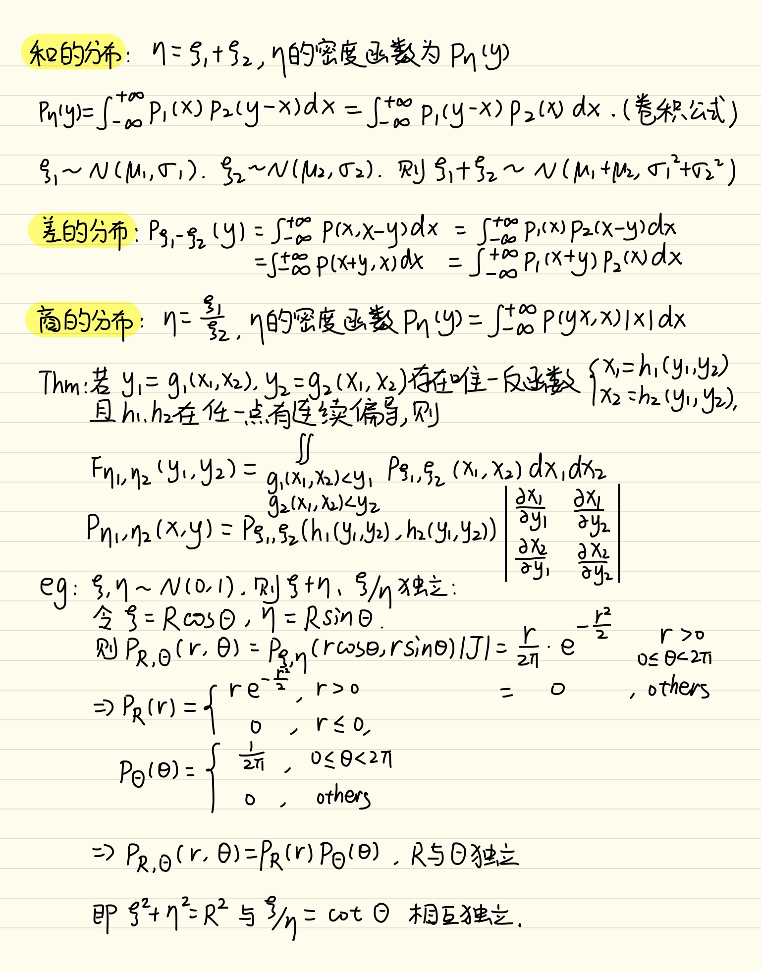
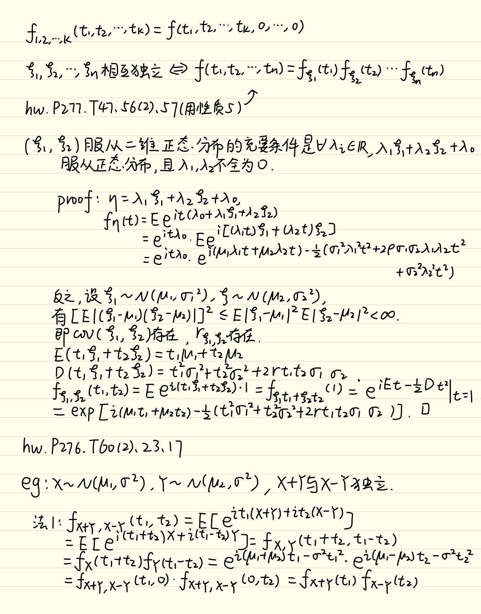
6.3 随机向量

