Chapter 3 常微分方程笔记
最后更新日期:2020-01-06
本课程于第三学期修读,需要首先掌握数学分析相关知识。
本课程为后续统计相关课程如偏微分方程、微分方程数值解法、微分几何等课程的基础课程。点击这里查看微分几何笔记。
常微分方程笔记主要内容为一阶微分方程解的存在性与解法、高阶微分方程与线性微分方程组等内容。

3.1 一阶微分方程初等解法

3.2 解的存在唯一性定理

3.3 高阶微分方程

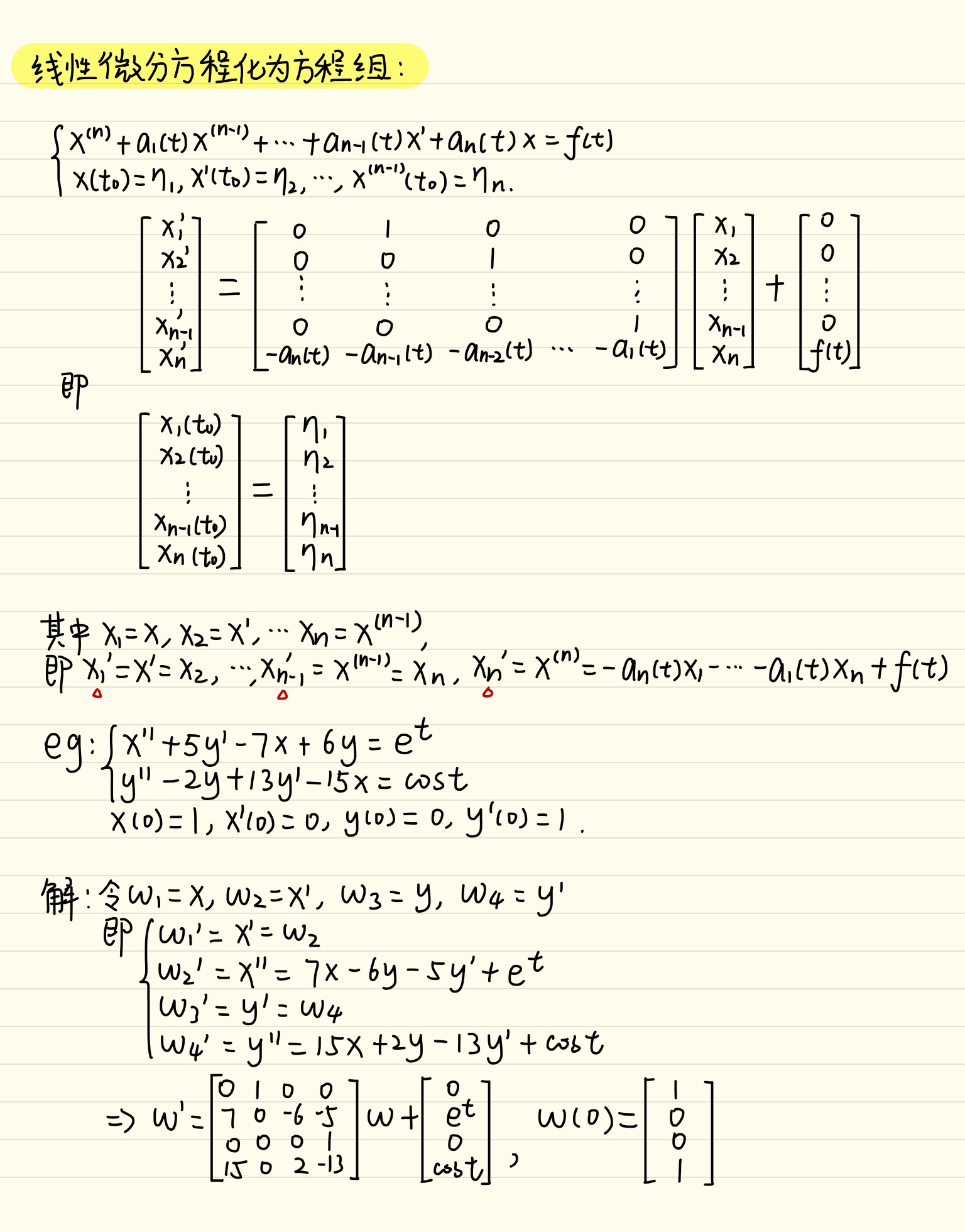
3.4 线性微分方程组

最后更新日期:2020-01-06
本课程于第三学期修读,需要首先掌握数学分析相关知识。
本课程为后续统计相关课程如偏微分方程、微分方程数值解法、微分几何等课程的基础课程。点击这里查看微分几何笔记。
常微分方程笔记主要内容为一阶微分方程解的存在性与解法、高阶微分方程与线性微分方程组等内容。