6.4 期望与方差

6.5 特征函数

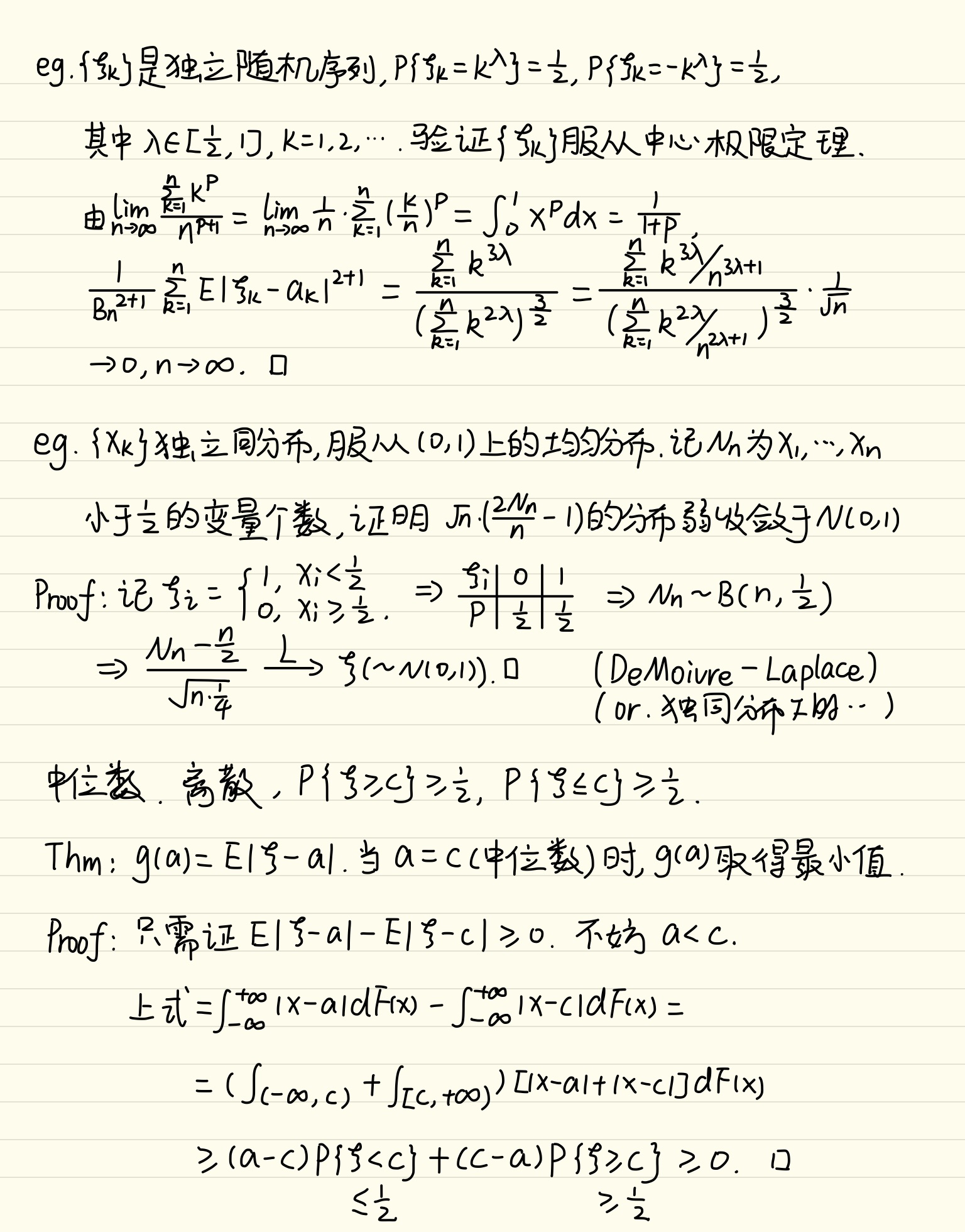
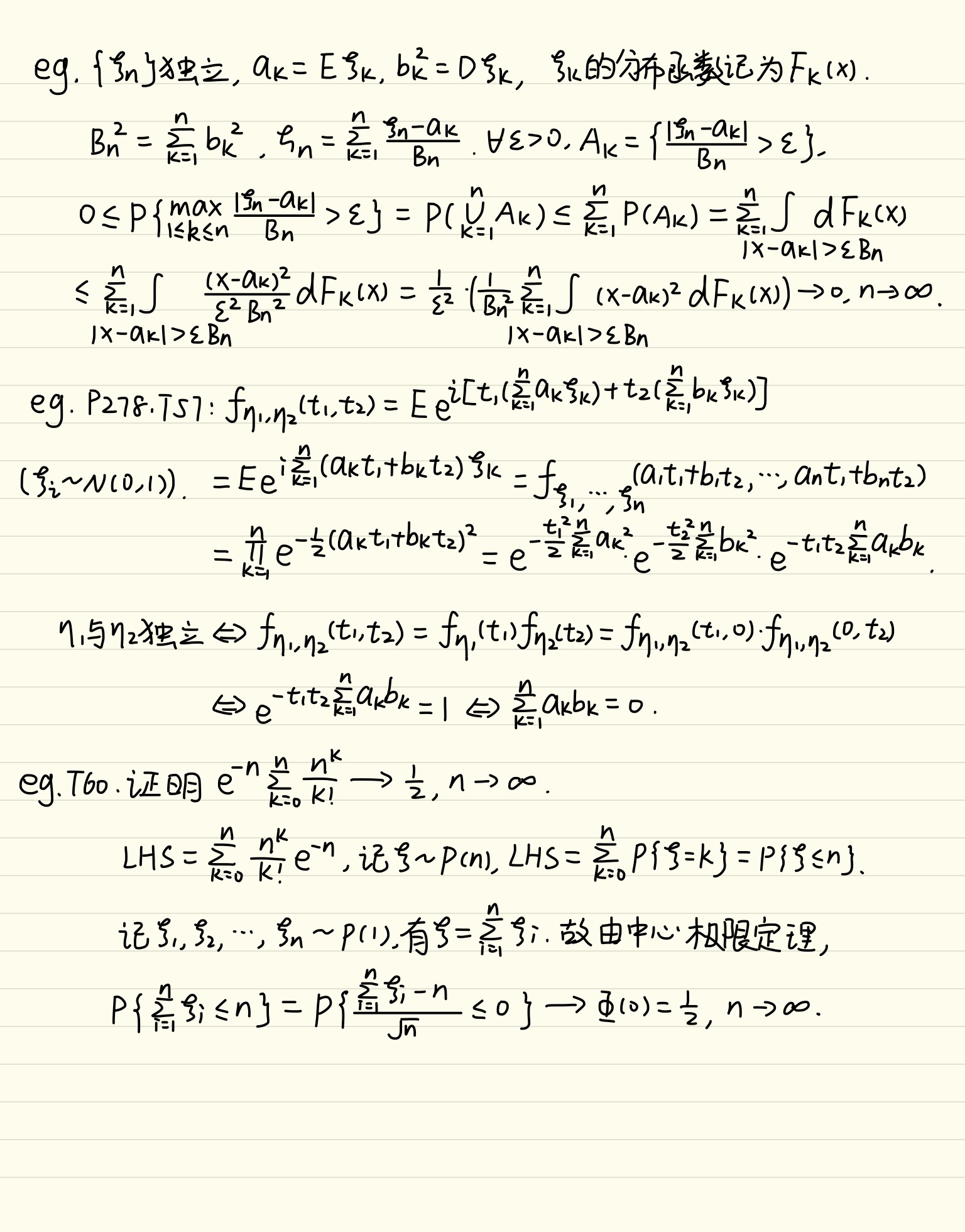
6.6 大数定律

6.7 中心极限定理
